Welcome to visit Communications in Theoretical Physics,
Gravitation Theory, Astrophysics and Cosmology

QCD axion bubbles in the presence of ALP resonant conversion

  • Hai-Jun Li
Expand
  • Key Laboratory of Theoretical Physics, Institute of Theoretical Physics, Chinese Academy of Sciences, Beijing 100190, China
  • Center for Advanced Quantum Studies, Department of Physics, Beijing Normal University, Beijing 100875, China

Received date: 2024-10-28

  Revised date: 2024-12-14

  Accepted date: 2025-02-05

  Online published: 2025-04-28

Copyright

© 2025 Institute of Theoretical Physics CAS, Chinese Physical Society and IOP Publishing. All rights, including for text and data mining, AI training, and similar technologies, are reserved.
This article is available under the terms of the IOP-Standard License.

Abstract

The QCD axion bubbles can form due to an explicit breaking of the Peccei–Quinn symmetry in the early Universe. In this paper, we investigate the modified formation of a QCD axion bubble in the presence of an axionlike particle (ALP), considering its resonant conversion to a QCD axion. We consider a general scenario where the QCD axion mixes with ALP before the QCD phase transition. In this scenario, the energy density of the ALP can be adiabatically transferred to the QCD axion at a temperature TR, resulting in the suppression of the cosmic background temperature TB at which the energy density of the QCD axion equals that of the radiation. The QCD axion bubbles form when the QCD axions arise during the QCD phase transition. Finally, we briefly discuss the impact of the formation of QCD axion bubbles on the formation of primordial black holes.

Cite this article

Hai-Jun Li . QCD axion bubbles in the presence of ALP resonant conversion[J]. Communications in Theoretical Physics, 2025 , 77(8) : 085404 . DOI: 10.1088/1572-9494/adb5f7

1. Introduction

The strong CP problem in the Standard Model (SM) is a long-standing problem and can be solved by the Peccei-Quinn (PQ) mechanism with a spontaneously broken U(1) PQ symmetry [1, 2]. The PQ mechanism predicted a light pseudo Nambu-Goldstone (NG) boson, axion (also called the QCD axion) [3, 4], which acquires a tiny mass from the QCD non-perturbative effects [5, 6]. When the potential of the QCD axion is generated by the QCD instanton, the axion is stable at the minimum value of CP conservation, which solves the strong CP problem. The QCD axion is the potential cold dark matter (DM) candidate if non-thermally produced in the early Universe through the misalignment mechanism [79]. The QCD axion is massless at high temperatures. As the cosmic temperature decreases, it acquires a non-zero mass during the QCD phase transition and starts to oscillate when its mass becomes comparable to the Hubble parameter, which explains the observed DM abundance. See e.g. [1012] for recent reviews.
The PQ symmetry is supposedly broken before or during inflation. In this case, the QCD axion is massless during inflation and acquires quantum fluctuations. To suppress the isocurvature perturbations, a feasible method is considering an explicit PQ symmetry breaking [1316]. The PQ symmetry is an approximate global symmetry and can be strongly broken in the early Universe with the multiple vacua [1723]. The QCD axion bubbles [24] can form due to this explicit PQ symmetry breaking. In this case, axion acquires a light mass and oscillates when this mass is greater than the Hubble parameter. Note that the explicit PQ symmetry breaking potential for the axion will disappear before the QCD phase transition. Therefore, the final QCD axion abundance can also be calculated through the misalignment mechanism. However, the initial misalignment angle is determined by the explicit PQ symmetry breaking, which can be split into different values. If the axion initial value is smaller than a critical value, the axion is stabilized near the origin. On the contrary, the axion will be stabilized at another minimum if the axion initial value is larger than the critical value. During the QCD phase transition, the QCD axions start to oscillate near the origin and another large value. The former case can account for the cold DM abundance, while the latter can form the high axion density region, which is called the QCD axion bubble. The concept of QCD axion bubbles was first proposed in [24], which is similar to the baryon bubbles in the inhomogeneous Affleck-Dine baryogenesis [25, 26]. Additionally, they also investigated the formations of the primordial black holes (PBHs) and axion miniclusters from the QCD axion bubbles.
In this paper, we investigate the modified QCD axion bubble formation in the presence of the axionlike particle (ALP) to QCD axion resonant conversion. We introduce a general case that the QCD axion mixes with ALP before the QCD phase transition. In this case, the ALP to QCD axion resonant conversion is considered to take place at the temperature TR, and the ALP energy density can be adiabatically transferred to the QCD axion. We find that this will lead to the suppression of the cosmic background temperature TB in which the QCD axion energy density is equal to the radiation energy density. The QCD axion bubbles are formed when the QCD axions arise during the QCD phase transition. Finally, we briefly discuss this impact on the PBHs formation in the QCD axion bubbles scenario, leading to the enhancement of the minimum PBH mass.
The rest of this paper is organized as follows. In section 2, we briefly review the QCD axion DM and the misalignment mechanism. In section 3, we investigate the effect on QCD axion bubble formation in the presence of the ALP resonant conversion, and also the impact on PBHs formation in the QCD axion bubbles scenario. Finally, the conclusion is given in section 4.

2. QCD axion and misalignment mechanism

Here we briefly review the QCD axion DM and the misalignment mechanism. The QCD axion is a pseudo NG boson with a spontaneously broken U(1) PQ symmetry. It couples to gluons with the following effective Lagrangian
$\begin{eqnarray}{{ \mathcal L }}_{agg}=-\frac{{\alpha }_{s}}{8\pi }\frac{\phi }{{f}_{a}}{G}^{a\,\mu \nu }{\tilde{G}}_{\mu \nu }^{a},\end{eqnarray}$
where αs is the strong fine structure constant, φ is the QCD axion field, fa = va/NDW is the axion decay constant, va is the spontaneous breaking scale of the PQ symmetry, NDW is the number of the domain wall, Ga μν and ${\tilde{G}}_{\mu \nu }^{a}$ are the gluon field strength tensor and dual tensor, respectively. The resulting effective potential of the QCD axion is given by
$\begin{eqnarray}{V}_{{\rm{QCD}}}(\phi )={m}_{a}^{2}(T){f}_{a}^{2}\left[1-\cos \left(\frac{\phi }{{f}_{a}}\right)\right],\end{eqnarray}$
where ma(T) is the temperature-dependent QCD axion mass for T ≳ TQCD ( ∼ 150 MeV) [27]
$\begin{eqnarray}{m}_{a}(T)\simeq {m}_{a,0}{\left(\frac{T}{{T}_{{\rm{QCD}}}}\right)}^{-4.08},\end{eqnarray}$
with the zero-temperature axion mass [28]
$\begin{eqnarray}{m}_{a,0}\simeq 5.70(7)\,\mu {\rm{e}}V{\left(\frac{{f}_{a}}{1{0}^{12}\,{\rm{GeV}}}\right)}^{-1}.\end{eqnarray}$
In the misalignment mechanism [79], as the cosmic temperature decreases the QCD axion starts to oscillate when its mass ma(T) becomes comparable to the Hubble parameter H(T)
$\begin{eqnarray}3H({T}_{a})={m}_{a}({T}_{a}),\end{eqnarray}$
then we have the oscillation temperature
$\begin{eqnarray}{T}_{a}\simeq 0.96\,{\rm{GeV}}{\left(\frac{{g}_{* }({T}_{a})}{61.75}\right)}^{-0.082}{\left(\frac{{f}_{a}}{1{0}^{12}\,{\rm{GeV}}}\right)}^{-0.16},\end{eqnarray}$
where g*(T) is the number of effective degrees of freedom of the energy density. The QCD axion number density at Ta is given by
$\begin{eqnarray}{n}_{a}({T}_{a})=\frac{1}{2}{m}_{a}({T}_{a}){f}_{a}^{2}\left\langle {\theta }_{i}^{2}f({\theta }_{i})\right\rangle \chi ,\end{eqnarray}$
where θi is the initial misalignment angle, χ ≃ 1.44 is a numerical factor [29], and f(θi) is the anharmonic factor
$\begin{eqnarray}f({\theta }_{i})\simeq {\left[\mathrm{ln}\left(\frac{e}{1-{\theta }_{i}^{2}/{\pi }^{2}}\right)\right]}^{1.16},\end{eqnarray}$
which is taken as f(θi) ≃ 1 for ∣θi∣ ≪ π [30, 31]. The present axion energy density ρa(T0) = ma,0na(T0) is
$\begin{eqnarray}{\rho }_{a}({T}_{0})=\frac{{m}_{a,0}{m}_{a}({T}_{a})s({T}_{0})}{2s({T}_{a})}{f}_{a}^{2}\left\langle {\theta }_{i}^{2}f({\theta }_{i})\right\rangle \chi ,\end{eqnarray}$
where s(T) = 2π2g*s(T)T3/45 is the entropy density, g*s(T) is the number of effective degrees of freedom of the entropy density, and T0 is the present CMB temperature. Then we have the current QCD axion abundance Ωah2 = ρa(T0)/ρch2 as
$\begin{eqnarray}\begin{array}{rcl}{{\rm{\Omega }}}_{a}{h}^{2} & \simeq & 0.14\left(\frac{{g}_{* s}({T}_{0})}{3.94}\right){\left(\frac{{g}_{* }({T}_{a})}{61.75}\right)}^{-0.42}\\ & & \times {\left(\frac{{f}_{a}}{1{0}^{12}\,{\rm{G}}eV}\right)}^{1.16}\left\langle {\theta }_{i}^{2}f({\theta }_{i})\right\rangle ,\end{array}\end{eqnarray}$
where ${\rho }_{c}=3{H}_{0}^{2}{M}_{{\rm{Pl}}}^{2}$ is the critical energy density, MPl ≃ 2.44 × 1018 GeV is the reduced Planck mass, and h ≃ 0.68 is the reduced Hubble constant. In order to explain the observed cold DM abundance, ΩDMh2 ≃ 0.12 [32], we derive the initial misalignment angle
$\begin{eqnarray}\begin{array}{rcl}{\theta }_{i} & \simeq & 0.87{\left(\frac{{g}_{* s}({T}_{0})}{3.94}\right)}^{-1/2}{\left(\frac{{g}_{* }({T}_{a})}{61.75}\right)}^{0.21}\\ & & \times {\left(\frac{{f}_{a}}{1{0}^{12}\,{\rm{G}}eV}\right)}^{-0.58},\end{array}\end{eqnarray}$
which is valid for fa ≲ 1017 GeV.

3. QCD axion bubbles in the presence of ALP resonant conversion

In this section, we investigate the effect on QCD axion bubble formation in the presence of the ALP to QCD axion resonant conversion, and also the impact on PBHs formation from the QCD axion bubbles.

3.1. QCD axion bubbles

The QCD axion bubbles can form due to an explicit PQ symmetry breaking in the early Universe and are formed during the QCD phase transition. There are many scenarios for this explicit PQ symmetry breaking, such as the Witten effect of monopoles in hidden sectors [3335], a larger scale of the spontaneous PQ symmetry breaking with the higher dimensional term [3639], the hidden non-Abelian gauge interactions [15], and a stronger QCD with the large Higgs field expectation value [14, 40]. In [24], they considered the Witten effect as an example of the explicit PQ symmetry breaking to form the QCD axion bubbles. Considering a large axion decay constant ${f}_{a}\sim { \mathcal O }(1{0}^{16}-1{0}^{17})\,{\rm{G}}eV$ and the axion is stabilized at the potential minima with
$\begin{eqnarray}{\phi }_{{\rm{\min }}}^{0}\simeq 0,\quad {\phi }_{{\rm{\min }}}^{1}\simeq \pi {f}_{a},\quad \cdot \cdot \cdot ,\end{eqnarray}$
which corresponds to the effective initial misalignment angle θi,n with
$\begin{eqnarray}{\theta }_{i,0}=0-{\theta }_{i},\quad {\theta }_{i,1}=\pi -{\theta }_{i},\quad \cdot \cdot \cdot .\end{eqnarray}$
When the QCD axion VQCD(φ) arises during the QCD phase transition, the state ${\phi }_{{\rm{\min }}}^{0}$ with the effective initial angle θi,0 explains the cold DM abundance, corresponding to a small initial misalignment angle
$\begin{eqnarray}\begin{array}{rcl}{\theta }_{i} & \simeq & 4.29\times 1{0}^{-3}{\left(\frac{{g}_{* s}({T}_{0})}{3.94}\right)}^{-1/2}{\left(\frac{{g}_{* }({T}_{a})}{61.75}\right)}^{0.21}\\ & & \times {\left(\frac{{f}_{a}}{1{0}^{16}\,{\rm{G}}eV}\right)}^{-0.58}.\end{array}\end{eqnarray}$
On the other hand, if the initial value of axion is larger than a critical value φcrit, the axion will settle down into the minimum ${\phi }_{{\rm{\min }}}^{1}$ with the initial angle θi,1. In this case, since the large initial misalignment angle π, the local axion density at the minimum ${\phi }_{{\rm{\min }}}^{1}$ becomes much higher than that at ${\phi }_{{\rm{\min }}}^{0}$, which forms the high-density QCD axion bubbles. When the axion dominates the radiation in the bubbles, i. e., the axion energy density is equal to the radiation energy density, we can define the cosmic background temperature, TB. The local axion energy density in the bubbles at TB is given by
$\begin{eqnarray}{\rho }_{a,B}=\frac{{m}_{a,0}{m}_{a}({T}_{a})s({T}_{B})}{2s({T}_{a})}{f}_{a}^{2}\left\langle {\theta }_{i,1}^{2}f({\theta }_{i,1})\right\rangle \chi ,\end{eqnarray}$
and the radiation energy density is defined as
$\begin{eqnarray}{\rho }_{R,B}=\frac{{\pi }^{2}}{30}{g}_{* }({T}_{B}){T}_{B}^{4}.\end{eqnarray}$
Considering ρa,B = ρR,B and the effective initial angle θi,1 = π − θi, we have the temperature
$\begin{eqnarray}\begin{array}{rcl}{T}_{B} & \simeq & 2.13\times 1{0}^{-2}\,{\rm{MeV}}\times {\left(\frac{{g}_{* }({T}_{a})}{61.75}\right)}^{-0.42}\\ & & \times {\left(\frac{{f}_{a}}{1{0}^{16}\,{\rm{G}}eV}\right)}^{1.16}\left\langle {\theta }_{i,1}^{2}f({\theta }_{i,1})\right\rangle \chi .\end{array}\end{eqnarray}$
Substituting equation (14) into equation (17), we can derive TB ≃ 2.84 MeV for ${f}_{a}\sim { \mathcal O }(1{0}^{16})\,{\rm{G}}eV$.

3.2. ALP to QCD axion resonant conversion

In the following, we investigate the effect in the presence of the ALP to QCD axion resonant conversion. We consider a general case that the QCD axion mixes with ALP with the mixing potential [41, 42]
$\begin{eqnarray}\begin{array}{rcl}{V}_{{\rm{mix}}}(\phi ,\varphi ) & = & {m}_{A}^{2}{f}_{A}^{2}\left[1-\cos \left(\frac{\phi }{{f}_{a}}+\frac{\varphi }{{f}_{A}}+\delta \right)\right]\\ & & +{m}_{a}^{2}(T){f}_{a}^{2}\left[1-\cos \left(\frac{\phi }{{f}_{a}}\right)\right],\end{array}\end{eqnarray}$
where φ is the ALP field, mA and fA are the ALP mass and the decay constant, respectively, and δ is the CP phase. For simplicity, in this context, we assume a temperature-independent ALP mass1 and take the CP phase δ to be zero.2 The mass mixing matrix is given by
$\begin{eqnarray}{{\bf{M}}}^{2}=\left(\begin{array}{cc}{m}_{a}^{2}(T)+\frac{{m}_{A}^{2}{f}_{A}^{2}}{{f}_{a}^{2}} & \quad \frac{{m}_{A}^{2}{f}_{A}}{{f}_{a}}\\ \frac{{m}_{A}^{2}{f}_{A}}{{f}_{a}} & \quad {m}_{A}^{2}\end{array}\right),\end{eqnarray}$
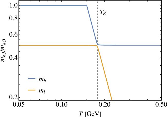
then we can derive the heavy and light mass eigenvalues mh,l(T). See figure 1 for the illustration of the normalized mass eigenvalues as functions of the cosmic temperature T. Here we consider the conditions under which the ALP to QCD axion resonant conversion can take place:
$\begin{eqnarray}\frac{{f}_{a}}{{f}_{A}}\gt 1,\quad \frac{{m}_{a,0}}{{m}_{A}}\gt 1.\end{eqnarray}$
In this case, the resonant conversion occurs at the temperature TR, which is given by
$\begin{eqnarray}{m}_{a}({T}_{R})\simeq {m}_{A}.\end{eqnarray}$
At the temperature T > TR, the light mass eigenstate ml is associated with the QCD axion, whereas below TR, it is the heavy mass eigenstate mh that comprises the QCD axion. Conversely, at the temperature above TR, the heavy mass eigenstate mh pertains to the ALP, whereas at the temperature below TR, it is the light mass eigenstate ml that forms the ALP. The axion energy transition at TR is considered to be adiabatic, which can be roughly satisfied when
$\begin{eqnarray}{T}_{a}\gg {T}_{R},\end{eqnarray}$
where Ta is the QCD axion oscillation temperature.
Figure 1. Illustration of the ALP to QCD axion resonant conversion at the temperature TR. The solid lines distinctly represent the normalized temperature-dependent mass eigenvalues, where mh(T) and ml(T) denote the heavy and light mass eigenvalues, respectively, as they evolve with temperature. Notice that the cosmic temperature decreases from right to left in the plot. This graphical representation provides insight into the dynamic interplay between the ALP and QCD axion masses during the resonant conversion. Here we set fa = 1016 GeV, fa/fA = 20, and ma,0/mA = 2.
To obtain the energy density of the QCD axion at the temperature ${T}_{B}^{{\prime} }$, we should begin with the ALP field at high temperatures. Its initial energy density at the oscillation temperature Ti,A is given by
$\begin{eqnarray}{\rho }_{A,i}=\frac{1}{2}{m}_{A}^{2}{f}_{A}^{2}{\theta }_{i,A}^{2},\end{eqnarray}$
where θi,A is the initial misalignment angle of the ALP. At TR < T < Ti,A, the ALP energy density is adiabatic invariant. Using NA ≡ ρAa3/mA, where a is the scale factor, we have the ALP energy density at the temperature TR as
$\begin{eqnarray}{\rho }_{A,R}=\frac{1}{2}{m}_{A}^{2}{f}_{A}^{2}{\theta }_{i,A}^{2}{\left(\frac{{a}_{i,A}}{{a}_{R}}\right)}^{3},\end{eqnarray}$
where ai,A and aR correspond to the scale factors at Ti,A and TR, respectively. At TR, the ALP energy density ρA,R is adiabatically transferred to the QCD axion ρa,R. Then at ${T}_{B}^{{\prime} }\lt T\lt {T}_{R}$, the adiabatic approximation is valid again with Na ≡ ρaa3/ma, and we have the QCD axion energy density at ${T}_{B}^{{\prime} }$ as
$\begin{eqnarray}{\rho }_{a,B}^{{\prime} }=\frac{1}{2}{m}_{a,0}{m}_{A}{f}_{A}^{2}{\theta }_{i,A}^{2}{\left(\frac{{a}_{i,A}}{{a}_{B}^{{\prime} }}\right)}^{3},\end{eqnarray}$
where ${a}_{B}^{{\prime} }$ is the scale factor at ${T}_{B}^{{\prime} }$. Note that ${T}_{B}^{{\prime} }$ is given by ${\rho }_{a,B}^{{\prime} }={\rho }_{R,B}^{{\prime} }$. Now compared with the no ALP resonant conversion case
$\begin{eqnarray}{\rho }_{a,B}=\frac{1}{2}{m}_{a,0}{m}_{a,i}{f}_{a}^{2}{\theta }_{i,1}^{2}{\left(\frac{{a}_{i,a}}{{a}_{B}}\right)}^{3},\end{eqnarray}$
we find that the temperature TB can be suppressed as
$\begin{eqnarray}\begin{array}{rcl}\frac{{T}_{B}^{{\prime} }}{{T}_{B}} & \simeq & \sqrt[4]{\frac{{m}_{A}{f}_{A}^{2}{\theta }_{i,A}^{2}}{{m}_{a,i}{f}_{a}^{2}{\theta }_{i,1}^{2}}{\left(\frac{{a}_{i,A}{a}_{B}}{{a}_{i,a}{a}_{B}^{{\prime} }}\right)}^{3}}\\ & = & \frac{{m}_{a,i}^{1/2}{f}_{A}^{2}{\theta }_{i,A}^{2}}{{\pi }^{2}{m}_{A}^{1/2}{f}_{a}^{2}},\end{array}\end{eqnarray}$
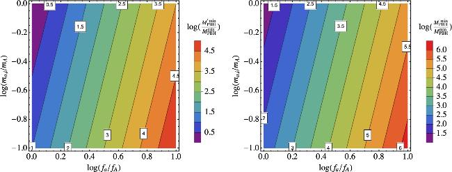
where ma,i ≡ ma(Ta). Note that $a(T)\propto \sqrt{t}\propto 1/T\propto 1/\sqrt{H}$, ${a}_{i}(T)\propto 1/\sqrt{H}\propto 1/\sqrt{{m}_{i}}$, and mi corresponds to the axion mass at the oscillation temperature that given by 3H = mi. In figure 2, we show the distributions of this factor across the $\{\mathrm{log}({f}_{a}/{f}_{A}),\mathrm{log}({m}_{a,i}/{m}_{A})\}$ plane with θi,A = π and π/2, respectively. We find that within the defined range of the parameter space we are examining, the temperature TB undergoes a notable suppression. One can further calculate the present QCD axion energy density in this manner to explain the abundance of cold DM, but this is not the focus of the current context and therefore is not presented here. For further details, please refer to [41, 42].
Figure 2. Variations in the temperature ratio ${T}_{B}^{{\prime} }/{T}_{B}$, defined by equation (27), across the $\{\mathrm{log}({f}_{a}/{f}_{A}),\mathrm{log}({m}_{a,i}/{m}_{A})\}$ parameter space. Left panel: displays the distribution when a specific set of parameters θi,A = π is applied. Right panel: shows the distribution for an alternative set of parameters θi,A = π/2. These panels not only illustrate how the temperature ratio distribution varies within the given parameter range but also highlight the potential for significant suppression of the temperature ratio under different parameter conditions.

3.3. Primordial black holes

In this subsection, we provide a concise overview of the formation of PBHs from the QCD axion bubbles. PBHs, which can arise from significant density perturbations in the early Universe, are also compelling candidates for DM [4347]. At the time of their formation tf, the initial mass of a PBH is described by the formula ${M}_{{\rm{PBH}}}=4\pi \gamma {\rho }_{R}/(3{H}_{f}^{3})$ [48], where γ ≃ 0.2 is the gravitational collapse factor [49], ρR represents the radiation energy density, and Hf is the Hubble parameter at tf. Subsequently, we derive the PBH mass at the formation time as follows:
$\begin{eqnarray}\begin{array}{rcl}\frac{{M}_{{\rm{PBH}}}}{{M}_{\odot }} & \simeq & 0.03\times \left(\frac{\gamma }{0.2}\right){\left(\frac{{g}_{* }({T}_{f})}{10.75}\right)}^{-1/2}\\ & & \times {\left(\frac{{T}_{f}}{1\,{\rm{G}}eV}\right)}^{-2},\end{array}\end{eqnarray}$
where Tf corresponds to the temperature at tf, and M denotes the solar mass. This equation allows us to estimate the PBH mass based on the relevant physical parameters.
In the context of the QCD axion bubbles scenario [24], PBHs form when axions dominate the radiation inside the bubbles, i. e. , when the temperature Tf is less than or equal to the cosmic background temperature TB, and the bubble size exceeds the horizon size.3 When these bubbles enter the horizon, the local energy density within them significantly surpasses the background radiation density. Given that the mass of a PBH resulting from bubble collapse cannot exceed the background horizon mass by much [50, 51], it is assumed that the PBH mass in the axion bubbles scenario is equivalent to the horizon mass of the background radiation, even when Tf < TB. By substituting equation (17) into equation (28), we derive the minimum PBH mass
$\begin{eqnarray}\begin{array}{rcl}\frac{{M}_{{\rm{PBH}}}^{{\rm{\min }}}}{{M}_{\odot }} & \simeq & 6.58\times 1{0}^{7}\left(\frac{\gamma }{0.2}\right){\left(\frac{{g}_{* }({T}_{f})}{10.75}\right)}^{-1/2}\\ & & \times {\left(\frac{{g}_{* }({T}_{a})}{61.75}\right)}^{0.84}{\left(\frac{{f}_{a}}{1{0}^{16}\,{\rm{G}}eV}\right)}^{-2.33}\\ & & \times {\left(\left\langle {\theta }_{i,1}^{2}f({\theta }_{i,1})\right\rangle \chi \right)}^{-2}.\end{array}\end{eqnarray}$
For ${f}_{a}\sim { \mathcal O }(1{0}^{16})\,{\rm{G}}eV$, the minimum PBH mass is approximately ${M}_{{\rm{PBH}}}^{{\rm{\min }}}\simeq 3.71\times 1{0}^{3}{M}_{\odot }$. When considering the impact of resonant conversion from ALP to QCD axion, we find that the minimum PBH mass can be enhanced by a factor
$\begin{eqnarray}\frac{{M}_{{\rm{PBH}}}^{{}^{{\prime} }{\rm{m}}in}}{{M}_{{\rm{PBH}}}^{{\rm{\min }}}}\simeq \frac{{\pi }^{4}{m}_{A}{f}_{a}^{4}}{{m}_{a,i}{f}_{A}^{4}{\theta }_{i,A}^{4}}.\end{eqnarray}$
Figure 3 illustrates the distributions of this enhancement factor across the $\{\mathrm{log}({f}_{a}/{f}_{A}),\mathrm{log}({m}_{a,i}/{m}_{A})\}$ plane, with θi,A fixed at π and π/2. Notably, these mass-enhanced PBHs could potentially serve as the seeds for supermassive black holes (SMBHs) at high redshifts [52].
Figure 3. Variations in the minimum PBH mass ratio ${M}_{{\rm{PBH}}}^{{}^{{\prime} }{\rm{m}}in}/{M}_{{\rm{PBH}}}^{{\rm{\min }}}$, defined by equation (30), across the $\{\mathrm{log}({f}_{a}/{f}_{A}),\mathrm{log}({m}_{a,i}/{m}_{A})\}$ parameter space. Left panel: we set θi,A = π. Right panel: we set θi,A = π/2. These panels not only demonstrate the variability in the minimum PBH mass ratio but also emphasize the potential for substantial mass enhancement under specific parameter configurations.
Additionally, another intriguing phenomenon associated with the formation of QCD axion bubbles is the creation of axion miniclusters [24]. These miniclusters are gravitationally bound aggregations of axion DM [5358]. The mass and size of these miniclusters are contingent upon the Hubble volume at the time when the QCD axion begins to oscillate. It is noteworthy that axion miniclusters can form when the bubbles enter the horizon prior to the axions becoming the dominant component of radiation within the bubbles. This condition sets the stage for the gravitational binding of axions, leading to the emergence of these miniclusters.

4. Conclusion

In summary, our investigation has focused on the modified formation of QCD axion bubbles in the context of resonant conversion between ALP and QCD axion. The formation of these bubbles can be attributed to an explicit breaking of the PQ symmetry in the early Universe. We have introduced a generalized scenario where the QCD axion can mix with ALP prior to the QCD phase transition. Within this framework, resonant conversion from ALP to QCD axion is considered to occur at a temperature TR, with the ALP energy density being adiabatic transferred to the QCD axion under specific conditions. Our findings reveal that this resonant conversion process leads to a suppression of the cosmic background temperature TB at which the QCD axion energy density equals the radiation energy density. Subsequently, during the QCD phase transition, the emergence of QCD axions triggers the formation of axion bubbles. Furthermore, we have discussed the implications of this scenario for the formation of PBHs. Our analysis suggests that the minimum PBH mass can be increased to a certain extent, and these PBHs may potentially serve as the seeds for SMBHs.

The author would like to thank Wei Chao, Naoya Kitajima, Shota Nakagawa, Fuminobu Takahashi, and Yu-Feng Zhou for helpful discussions and valuable comments. This work was partly supported by the National Natural Science Foundation of China (NSFC) (Grants No. 11775025 and No. 12175027), and partly supported by the Key Laboratory of Theoretical Physics in the Institute of Theoretical Physics, CAS.

1
Peccei R D, Quinn H R 1977a CP conservation in the presence of instantons Phys. Rev. Lett. 38 1440 1443

DOI

2
Peccei R D, Quinn H R 1977b Constraints imposed by CP conservation in the presence of instantons Phys. Rev. D 16 1791 1797

DOI

3
Weinberg S 1978 A new light boson? Phys. Rev. Lett. 40 223 226

DOI

4
Wilczek F 1978 Problem of strong P and T invariance in the presence of instantons Phys. Rev. Lett. 40 279 282

DOI

5
’t Hooft G 1976 Symmetry breaking through Bell–Jackiw anomalies Phys. Rev. Lett. 37 8 11

DOI

6
’t Hooft G 1976 Computation of the quantum effects due to a four-dimensional pseudoparticle Phys. Rev. D 14 3432 3450

DOI

1978 Erratum: Phys. Rev. D 18 2199

DOI

7
Preskill J, Wise M B, Wilczek F 1983 Cosmology of the invisible axion Phys. Lett. B 120 127 132

DOI

8
Abbott L F, Sikivie P 1983 A cosmological bound on the invisible axion Phys. Lett. B 120 133 136

DOI

9
Dine M, Fischler W 1983 The not so harmless axion Phys. Lett. B 120 137 141

DOI

10
Di Luzio L, Giannotti M, Nardi E, Visinelli L 2020 The landscape of QCD axion models Phys. Rept. 870 1 117

DOI

11
Chadha-Day F, Ellis J, Marsh D J E 2022 Axion dark matter: what is it and why now? Sci. Adv. 8 abj3618

DOI

12
Adams C B et al 2022 Axion dark matter arXiv:2203.14923

13
Dine M, Anisimov A 2005 Is there a Peccei–Quinn phase transition? J. Cosmol. Astropart. Phys. 07 009

DOI

14
Jeong K S, Takahashi F 2013 Suppressing isocurvature perturbations of QCD axion dark matter Phys. Lett. B 727 448 451

DOI

15
Takahashi F, Yamada M 2015 Strongly broken Peccei-Quinn symmetry in the early Universe J. Cosmol. Astropart. Phys. 010

DOI

16
Harigaya K, Ibe M, Schmitz K, Yanagida T T 2015 Peccei–Quinn symmetry from dynamical supersymmetry breaking Phys. Rev. D 92 075003

DOI

17
Kallosh R, Linde A D, Linde D A, Susskind L 1995 Gravity and global symmetries Phys. Rev. D 52 912 935

DOI

18
Banks T, Seiberg N 2011 Symmetries and strings in field theory and gravity Phys. Rev. D 83 084019

DOI

19
Witten E 2018 Symmetry and emergence Nature Phys. 14 116 119

DOI

20
Lee H-S, Yin W 2019 Peccei–Quinn symmetry from a hidden gauge group structure Phys. Rev. D 99 015041

DOI

21
Harlow D, Ooguri H 2019 Constraints on symmetries from holography Phys. Rev. Lett. 122 191601

DOI

22
Yin W 2020 Scale and quality of Peccei–Quinn symmetry and weak gravity conjectures J. High Energy Phys. JHEP10(2020)032

DOI

23
Jeong K S, Matsukawa K, Nakagawa S, Takahashi F 2022 Cosmological effects of Peccei–Quinn symmetry breaking on QCD axion dark matter J. Cosmol. Astropart. Phys. 026

DOI

24
Kitajima N, Takahashi F 2020 Primordial black holes from QCD axion bubbles J. Cosmol. Astropart. Phys. 060

DOI

25
Dolgov A D, Kawasaki M, Kevlishvili N 2009 Inhomogeneous baryogenesis, cosmic antimatter, and dark matter Nucl. Phys. B 807 229 250

DOI

26
Hasegawa F, Kawasaki M 2019 Primordial black holes from Affleck–Dine mechanism J. Cosmol. Astropart. Phys. 027

DOI

27
Borsanyi S et al 2016 Calculation of the axion mass based on high-temperature lattice quantum chromodynamics Nature 539 69 71

DOI

28
di Cortona G G, Hardy E, Vega J P, Villadoro G 2016 The QCD axion, precisely J. High Energy Phys. JHEP01(2016)034

DOI

29
Turner M S 1986 Cosmic and local mass density of invisible axions Phys. Rev. D 33 889 896

DOI

30
Lyth D H 1992 Axions and inflation: sitting in the vacuum Phys. Rev. D 45 3394 3404

DOI

31
Visinelli L, Gondolo P 2009 Dark matter axions revisited Phys. Rev. D 80 035024

DOI

32
Aghanim N et al 2020 Planck 2018 results. VI. cosmological parameters Astron. Astrophys. 641 A6

2021 Erratum: Astron. Astrophys. 652 C4

DOI

33
Nomura Y, Rajendran S, Sanches F 2016 Axion isocurvature and magnetic monopoles Phys. Rev. Lett. 116 141803

DOI

34
Kawasaki M, Takahashi F, Yamada M 2016 Suppressing the QCD axion abundance by hidden monopoles Phys. Lett. B 753 677 681

DOI

35
Kawasaki M, Takahashi F, Yamada M 2018 Adiabatic suppression of the axion abundance and isocurvature due to coupling to hidden monopoles J. High Energy Phys. JHEP01(2018)053

DOI

36
Chiba T, Takahashi F, Yamaguchi M 2004 Baryogenesis in a flat direction with neither baryon nor lepton charge Phys. Rev. Lett. 92 011301

DOI

2015 Erratum: Phys. Rev. Lett. 114 209901

DOI

37
Takahashi F, Yamaguchi M 2004 Spontaneous baryogenesis in flat directions Phys. Rev. D 69 083506

DOI

38
Higaki T, Jeong K S, Takahashi F 2014 Solving the tension between high-scale inflation and axion isocurvature perturbations Phys. Lett. B 734 21 26

DOI

39
Co R T, Hall L J, Harigaya K 2020 Axion kinetic misalignment mechanism Phys. Rev. Lett. 124 251802

DOI

40
Choi K, Kim H B, Kim J E 1997 Axion cosmology with a stronger QCD in the early Universe Nucl. Phys. B 490 349 364

DOI

41
Ho S-Y, Saikawa K, Takahashi F 2018 Enhanced photon coupling of ALP dark matter adiabatically converted from the QCD axion J. Cosmol. Astropart. Phys. 042

DOI

42
Li H-J 2024 Axion dark matter with explicit Peccei–Quinn symmetry breaking in the axiverse J. Cosmol. Astropart. Phys. 025

DOI

43
Bird S, Cholis I, Muñoz J B, Ali-Haïmoud Y, Kamionkowski M, Kovetz E D, Raccanelli A, Riess A G 2016 Did LIGO detect dark matter? Phys. Rev. Lett. 116 201301

DOI

44
Carr B, Kuhnel F 2020 Primordial black holes as dark matter: recent developments Ann. Rev. Nucl. Part. Sci. 70 355 394

DOI

45
Green A M, Kavanagh B J 2021 Primordial black holes as a dark matter candidate J. Phys. G 48 043001

DOI

46
Carr B, Kuhnel F 2022 Primordial black holes as dark matter candidates SciPost Phys. Lect. Notes 1 48

DOI

47
Li H-J 2022 Primordial black holes induced stochastic axion-photon oscillations in primordial magnetic field J. Cosmol. Astropart. Phys. 045

DOI

48
Carr B J, Kohri K, Sendouda Y, Yokoyama J 2010 New cosmological constraints on primordial black holes Phys. Rev. D 81 104019

DOI

49
Carr B J 1975 The primordial black hole mass spectrum Astrophys. J. 201 1 19

DOI

50
Kopp M, Hofmann S, Weller J 2011 Separate universes do not constrain primordial black hole formation Phys. Rev. D 83 124025

DOI

51
Carr B J, Harada T 2015 Separate universe problem: 40 years on Phys. Rev. D 91 084048

DOI

52
Li H-J, Peng Y-Q, Chao W, Zhou Y-F 2024 Supermassive black holes triggered by QCD axion bubbles Commun. Theor. Phys. 76 055405

DOI

53
Hogan C J, Rees M J 1988 Axion miniclusters Phys. Lett. B 205 228 230

DOI

54
Kolb E W, Tkachev I I 1993 Axion miniclusters and Bose stars Phys. Rev. Lett. 71 3051 3054

DOI

55
Fairbairn M, Marsh D J E, Quevillon J, Rozier S 2018 Structure formation and microlensing with axion miniclusters Phys. Rev. D 97 083502

DOI

56
Xiao H, Williams I, McQuinn M 2021 Simulations of axion minihalos Phys. Rev. D 104 023515

DOI

57
Ellis D, Marsh D J E, Eggemeier B, Niemeyer J, Redondo J, Dolag K 2022 Structure of axion miniclusters Phys. Rev. D 106 103514

DOI

58
Dandoy V, Schwetz T, Todarello E 2022 A self-consistent wave description of axion miniclusters and their survival in the galaxy J. Cosmol. Astropart. Phys. 081

DOI

Outlines

/