1. Introduction
2. Preliminaries
3. Imaginarity monotones based on the unified (α, β)-relative entropy
Theorem 1. ${M}_{\alpha ,\beta }^{H}(\rho )$ defined by equation (
Proof.Due to Lemma 1(i), we know that ${M}_{\alpha ,\beta }^{H}(\rho )\,={D}_{\alpha }^{\beta }(\rho | | {\rho }^{* })\geqslant 0$ and
Theorem 2.For any quantum state ρ on ${ \mathcal H }$, and α ∈ (0, 1), β ∈ (0, 1], we have $\frac{1}{1-\alpha }{M}_{1-\alpha ,\beta }^{H}(\rho )=\frac{1}{\alpha }{M}_{\alpha ,\beta }^{H}(\rho ).$
Proof.Note that
Theorem 3.(Superadditivity under direct sum) For any quantum state ρ1, ρ2 on ${ \mathcal H }$, p ∈ [0, 1] and α ∈ (0, 1), β ∈ (0, 1], we have ${M}_{\alpha ,\beta }^{H}(p{\rho }_{1}\oplus (1-p){\rho }_{2})\geqslant p{M}_{\alpha ,\beta }^{H}({\rho }_{1})+(1-p){M}_{\alpha ,\beta }^{H}({\rho }_{2})$.
Proof.Direct calculation shows that
4. Examples
Figure 1. The variations of ${M}_{\alpha ,\beta }^{H}(\rho )$ and ${M}_{\alpha ,\beta }^{E}(\rho )$ in equation ( |
Remark 3. From appendix
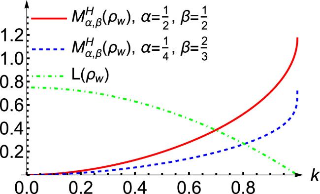
Example 2. Consider the modified Werner state
Figure 2. The variations of ${M}_{\alpha ,\beta }^{H}({\rho }_{{\rm{w}}})$ and L(ρw) with k for fixed α and β. Red solid line fixes $\alpha =\beta =\frac{1}{2}$ in equation ( |


