Welcome to visit Communications in Theoretical Physics,
Particle Physics and Quantum Field Theory

Split gauge-boson mass in SU(N) × SU(M) theories

  • Julia Gómez Concejo 1 ,
  • Felipe J. Llanes-Estrada 1, 3 ,
  • Diego María-Almazán 1 ,
  • Alexandre Salas-Bernárdez 2
Expand
  • 1Departamento de Física Teórica e IPARCOS, Facultad de CC. Físicas, Universidad Complutense de Madrid, Plaza de las Ciencias 1, 28040 Madrid, Spain
  • 2Departamento de Análisis Matemático y Matemática Aplicada, Facultad de CC. Matemáticas, Universidad Complutense de Madrid, Plaza de las Ciencias 3, 28040 Madrid, Spain

3On leave at the Theory Department of CERN, 1211 Geneva, Switzerland.

Received date: 2024-05-16

  Revised date: 2025-02-26

  Accepted date: 2025-03-13

  Online published: 2025-05-28

Copyright

© 2025 Institute of Theoretical Physics CAS, Chinese Physical Society and IOP Publishing. All rights, including for text and data mining, AI training, and similar technologies, are reserved.
This article is available under the terms of the IOP-Standard License.

Abstract

We extend a well-known mass-gap equation for pure gluodynamics in global colour models (formulated in equal-time quantization in Coulomb gauge) to one in which gluons are split into two sets, each exhibiting different masses. If the theory is SU(N) × SU(M) with gluons in both groups having identical couplings (as suggested by Grand Unification arguments at large scales) it is immediate to see that different masses are generated for each subgroup. This global symmetry is not broken, but the split masses erase accidental symmetries that might be present due to the two couplings being the same at a large scale, such as SU(N × M) or similar. We also numerically explore a couple of low-dimensional examples of simple Lie groups, but in spite of the system of equations having a form that would seem to allow spontaneous symmetry breaking, it is not triggered for these groups whose algebra has no ideal, and the dispersion relations for the various gluons converge to the same form.

Cite this article

Julia Gómez Concejo , Felipe J. Llanes-Estrada , Diego María-Almazán , Alexandre Salas-Bernárdez . Split gauge-boson mass in SU(N) × SU(M) theories[J]. Communications in Theoretical Physics, 2025 , 77(9) : 095201 . DOI: 10.1088/1572-9494/adc18c

1. Introduction

Spontaneous gauge-boson mass generation is at the core of the Standard Model. In addition to the Higgs mechanism [1], the Schwinger [2] mechanism and similar ideas allow the gauge bosons (henceforth, ‘gluons') to acquire mass without the assistance of an explicit additional field [3-7] or a manifest mass term in the Lagrangian such as in the Curci-Ferrari model [8].
Gluon masses are a welcome gauge-fixed feature of Chromodynamics as they raise glueballs from the low-lying hadron spectrum [9-12] where the existing hadrons are well understood.
This is perhaps worth exploring in the context of Grand Unification because complicated symmetry breaking patterns [13,14] appear and the scalar Higgs-type mechanisms to break the symmetry can be convoluted (in fact, in many Grand Unification situations, the Higgs needs to be described by a composite field from the start [15,16]).
Beyond specific unification models, we wish to generically explore a system of coupled gap equations that may allow splitting the gluon masses into two or more different values. Having this theoretical mechanism (which we partially achieve as will be explained in detail) would allow us to have additional theoretical tools to explore unification dynamics. Because of the first theorem of Vafa and Witten [17], we know that spontaneous global color-symmetry breaking is impossible in the quark sector, so our exploration concentrates on the Yang-Mills sector alone.
Then there is also the question of why the Standard Model is built out of low-dimensional Lie groups [18,19] that may well have to do with the spontaneous acquisition of large masses (triggered by very different evolutions of the coupling constants) by particles charged under the (absent at our scale) large-dimensional groups, which would remove such particles from the spectrum.
These gap equations are formulated in Coulomb gauge, but our considerations should be easy to extend to other gauges such as Landau gauge [20,21]. Modeling the Coulomb gauge dynamics with a simple global-color model does not capture all the interesting phenomena, such as for example the Gribov divergent gluon mass at low momentum (a very strongly infrared enhanced propagator) [22] but the equation's kernels are strong enough to trigger the generation of gluon masses: and we are not sure that we want to explore confinement (including Coulomb confinement is a necessary condition to describe confinement in arbitrary gauges, as the Coulomb potential is an upper bound for the Quantum Chromodynamics (QCD) potential [23]) in this work, that does not necessarily restrict itself to QCD with the group SU(3), but rather the production of a mass gap which can happen in unconfined phases: a modified dispersion relation with a finite (gauge-dependent) gluon mass is a feature of a more general class of theories.
The choice of Coulomb gauge sacrifices manifest Lorentz invariance, but this plays no role when discussing the color-symmetry breaking and the calculations are immensely simpler (with one less integration, free of poles, off-shell structures, etc.).
In this article we review, in section 2, the obtention of the known pure Yang-Mills gap equation in the North Carolina State [24] model; we solve it for various groups, all of which have the same coupling constant at a low scale in section 3; we then, in section 4, extend the mechanism to allow for the possibility of different variational wavefunctions for each of the gauge bosons, which could possibly trigger spontaneous breaking of a global symmetry. We succeed in doing this for product Lie groups or other situations in which the underlying Lie algebra contains an ideal. Afterwards, we conduct a first numerical exploration for a few simple Lie groups of low-dimension, reported in section 5, and do not currently find a situation in which the symmetry breaks for simple groups. After a brief outlook, we complement the discussion with an appendix detailing the numerical solution method, the necessary color algebra, and an exhaustive list of the needed structure constant combinations (in the particular case of SU(3) only).

2. Coulomb gauge gap equation for a singlet condensate

In this section we present the relatively well-known theory of the mass gap equation leading to a gluon mass in Coulomb gauge with a color-singlet condensate (note that any gauge-boson mass and condensates are necessarily features of a gauge-fixed picture of the theory) that therefore respects all global symmetries. We start from a global-color symmetry preserving Hamiltonian [24]:
$\begin{eqnarray}\begin{array}{rcl}H & =& \displaystyle \int {{\rm{d}}}^{3}{\boldsymbol{x}}\,({{\boldsymbol{\Pi }}}^{{\boldsymbol{a}}}\cdot {{\boldsymbol{\Pi }}}^{{\boldsymbol{a}}}+{{\boldsymbol{B}}}^{{\boldsymbol{a}}}\cdot {{\boldsymbol{B}}}^{{\boldsymbol{a}}})\\ & & -\frac{1}{2}\displaystyle \int {{\rm{d}}}^{3}{\boldsymbol{x}}\displaystyle \int {{\rm{d}}}^{3}{\boldsymbol{y}}{\rho }_{{\rm{glue}}}^{a}({\boldsymbol{x}})V(| {\boldsymbol{x}}-{\boldsymbol{y}}| ){\rho }_{{\rm{glue}}}^{a}({\boldsymbol{y}}),\end{array}\end{eqnarray}$
where Πa represents the color electric field, Ba the chromomagnetic field, and ${\rho }_{{\rm{glue}}}^{a}={f}^{abc}{{\boldsymbol{A}}}^{b}\cdot {{\boldsymbol{\Pi }}}^{c}$ the color charge density. The Hamiltonian differs from exact QCD in that the potential V(∣x-y∣) is a c-function (like in electrodynamics) given below in equation (16) (Cornell potential) or (3) (purely Coulombic) simplifying the kernel that appears in the full non-Abelian theory [25,26].
In the basis of well-defined momentum particles, with creation, aa, and destruction, aa, boson operators the fields take the form
$\begin{eqnarray}{A}_{i}^{a}({\boldsymbol{x}})=\int \frac{{{\rm{d}}}^{3}{\boldsymbol{k}}}{{(2\pi )}^{3}}\frac{1}{\sqrt{2| {\boldsymbol{k}}| }}\left[{a}_{i}^{a}({\boldsymbol{k}})+{a}_{i}^{a\dagger }(-{\boldsymbol{k}})\right]{{\rm{e}}}^{{\rm{i}}{\boldsymbol{k}}\cdot {\boldsymbol{x}}}\end{eqnarray}$
$\begin{eqnarray}{{\rm{\Pi }}}_{i}^{a}({\boldsymbol{x}})=-{\rm{i}}\int \frac{{{\rm{d}}}^{3}{\boldsymbol{k}}}{{(2\pi )}^{3}}\sqrt{\frac{| {\boldsymbol{k}}| }{2}}\left[{a}_{i}^{a}({\boldsymbol{k}})-{a}_{i}^{a\dagger }(-{\boldsymbol{k}})\right]{{\rm{e}}}^{{\rm{i}}{\boldsymbol{k}}\cdot {\boldsymbol{x}}}\end{eqnarray}$
$\begin{eqnarray}{B}_{i}^{a}={\epsilon }_{ijk}\left({\unicode{x025BF}}_{j}{A}_{k}^{a}+\frac{g}{2}{f}^{abc}{A}_{j}^{b}{A}_{k}^{c}\right).\end{eqnarray}$
Because the Coulomb gauge is spatially transverse, adequate commutation rules that project out the longitudinal gluons are
$\begin{eqnarray}[{a}_{i}^{a}({\boldsymbol{k}}),{a}_{j}^{b}{({\boldsymbol{q}})}^{\dagger }]={(2\pi )}^{3}{\delta }^{ab}{\delta }^{3}({\boldsymbol{k}}-{\boldsymbol{q}})\left({\delta }_{ij}-{\hat{k}}_{i}{\hat{k}}_{j}\right),\end{eqnarray}$
where $\hat{{\boldsymbol{k}}}\equiv {\boldsymbol{k}}/| {\boldsymbol{k}}| $.
A gluon condensed vacuum ∣Ω⟩ is variationally chosen by minimizing the expectation value of the Hamiltonian ⟨H⟩. The quasiparticles that will annihilate it will have a dispersion relation E(k) that serves as the actual variational function, controlling the canonical Bogoliubov rotation [27]
$\begin{eqnarray}{\alpha }_{i}^{a}=\cosh {\theta }_{k}^{a}{a}_{i}^{a}({\boldsymbol{k}})+\sinh {\theta }_{k}^{a}{a}_{i}^{a\dagger }({\boldsymbol{-k}})\end{eqnarray}$
$\begin{eqnarray}{\alpha }_{i}^{a\dagger }=\sinh {\theta }_{k}^{a}{a}_{i}^{a}({\boldsymbol{k}})+\cosh {\theta }_{k}^{a}{a}_{i}^{a\dagger }({\boldsymbol{-k}}),\end{eqnarray}$
so that the field expansions become
$\begin{eqnarray}{A}_{i}^{a}({\boldsymbol{x}})=\int \frac{{{\rm{d}}}^{3}{\boldsymbol{k}}}{{(2\pi )}^{3}}\frac{1}{\sqrt{2{E}_{{\boldsymbol{k}}}^{a}}}\left({\alpha }_{i}^{a}({\boldsymbol{k}})+{\alpha }_{i}^{a\dagger }(-{\boldsymbol{k}})\right){{\rm{e}}}^{{\rm{i}}{\boldsymbol{k}}\cdot {\boldsymbol{x}}}\end{eqnarray}$
$\begin{eqnarray}{{\rm{\Pi }}}_{i}^{a}({\boldsymbol{x}})=-{\rm{i}}\int \frac{{{\rm{d}}}^{3}{\boldsymbol{k}}}{{(2\pi )}^{3}}\sqrt{\frac{{E}_{{\boldsymbol{k}}}^{a}}{2}}\left({\alpha }_{i}^{a}({\boldsymbol{k}})-{\alpha }_{i}^{a\dagger }(-{\boldsymbol{k}})\right){{\rm{e}}}^{{\rm{i}}{\boldsymbol{k}}\cdot {\boldsymbol{x}}}.\end{eqnarray}$
The relation between the hyperbolic Bogoliubov angle ${\theta }_{k}^{a}$ and the dispersion relation is then
$\begin{eqnarray}\tanh {\theta }_{{\boldsymbol{k}}}^{a}=\frac{| {\boldsymbol{k}}| -{E}_{{\boldsymbol{k}}}^{a}}{| {\boldsymbol{k}}| +{E}_{{\boldsymbol{k}}}^{a}}.\end{eqnarray}$
Although it is not directly used in practice, the vacuum state of the interacting theory satisfying ${\alpha }_{i}^{a}| {\rm{\Omega }}\rangle =0$ can be obtained from the free vacuum via an improperly unitary transformation
$\begin{eqnarray}| {\rm{\Omega }}\rangle ={ \mathcal N }{e}^{\left(-\int \frac{{{\rm{d}}}^{3}{\boldsymbol{k}}}{2{(2\pi )}^{3}}\tanh {\theta }_{{\boldsymbol{k}}}^{a}({\delta }_{ij}-{\hat{k}}_{i}{\hat{k}}_{j}){a}_{i}^{a\dagger }({\boldsymbol{k}}){a}_{j}^{a\dagger }(-{\boldsymbol{k}})\right)}| 0\rangle .\end{eqnarray}$
that yields a coherent Bardeen-Cooper-Schrieffer-like quantum state defining an inequivalent representation of the Hilbert space [28]. To apply the Rayleigh-Ritz variational principle we require the expectation value of the Hamiltonian in the family of rotated vacuum states,
$\begin{eqnarray}\begin{array}{rcl}{\langle {H}_{{\rm{\Pi }}}\rangle }_{{\rm{\Omega }}} & =& {(2\pi )}^{3}{\delta }^{3}(0)\displaystyle \sum _{a}\displaystyle \int \frac{{{\rm{d}}}^{3}{\boldsymbol{k}}}{{(2\pi )}^{3}}\frac{{E}_{{\boldsymbol{k}}}^{a}}{2},\\ {\langle {H}_{B}\rangle }_{{\rm{\Omega }}} & =& {(2\pi )}^{3}{\delta }^{3}(0)\displaystyle \sum _{a}\displaystyle \int \frac{{{\rm{d}}}^{3}{\boldsymbol{k}}}{{(2\pi )}^{3}}\frac{| {\boldsymbol{k}}{| }^{2}}{2{E}_{{\boldsymbol{k}}}^{a}},\\ {\langle {H}_{V}\rangle }_{{\rm{\Omega }}} & =& {(2\pi )}^{3}{\delta }^{3}(0)\frac{1}{8}\displaystyle \sum _{abc}\displaystyle \int \frac{{{\rm{d}}}^{3}{\boldsymbol{k}}}{{(2\pi )}^{3}}\frac{{{\rm{d}}}^{3}{{\boldsymbol{k}}}^{{\prime} }}{{(2\pi )}^{3}}\\ & & \times \,\left[(1+(\hat{{\boldsymbol{k}}}\cdot {\hat{{\boldsymbol{k}}}}^{{\prime} }))\hat{V}(| {\boldsymbol{k}}-{{\boldsymbol{k}}}^{{\prime} }| ){f}^{abc}{f}^{abc}\left(\frac{{E}_{{\boldsymbol{k}}}^{c}}{{E}_{{{\boldsymbol{k}}}^{{\prime} }}^{b}}-{C}_{G}\right)\right].\end{array}\end{eqnarray}$
The factor Δ3(0) simply represents the quantization volume: it can be ignored in minimizing the energy density. The variational principle then yields
$\begin{eqnarray*}\frac{\delta {\langle H\rangle }_{{\rm{\Omega }}}}{\delta {E}_{{\boldsymbol{q}}}^{d}}=\frac{\delta ({\langle {H}_{{\rm{\Pi }}}\rangle }_{{\rm{\Omega }}}+{\langle {H}_{B}\rangle }_{{\rm{\Omega }}}+{\langle {H}_{V}\rangle }_{{\rm{\Omega }}})}{\delta {E}_{{\boldsymbol{q}}}^{d}}=0\end{eqnarray*}$
and this entails the following mass-gap equation for the gauge bosons,
$\begin{eqnarray}\begin{array}{rcl}{({E}_{{\boldsymbol{k}}}^{d})}^{2} & =& | {\boldsymbol{q}}{| }^{2}-\frac{1}{4}\displaystyle \sum _{a,b}{f}^{abd}{f}^{abd}\displaystyle \int \frac{{{\rm{d}}}^{3}{\boldsymbol{k}}}{{(2\pi )}^{3}}\\ & & \times \,\hat{V}(| {\boldsymbol{k}}-{\boldsymbol{q}}| )(1+{(\hat{{\boldsymbol{k}}}\cdot \hat{{\boldsymbol{q}}})}^{2})\left(\frac{{({E}_{{\boldsymbol{k}}}^{b})}^{2}-{({E}_{{\boldsymbol{q}}}^{d})}^{2}}{{E}_{{\boldsymbol{k}}}^{b}}\right).\end{array}\end{eqnarray}$
This is a nonlinear integral equation for Eq that appears also on the right, so the solution needs to be iterative until a fixed point is found. We can simplify a bit by noting that Ek does not depend on the angular variables, so that defining an effective potential that absorbs the polar integral
$\begin{eqnarray}{\hat{V}}_{\,\rm{eff}\,}({\boldsymbol{k}},{\boldsymbol{q}})=\frac{1}{2\pi }\int {\rm{d}}{\rm{\Omega }}\,\hat{V}(| {\boldsymbol{k}}-{\boldsymbol{q}}| )(1+{(\hat{{\boldsymbol{k}}}\cdot \hat{{\boldsymbol{q}}})}^{2}),\end{eqnarray}$
the remaining radial equation then becomes
$\begin{eqnarray}\begin{array}{rcl}{({E}_{{\boldsymbol{q}}}^{d})}^{2} & =& | {\boldsymbol{q}}{| }^{2}-\frac{1}{4}\displaystyle \sum _{a,b}{f}^{abd}{f}^{abd}{\displaystyle \int }_{0}^{\infty }\frac{{\rm{d}}| {\boldsymbol{k}}| }{{(2\pi )}^{2}}| {\boldsymbol{k}}{| }^{2}\\ & & \times {\hat{V}}_{\,\rm{eff}\,}({\boldsymbol{k}},{\boldsymbol{q}})\left(\frac{{({E}_{{\boldsymbol{k}}}^{b})}^{2}-{({E}_{{\boldsymbol{q}}}^{d})}^{2}}{{E}_{{\boldsymbol{k}}}^{b}}\right).\end{array}\end{eqnarray}$
An alternative way to derive this equation is via the functional approach [29].
The momentum-space potential $\hat{V}(| {\boldsymbol{k}}-{\boldsymbol{q}}| )$ denotes the Fourier transform of the potential V(∣x-y∣) in equation (1). It remains to specify this. One can attempt a calculation from the full Coulomb kernel [30] or lattice gauge theory [31] which leads to a Cornell potential which we use in the first part of the next section 3, although in the remainder of the article we will default to the standard Coulomb potential which has less infrared strength (and is present already in first order perturbation theory). In a confining theory, the potential can be approximated by the Cornell linear+Coulomb 1/r or funnel interaction, resulting in
$\begin{eqnarray}V(| {\boldsymbol{x}}-{\boldsymbol{y}}| )=-\frac{{\alpha }_{s}}{| {\boldsymbol{x}}-{\boldsymbol{y}}| }+b\,| {\boldsymbol{x}}-{\boldsymbol{y}}| \,{{\rm{e}}}^{-{{\rm{\Lambda }}}_{{\rm{phen}}}| {\boldsymbol{x}}-{\boldsymbol{y}}| },\end{eqnarray}$
where αs is the strong interaction constant and b the string tension. The term ${e}^{-{{\rm{\Lambda }}}_{{\rm{phen}}}| {\boldsymbol{x}}-{\boldsymbol{y}}| }$ is a regulator that tames the strong infrared growth of the linear potential, but we will not use it and actually employ the computer grid to regulate the integration.
Since the gluon pairs in the condensate are in a singlet state, all quasiparticles have the same dispersion relation and no global symmetry is broken, ${E}_{{\boldsymbol{q}}}^{d}={E}_{{\boldsymbol{q}}}$ for all d. The sum over the structure constants is the Casimir of the adjoint representation, CG=∑a,bfabdfabd, that for SU(N) is simply CG=N. Equation (15) then reduces to
$\begin{eqnarray}{({E}_{{\boldsymbol{q}}})}^{2}=| {\boldsymbol{q}}{| }^{2}-\frac{{C}_{G}}{4}{\int }_{0}^{\infty }\frac{{\rm{d}}| {\boldsymbol{k}}| }{{(2\pi )}^{2}}| {\boldsymbol{k}}{| }^{2}{\hat{V}}_{\,\rm{eff}\,}({\boldsymbol{k}},{\boldsymbol{q}})\left(\frac{{E}_{{\boldsymbol{k}}}^{2}-{E}_{{\boldsymbol{q}}}^{2}}{{E}_{{\boldsymbol{k}}}}\right).\end{eqnarray}$

3. Color-symmetric gap equation for various groups

Let us now separately study the effect of the terms of the potential in equation (16), starting by the linear potential (first used in a gap equation, to our knowledge, in [32,33]),
$\begin{eqnarray*}{V}_{L}(| {\boldsymbol{x}}-{\boldsymbol{y}}| )=b\,| {\boldsymbol{x}}-{\boldsymbol{y}}| ,\end{eqnarray*}$
that, after Fourier transform, becomes
$\begin{eqnarray}{\hat{V}}_{L}={{ \mathcal F }}^{3}({V}_{L})=-\frac{8\pi b}{| {\boldsymbol{k}}-{\boldsymbol{q}}{| }^{4}},\end{eqnarray}$
and handling the angular integrals ($x=\cos \theta $) yields the effective potential for the radial equation,
$\begin{eqnarray}\begin{array}{rcl}{\hat{V}}_{\,\rm{eff}\,,\,L} & =& {\displaystyle \int }_{-1}^{1}{\rm{d}}x\frac{-8\pi b}{{(| {\boldsymbol{k}}{| }^{2}+| {\boldsymbol{q}}{| }^{2}-2| {\boldsymbol{k}}| | {\boldsymbol{q}}| x)}^{2}}(1+{x}^{2})\\ & =& -8\pi b\left[{\left(\frac{| {\boldsymbol{k}}{| }^{2}+| {\boldsymbol{q}}{| }^{2}}{| {\boldsymbol{k}}{| }^{2}-| {\boldsymbol{q}}{| }^{2}}\right)}^{2}\frac{1}{| {\boldsymbol{k}}{| }^{2}| {\boldsymbol{q}}{| }^{2}}\right.\\ & & \left.+\frac{| {\boldsymbol{k}}{| }^{2}+| {\boldsymbol{q}}{| }^{2}}{4| {\boldsymbol{k}}{| }^{3}| {\boldsymbol{q}}{| }^{3}}{\rm{log}}{\left(\frac{| {\boldsymbol{k}}| -| {\boldsymbol{q}}| }{| {\boldsymbol{k}}| +| {\boldsymbol{q}}| }\right)}^{2}\right].\end{array}\end{eqnarray}$
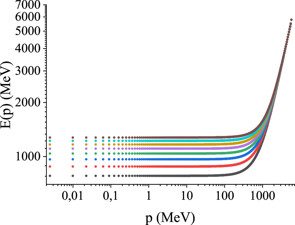
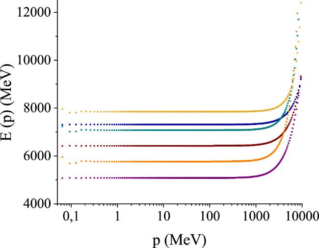
The k integral in equation (15) has a log infrared divergence upon employing the 1/(k-q)4. The regulated equation is numerically solved (as detailed in the appendix) and the solutions are plotted in figure 1 for different symmetry groups. In all cases we see the emergence of a mass, m=E(0), larger with increasing dimension of the symmetry group due to the CG color factor in equation (17).
Figure 1. Computed numerical dispersion relations E(p) with the linear potential from equation (19). From bottom to top they correspond to the groups SU(3) through SU(10), all with the same string tension b=0.18 GeV2.
We now turn to the Coulomb potential that is a good description of the actual potential when interactions are small, that is, at high momentum transfers in non-Abelian theories. It is
$\begin{eqnarray*}{V}_{C}(| {\boldsymbol{x}}-{\boldsymbol{y}}| )=-\frac{{\alpha }_{s}}{| {\boldsymbol{x}}-{\boldsymbol{y}}| },\end{eqnarray*}$
with Fourier transform
$\begin{eqnarray}{\hat{V}}_{C}(| {\boldsymbol{k}}-{\boldsymbol{q}}| )={{ \mathcal F }}^{3}({V}_{C})=-\frac{4\pi {\alpha }_{s}}{| {\boldsymbol{k}}-{\boldsymbol{q}}{| }^{2}},\end{eqnarray}$
and, because of the absence of an azimuthal Φ-dependence, just as for the linear potential, both being central, the effective potential for the radial equation is
$\begin{eqnarray}\begin{array}{rcl}{\hat{V}}_{\,\rm{eff}\,,\,C} & =& {\displaystyle \int }_{-1}^{1}{\rm{d}}x\frac{-4\pi {\alpha }_{s}}{| {\boldsymbol{k}}{| }^{2}+| {\boldsymbol{q}}{| }^{2}-2| {\boldsymbol{k}}| | {\boldsymbol{q}}| x}(1+{x}^{2})\\ & =& 4\pi {\alpha }_{s}\left[\frac{1}{2| {\boldsymbol{q}}{| }^{2}}+\frac{1}{2| {\boldsymbol{k}}{| }^{2}}\right.\\ & & \left.+\frac{| {\boldsymbol{k}}{| }^{4}+6| {\boldsymbol{k}}{| }^{2}| {\boldsymbol{q}}{| }^{2}+| {\boldsymbol{q}}{| }^{4}}{8| {\boldsymbol{k}}{| }^{3}| {\boldsymbol{q}}{| }^{3}}{\rm{log}}{\left(\frac{| {\boldsymbol{k}}| -| {\boldsymbol{q}}| }{| {\boldsymbol{k}}| +| {\boldsymbol{q}}| }\right)}^{2}\right].\end{array}\end{eqnarray}$
This potential causes no problem in the infrared $k{\to }q$ limit, but the improper integral in the ultraviolet $k{\to }\infty $ does not converge. Since, unlike the linear potential, the Coulombic one is scale-free, the solutions scale with the regulating cutoff. Since it is not particularly appealing that the computer grid determines the mass gap (although common practice in many computer fields), we will eliminate that dependence by a fixed momentum subtraction (MOM scheme). We therefore detract from equation (17) the same equation but with a fixed value of the momentum scale, μ, that is now dictating the solution's mass. The resulting equation,
$\begin{eqnarray}\begin{array}{l}{({E}_{{\boldsymbol{q}}})}^{2}={({E}_{\mu }^{d})}^{2}+| {\boldsymbol{q}}{| }^{2}-{\mu }^{2}-\frac{{C}_{G}}{4}{\displaystyle \int }_{0}^{\infty }\frac{{\rm{d}}| {\boldsymbol{k}}| }{{(2\pi )}^{2}}\frac{| {\boldsymbol{k}}{| }^{2}}{{E}_{{\boldsymbol{k}}}}\\ \times ({\hat{V}}_{\,\rm{eff}\,}({\boldsymbol{k}},{\boldsymbol{q}})\left({({E}_{{\boldsymbol{k}}})}^{2}-{({E}_{{\boldsymbol{q}}})}^{2}\right)-{\hat{V}}_{\,\rm{eff}\,}({\boldsymbol{k}},\mu )\left({({E}_{{\boldsymbol{k}}})}^{2}-{({E}_{\mu })}^{2}\right),\end{array}\end{eqnarray}$
has a much better behavior, and any $k{\to }\infty $ integration divergence is suppressed by the new fixed-point subtraction, with the same potential but opposite sign. μ has to be chosen high enough so that the energy is practically equal to the momentum, that is, E(μ) ≃ μ, and one is in a quasifree regime. Beyond that, μ is arbitrary just as the choice of cutoff was. Still it allows for control of the problem's scale without regards to the integration grid.
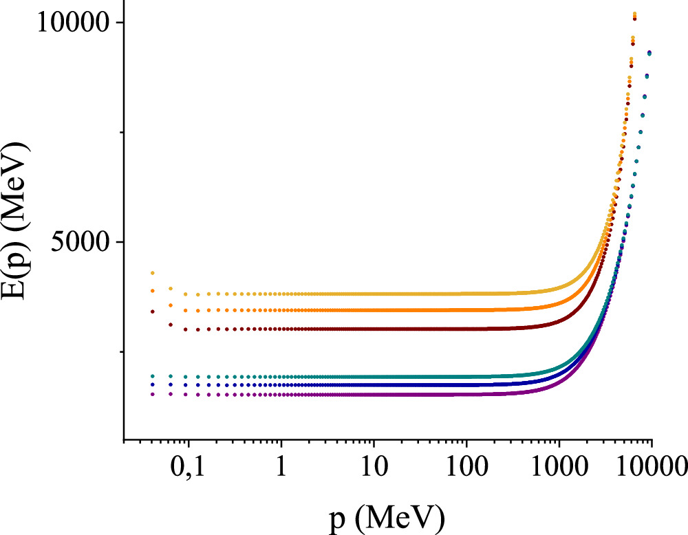
Upon applying this method to various symmetry groups, the masses generically diminish, as can be observed in figures 2 and 3. The qualitative features of mass generation are similar to the linear potential, and in both cases the larger the dimension of the symmetry group, the larger the mass which is generated, all other things being equal, due to the CG color factor.
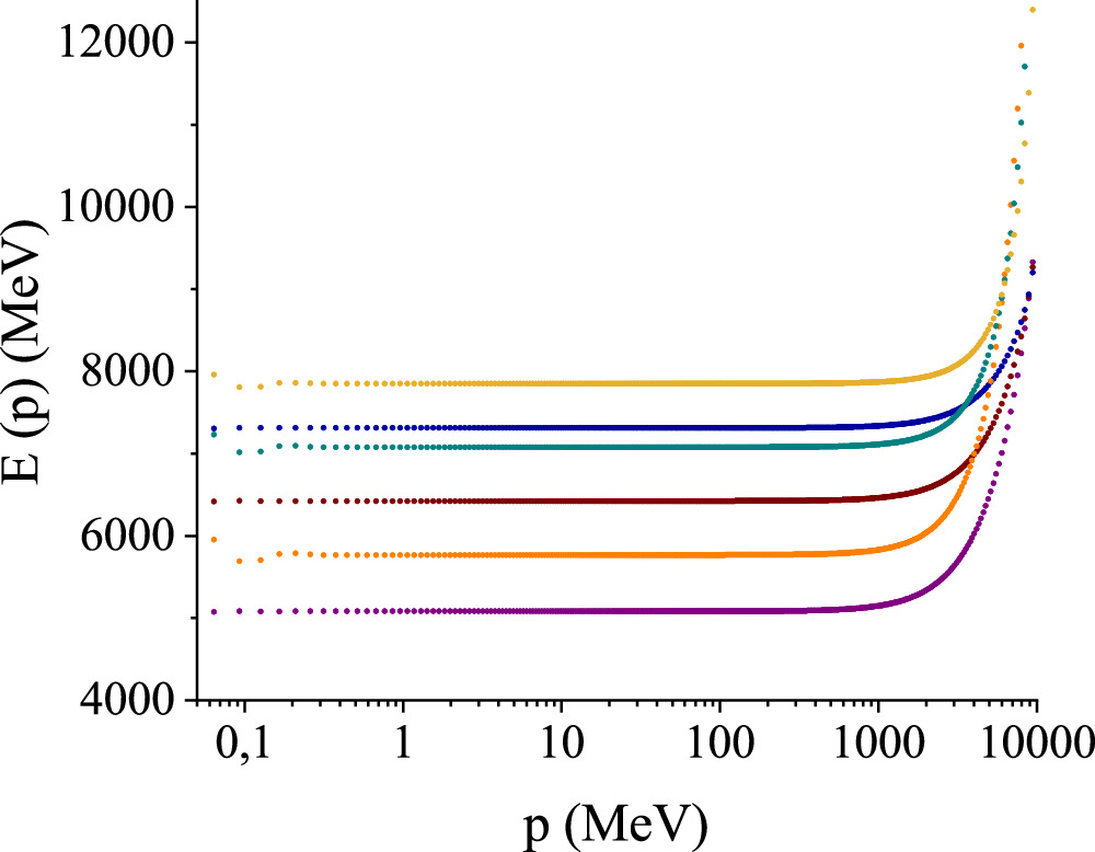
Figure 2. Dispersion relations solving the regularized but unrenormalized gauge-boson gap equation (17) for different SU(N), with cutoffs k1=10 GeV (lower bunch of three E(k) functions) and k2=20 GeV (upper bunch with larger masses). Each of the two sets corresponds to the symmetry groups SU(3), SU(4) and SU(5), all with the same strong coupling constant αs=1 in equation (21).
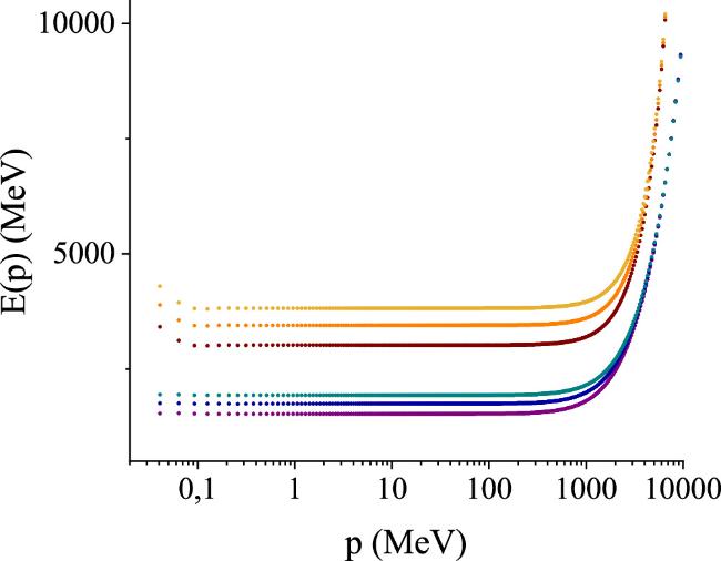
Figure 3. Dispersion relations E(p) solving the gauge-boson gap equation (17) renormalized by means of a MOM subtraction with scale μ=9 GeV for SU(3), SU(4) and SU(5), all with the same strong coupling constant αs=1 in equation (21). The cutoffs here are small, at k1=10 GeV (lower bunch) and k2=20 GeV (upper bunch): the sensitivity thereto then quickly diminishes as k is removed beyond 20 GeV towards infinity.
Of course, the scales of both plots have been set so that the resulting gluon masses make sense at the QCD scale with SU(3), yielding glueballs of reasonable mass [34], but the reader can easily scale them as needed to any other energy regime. The resulting dispersion relations are standard, as would appear in a plasma with a cutoff or upon solving the Helmholtz equation in a waveguide, and show that a minimum threshold energy is required to propagate gluons of any momentum.
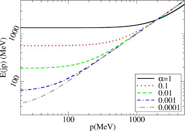
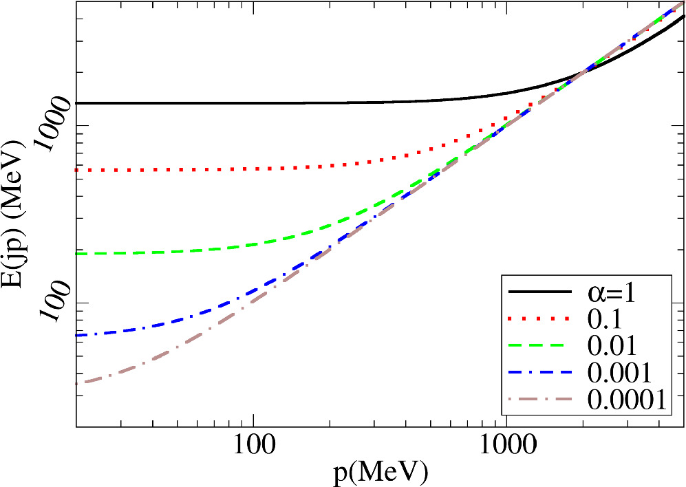
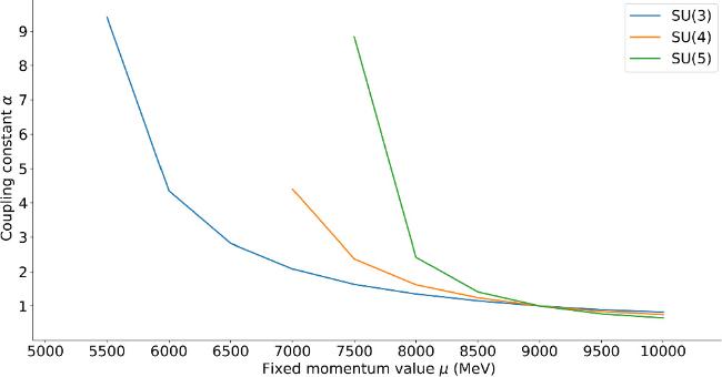
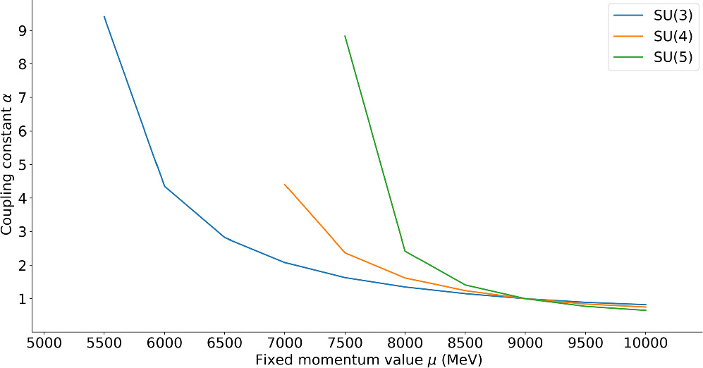
The mass gap E(p=0, μ)=M(μ) is set by the MOM renormalization condition E(p=μ)=Mreference which directly controls the generated mass; this is typical of dimensional analysis in field theory. If the scale μ is lowered (increased) and one wishes for the same observable gap E(p=0), the coupling constant has to be accordingly increased (decreased) as shown, for three small SU(N) groups, in figure 4.
Figure 4. Running $\alpha (\mu )/\alpha \left(9\,{\rm{GeV}}\right)$ for three small groups from the requirement that M(0) remain constant.
Figure 5 shows the sensitivity of the dispersion relation to diminishing the coupling constant. The mass gap does not disappear at a critical point in this setup, but disappears with the coupling, remaining proportional to the renormalization scale (known truncations of Dyson-Schwinger equations in the fermion sector [37] do show a critical point for the fermion-mass dynamical chiral-symmetry breaking, but this is not the case in the gauge-boson sector). This does not entail that a photon mass is necessarily generated, as equation (22) is specific for non-Abelian gauge theories and its kernel vanishes for electrodynamics as it stems from boson-boson interactions which are not fermion mediated. A U(1) theory, with fabcfabc=0, automatically yields a trivial dispersion relation E(k)=k and no photon mass.
Figure 5. The gauge-boson mass is fixed by the renormalization point: in this truncation there is not a critical coupling that makes that mass suddenly vanish, but instead it scales down with the coupling, here varied (for the case of SU(3) color factors) several orders of magnitude down from 1.
The gluon masses generated for large-dimensional groups are not exponentially far from the QCD one, but this is because we start with the same coupling constant at a low scale. If instead we started with the same coupling constant at a very large (Grand Unification) scale, the much larger antiscreening of the Yang-Mills coupling constant for larger groups would yield exponentially larger masses at a low-scale, effectively removing such theories from the spectrum, as we have shown elsewhere [18,19].

4. Splitting the masses in SU(N) × SU(M)

The mass generation that we have so far pursued forced us to fix the local gauge (we have adopted the Coulomb one, but similar results have been obtained by us and previous authors in other gauges), but the solutions fully respect the global color symmetry. In this section we turn to the possibility that the solutions may spontaneously break some global symmetry and different gluons come with different masses even if the scale μ and the coupling αs are the same for all of them.
We will, for the sake of simplicity, explore the partition of the N2-1 gluons of SU(N) or the corresponding number in other groups in two subsets, one with n lighter gluons and another, containing the rest of them, heavier. We need more notation to distinguish the sets, and have opted for lowercase letters a, b, c, d. . .=1, …, n to denote the colors of the lighter (L) gluons, whose dispersion relation shall be written as ωq, and uppercase letters A, B, C, D. . .=n, …, N2-1 for the heavier (H) ones, with dispersion relation naturally chosen as the capital letter Ωq. To refer to all the colors simultaneously we adopt the Greek indices α, β, γ, Δ. . .=1, . . . N2-1.
The gap equation (15) now formally separates into a 2 × 2 system for the two types of gluons,
$\begin{eqnarray}\begin{array}{l}{({\omega }_{{\boldsymbol{q}}}^{d})}^{2}=| {\boldsymbol{q}}{| }^{2}-\frac{1}{4}{\displaystyle \int }_{0}^{\infty }\frac{{\rm{d}}| {\boldsymbol{k}}| }{{(2\pi )}^{2}}| {\boldsymbol{k}}{| }^{2}{\hat{V}}_{\,\rm{eff}\,}({\boldsymbol{k}},{\boldsymbol{q}})\\ \times \displaystyle \sum _{\alpha }\left[\displaystyle \sum _{b}{({f}^{\alpha bd})}^{2}\frac{{({\omega }_{{\boldsymbol{k}}}^{b})}^{2}-{({\omega }_{{\boldsymbol{q}}}^{d})}^{2}}{{\omega }_{{\boldsymbol{k}}}^{b}}+\displaystyle \sum _{B}{({f}^{\alpha Bd})}^{2}\frac{{({{\rm{\Omega }}}_{{\boldsymbol{k}}}^{B})}^{2}-{({\omega }_{{\boldsymbol{q}}}^{d})}^{2}}{{{\rm{\Omega }}}_{{\boldsymbol{k}}}^{B}}\right],\end{array}\end{eqnarray}$
$\begin{eqnarray}\begin{array}{l}{({{\rm{\Omega }}}_{{\boldsymbol{q}}}^{D})}^{2}=| {\boldsymbol{q}}{| }^{2}-\frac{1}{4}{\displaystyle \int }_{0}^{\infty }\frac{{\rm{d}}| {\boldsymbol{k}}| }{{(2\pi )}^{2}}| {\boldsymbol{k}}{| }^{2}{\hat{V}}_{\,\rm{eff}\,}({\boldsymbol{k}},{\boldsymbol{q}})\\ \times \displaystyle \sum _{\alpha }\left[\displaystyle \sum _{B}{({f}^{\alpha BD})}^{2}\frac{{({{\rm{\Omega }}}_{{\boldsymbol{k}}}^{B})}^{2}\,-\,{({{\rm{\Omega }}}_{{\boldsymbol{q}}}^{D})}^{2}}{{{\rm{\Omega }}}_{{\boldsymbol{k}}}^{B}}\,+\,\displaystyle \sum _{b}{({f}^{\alpha bD})}^{2}\frac{{({\omega }_{{\boldsymbol{k}}}^{b})}^{2}\,-\,{({{\rm{\Omega }}}_{{\boldsymbol{q}}}^{D})}^{2}}{{\omega }_{{\boldsymbol{k}}}^{b}}\right].\end{array}\end{eqnarray}$
Each integral contains two terms between brackets. The first depends only on the dispersion relation being solved for on the left hand side of the equation (diagonal terms), be it ω for the light bosons or Ω for the heavy ones. The second term depends on both dispersion relations and couples the equations, pushing the solution towards the symmetric point ωaA (this can be seen with a little patience from the combination of signs).
More compactly, and focusing on the color structure of these equations, this system reads
$\begin{eqnarray}\begin{array}{rcl}{({\omega }_{{\boldsymbol{q}}}^{d})}^{2} & =& | {\boldsymbol{q}}{| }^{2}-\frac{1}{4}\displaystyle \int \frac{d| {\boldsymbol{k}}| }{{\left(2\pi \right)}^{2}}| {\boldsymbol{k}}{| }^{2}{\hat{V}}_{\,\rm{eff}\,}({\boldsymbol{k}},{\boldsymbol{q}})\\ & & \times \left(\,\rm{LL}\,\displaystyle \sum _{\alpha ,b}{\left({f}^{\alpha bd}\right)}^{2}+\,\rm{LH}\,\displaystyle \sum _{\alpha ,B}{\left({f}^{\alpha Bd}\right)}^{2}\right),\\ {({{\rm{\Omega }}}_{{\boldsymbol{q}}}^{D})}^{2} & =& | {\boldsymbol{q}}{| }^{2}-\frac{1}{4}\displaystyle \int \frac{d| {\boldsymbol{k}}| }{{\left(2\pi \right)}^{2}}| {\boldsymbol{k}}{| }^{2}{\hat{V}}_{\,\rm{eff}\,}({\boldsymbol{k}},{\boldsymbol{q}})\\ & & \times \left(\,\rm{HL}\,\displaystyle \sum _{\alpha ,b}{\left({f}^{\alpha bD}\right)}^{2}+\,\rm{HH}\,\displaystyle \sum _{\alpha ,B}{\left({f}^{\alpha BD}\right)}^{2}\right),\end{array}\end{eqnarray}$
where the various symbols have obvious meaning shortening equations (23) and (24).
The observation that gives this paper its title is that, if the combination of structure constants of these coupling terms would vanish, which can be achieved by making all constants of the forms fαBd and fαbD to vanish, the two equations completely decouple. We then have two copies of equation (15), one for the light dispersion relation ω(q) and one for the heavier Ω(q). The mass in each case is proportional to the size of the factors ${\sum }_{\alpha ,b}{({f}^{\alpha bd})}^{2}$ or ${\sum }_{\alpha ,B}{({f}^{\alpha BD})}^{2}$ that appear in the diagonal terms (not all four terms can simultaneously vanish in a non-Abelian gauge theory, since they are sums of squares and some structure constants must be nonzero).
The vanishing of the two coupling terms is precisely what happens if the split of the gauge bosons is done along the lines of two commuting generating algebras, so that the algebra corresponding to the total group is not simple, but the direct sum of two ideals, in group-theory parlance (${\mathfrak{su}}(N)\oplus {\mathfrak{su}}(M)\oplus ...$).
We have chosen to split the system in two sets, but the reader can easily note that a larger number of dispersion relations ω1, ω2,…ωj is possible, in which case the system of equations would further split into several. For each ideal in which we can decompose the algebra, we will obtain one decoupled equation that will provide a different gauge-boson mass, as long as the dimensions are different, NM, which drive different color factors.
This splitting happens even in the presence of the same effective potential, coupling constant and renormalization scale, and is entirely driven by the color factors.
In the case of simple Lie algebras such as ${\mathfrak{su}}(N)$, without proper ideals, this straightforward decoupling cannot take place (because no subset of generators of the algebra can commute with all of those outside the subset, in which case some of the mixed-index f structure constants need to be different from zero), and the various gap equations are necessarily coupled to one another. We turn to this in the next section.

5. Global color breaking not obvious for a simple Lie algebra

In this section we report an exploration of the new system of coupled equations for a couple of low-dimensional Lie algebras. Because there is no ideal, at least three of the four terms contribute, independently of how the partition of the N2-1 gluons is taken. Thus, the system remains coupled.
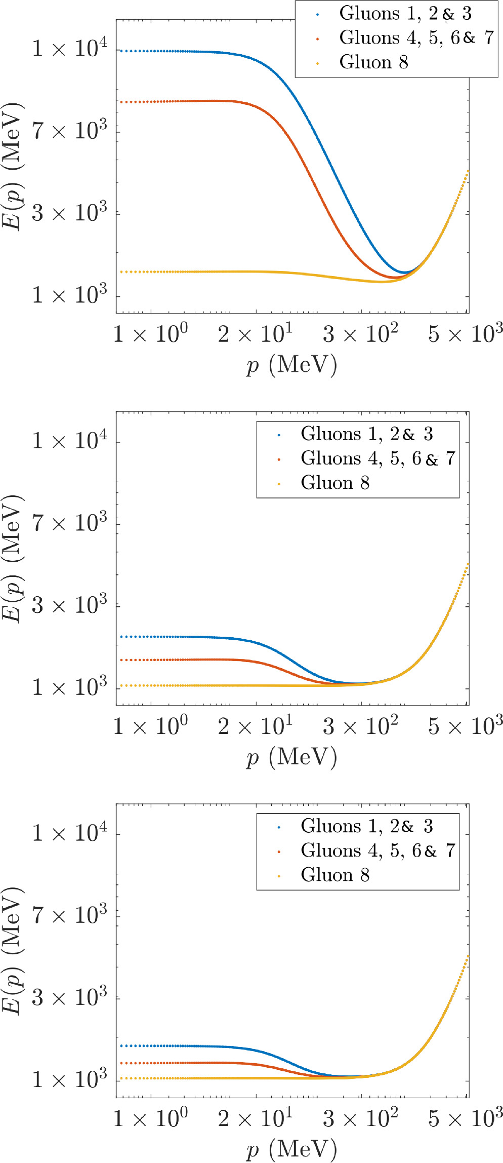
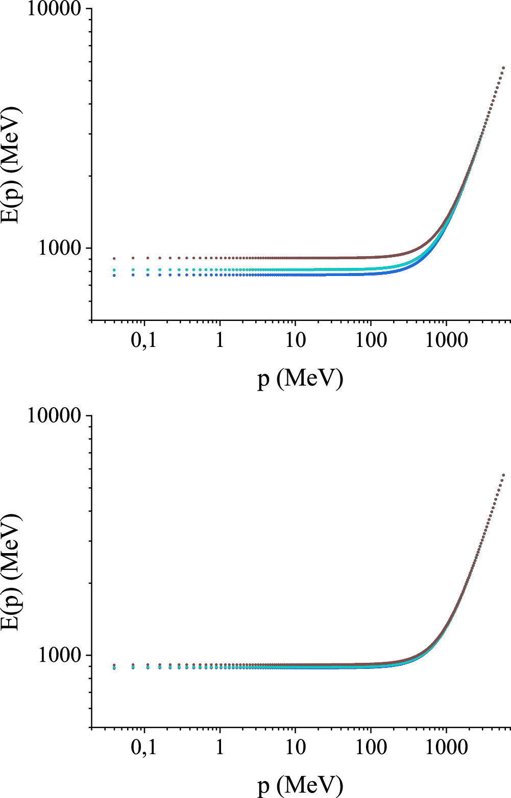
In a first exercise, we attempt to break the symmetry by hand. In a totally artificial manner, we include a multiplicative factor in the off-diagonal LH / HL terms (those mixing lowercase b, d… and uppercase B, D… latin indices) of equations (23) and (24) that reduces their intensity respect to the diagonal ones which are left as written. The outcome is exposed in figure 6, both for a strong artificial suppression by 1/10 but also for a modest reduction factor of 8/10. In both cases, the global color symmetry is broken and the system converges to two dispersion relations with different mass. The plots correspond to a global SU(3) color group in which an SU(2) subgroup remains light (dispersion relation ω) and the rest acquire a heavier dispersion relation Ω.
Figure 6. We artificially attenuate the nondiagonal coupling among dispersion relations in equation (24) to show a reaction of the system breaking global color. Upper plot: the multiplicative factor is 0.1, greatly damping the strength of the coupling, and thus showing enhanced symmetry breaking. Lower plot: the factor is only 0.8, and the explicit symmetry breaking is still visible. The symmetry breaking pattern is SU(3) →SU(2).
However, if we reset the equation to its original form without artificial factors explicitly breaking the symmetry, it is not so easy to find a solution with spontaneous breaking of a simple group. We have not deployed this project to a supercomputer; in a tabletop machine we have been able to quickly examine the following symmetry breaking chains, some of them already studied on the lattice [38]: SU(2) →U(1), SU(3) →SU(2), SU(4) →SU(3), SU(4) →SU(2) and SU(5) →SU(4). For example, in this last case, of the 52-1=24 bosons, 42-1=15 were candidates to remain light and the remaining nine candidates to become heavy.
As an example analysis, we provide detail for a partition of the eight gluons of SU(3) into a group of three and a group of five. Depending on how the first group is chosen, its three gluons may correspond to a subgroup SU(2).
Table 1 in the appendix lists the sums of squared structure constants of the nondiagonal, coupling terms, those multiplying LH and HL in equation (25) for possible combinations of three gluons chosen among the eight of SU(3).
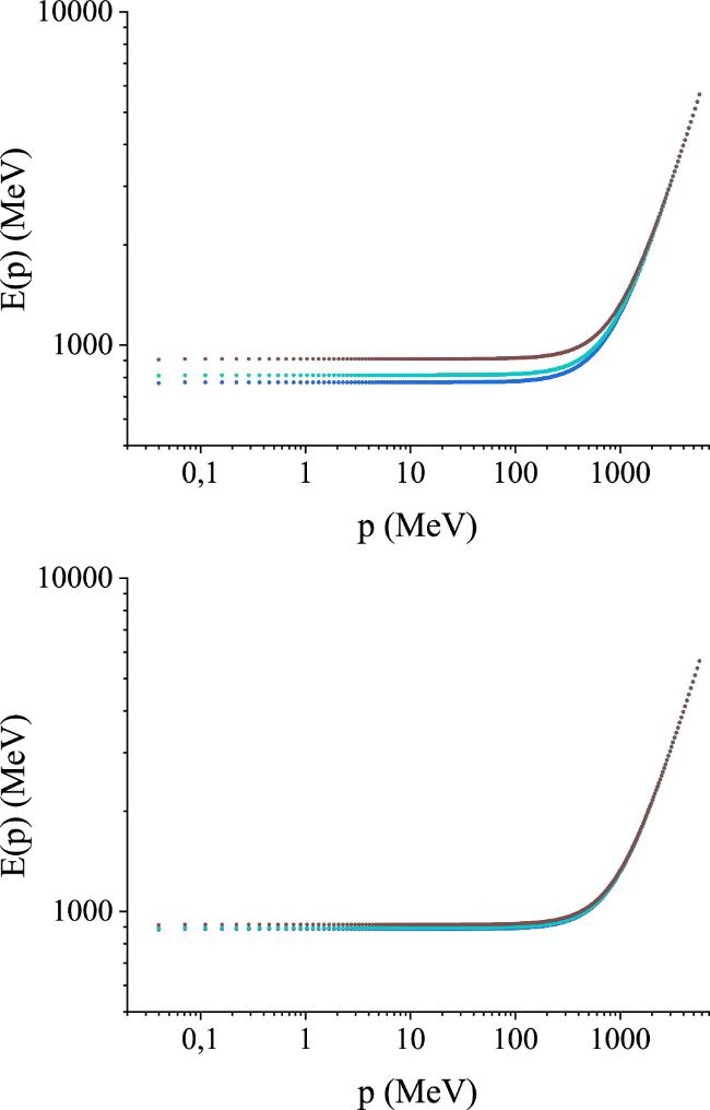
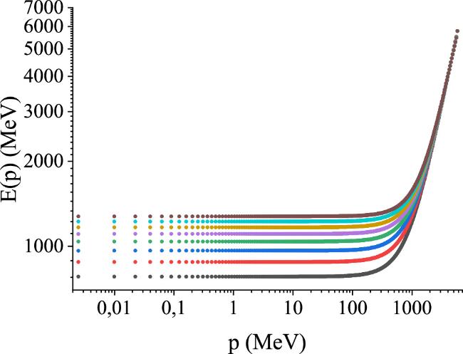
As an example, reading the first row of the table, we observe that the coupling of gluon number eight is null. This means that, initially, this gluon's dispersion relation does not converge towards the others. However, the rest of the system is coupled to it in a nonvanishing way (because the corresponding generator T8 is not nor does it belong to an ideal of the underlying algebra), so that it is the other dispersion relations which move and the system evolves towards the symmetric solution. This can be observed in figure 7.
Figure 7. Intermediate steps towards convergence for the dispersion relations of SU(3) gluons with initially disparate masses. Shown are calculations at 1, at 100 and at 200 iterations. The gluon numbered as 8 is seen to quickly decouple from the rest even on the upper diagram, the first iteration. With 100, it is clear that the system is already converging towards the symmetric solution.
To start the iteration we have chosen an initial mass of 42.4 MeV for the first three gluons and 848 MeV for the rest (the precise choice of these numbers is immaterial, they here have to do with the units employed in the program, 424 MeV as the scale of the string tension when the linear potential is active, which is not the case in this purely Coulombic computation). After initial large jumps, that even change the second derivative of the dispersion relations in intermediate steps, the gluons converge towards the same mass in the 1 GeV range, in this case.
One could then conjecture that the system of equation (24) has as only fixed point ωaA=ω for all gluons, due to some symmetry upon reorganizing the fabc structure constants among different choices of the boson partition.
The observed reduction of the mass splitting is easy to ascertain from Eq.(23) and (24), for a unitary SU(N) group. The nondiagonal terms, denoted as LH and HL in the later Eq.(25) have definite and opposite signs. These terms act in the direction of raising the lower mass and lowering the higher mass, thus stabilizing the system and diminishing the mass difference, recovering the global symmetry. In the case of product groups, such terms are absent above.

6. Outlook

We have worked out the known gap equation for gluodynamics in the North Carolina State family of global color models inspired by Coulomb gauge QCD, then extended it to allow for the possibility of different bosons acquiring different mass in a spontaneous way. This leads to a coupled system of equations and we have performed a first investigation of its color structure. For simplicity, we have limited ourselves here to split the gluons into two groups (light and heavy), but we have also made a few exploratory runs in which each of the gluons might acquire its own different mass. Computations here are more numerically costly as several independent functions have to be simultaneously determined (and note that the number of them grows as N2-1 with the dimension of the group). We have found nothing different to report so we omit the discussion for the sake of conciseness.
It would be extremely interesting to find an alley for spontaneous symmetry breaking among simple groups such as SU(N) →SU(M) but we have not yet identified an example where the system converges to two sets of gluons with different mass in this form. If this was possible, one could do away with complicated Higgs boson representations in Grand Unified Theories that seem rather ad hoc. Our exploratory study has been limited in scope and we have only examined a few group breaking patterns.
Because we do not have a clear proof that the system must remain symmetric for a simple group either, we must limit ourselves to leaving the question of whether this is possible open for future investigation. With more computing power we hope to be able to systematize the choice of the gluons that remain light versus those that remain heavy to extend the system beyond binary (with three, four or more types of dispersion relations with different gluon masses).
The current findings do show how, due to the color factors alone (with equal couplings for the two groups), the gauge bosons in an SU(N) × SU(M) theory with NM acquire different fixed-gauge masses. This entails a breaking of possible accidental symmetries: for example, fermions in the fundamental representation carrying indices for both groups ψnm could be seen, stretching the index, (such as in 1=red-up, 2=red-down, 3=blue-up, etc.) as belonging to the fundamental representation of SU(N × M). This global symmetry is not gauged by definition of the Lagrangian, rather it would be ‘accidental'. It ceases making sense when the mass of the gauge bosons of the two subgroups are different, so it is broken without the resort of a Higgs boson multiplet. The mass splitting for the product group is rather direct from equations (23) and (24). Indeed our numerical computations reproduce the expectation that the color factors cause a difference among the kernels. Less trivial is the fact that, for the relevant SU(3) and higher-dimension non-product groups which we have examined, spontaneous symmetry breaking does not seem to happen and all gauge bosons remain alike. As argued by Dobson and collaborators [15,16], the Higgs in more general theories than the SM should best be defined in terms of composite, gauge-invariant fields. It is not unconceivable that in strongly coupled theories, the equivalent field could be made from modes in the gauge-boson spectrum itself, due to nonlinearities. This is exactly what happens in the Hosotani mechanism [39], which identifies the Higgs bosons with Aharonov-Bohm phases of the gauge theory in extra dimensions which might exist.

Acknowledgments

The authors thank early conversations with Lucas Barbero. The work is partially supported by the EU under grant 824093 (STRONG2020); spanish MICINN under PID2019-108655GB-I00/AEI/10.13039/501100011033, PID2019-106080GB-C21 and PRX23/00225 (estancias en el extranjero); Univ. Complutense de Madrid under research group 910309 and the IPARCOS institute.
This preprint has been issued with number IPARCOS-UCM-23-070.

Numerical solution of the gap equation

In this first appendix we comment on the numerical solution of equation (15). The method is easily extended to the system (25).
We proceed by iteration from an initial guess ${\tilde{E}}^{d}(q)$ for the dispersion relation that differs from the real function by ${E}^{d}(q)=\tilde{{E}^{d}}(q)+{\epsilon }^{d}(q)$ (where we define q ≡ ∣q∣). This we substitute in equation (22) to isolate εb(q) to linear order in the Taylor expansion (we here omit the renormalization subtraction for conciseness, but it has been programmed),
$\begin{eqnarray}\begin{array}{l}{\tilde{E}}^{d}{(q)}^{2}-{q}^{2}+\frac{1}{4}\displaystyle \sum _{a,b}{f}^{abd}{f}^{abd}{\displaystyle \int }_{0}^{\infty }\frac{{\rm{d}}k}{{(2\pi )}^{2}}{k}^{2}{\hat{V}}_{{\rm{eff}}}(k,q)\\ \times \left(\frac{{\tilde{E}}^{b}{(k)}^{2}-{\tilde{E}}^{d}{(q)}^{2}}{{\tilde{E}}^{b}(k)}\right)\\ \approx \,-2{\tilde{E}}^{d}(q){\epsilon }^{d}(q)-\frac{1}{4}\displaystyle \sum _{a,b}{f}^{abd}{f}^{abd}{\displaystyle \int }_{0}^{\infty }\frac{{\rm{d}}k}{{(2\pi )}^{2}}{k}^{2}{\hat{V}}_{{\rm{eff}}}(k,q)\\ \times \left[\left(\frac{{\tilde{E}}^{b}{(k)}^{2}+{\tilde{E}}^{d}{(q)}^{2}}{{\tilde{E}}^{b}{(k)}^{2}}{\epsilon }^{b}(k)\right)-2\frac{{\tilde{E}}^{d}(q){\epsilon }^{d}(q)}{{\tilde{E}}^{b}(k)}\right].\end{array}\end{eqnarray}$
It is convenient to introduce auxiliary functions,
$\begin{eqnarray}\begin{array}{l}{b}^{d}(q):={\tilde{E}}^{d}{(q)}^{2}-{q}^{2}+\frac{1}{4}\displaystyle \sum _{a,b}{f}^{abd}{f}^{abd}\\ \quad \quad \times {\displaystyle \int }_{0}^{\infty }\frac{{\rm{d}}k}{{(2\pi )}^{2}}{k}^{2}{\hat{V}}_{{\rm{eff}}}(k,q)\left(\frac{{\tilde{E}}^{b}{(k)}^{2}-{\tilde{E}}^{d}{(q)}^{2}}{{\tilde{E}}^{b}(k)}\right),\\ {A}^{db}(q,k):=-2{\tilde{E}}^{b}(k){\delta }^{bd}\delta (k-q)\\ -\frac{1}{4}\displaystyle \sum _{a}{f}^{abd}{f}^{abd}\frac{{k}^{2}}{{(2\pi )}^{2}}{\hat{V}}_{{\rm{eff}}}(k,q)\frac{{\tilde{E}}^{b}{(k)}^{2}+{\tilde{E}}^{d}{(q)}^{2}}{{\tilde{E}}^{b}{(k)}^{2}}\\ +\displaystyle \sum _{a,c}{f}^{acd}{f}^{acd}\,\left({\displaystyle \int }_{0}^{\infty }\,\,{\rm{d}}p\frac{{p}^{2}}{{(2\pi )}^{2}}\frac{{\hat{V}}_{{\rm{eff}}}(p,q)}{2{\tilde{E}}^{b}(p)}\right){\tilde{E}}^{d}(q){\delta }^{bd}\delta (k-q)\end{array}\end{eqnarray}$
to shorten notation, so that equation (26) is recognizable as a linear system
$\begin{eqnarray}{b}^{d}(q)=\displaystyle \sum _{b}{\int }_{0}^{\infty }{\rm{d}}k\,{A}^{db}(q,k){\epsilon }^{b}(k).\end{eqnarray}$
We then discretise momenta to make the expression amenable to automation,
$\begin{eqnarray}{b}_{i}^{d}=\displaystyle \sum _{b}\displaystyle \sum _{j}{\rm{\Delta }}{k}_{j}{A}_{ij}^{db}{\epsilon }_{j}^{b}.\end{eqnarray}$
As E(k) approaches its linear asymptote for large k and its nontrivial structure is at low k, we skew the discrete grid to have more points towards low k with the help of a change of variable that introduces a Jacobian.
Here the algorithms for equation (15) and (25) diverge, as the global color symmetry (all gluons have equal mass) allows the first to take a simpler form. Because all ωa in that case are equal, they can be factored out of the color factors, so that the color indices can be summed with the closure relation. The auxiliary quantities of equation (27) then read
$\begin{eqnarray}\begin{array}{rcl}b(q) & := & {b}^{d}(q)=\tilde{E}{(q)}^{2}-{q}^{2}+\frac{{C}_{G}}{4}{\displaystyle \int }_{0}^{\infty }\frac{{\rm{d}}k}{{(2\pi )}^{2}}{k}^{2}\\ & & \times {\hat{V}}_{{\rm{eff}}}(k,q)\left(\frac{\tilde{E}{(k)}^{2}-\tilde{E}{(q)}^{2}}{\tilde{E}(k)}\right),\\ A(q,k) & := & \displaystyle \sum _{b}{A}^{db}(q,k)=-2\tilde{E}(k)\delta (k-q)\\ & & -\frac{{C}_{G}}{4}\frac{{k}^{2}}{{(2\pi )}^{2}}{\hat{V}}_{{\rm{eff}}}(k,q)\left(\frac{\tilde{E}{(k)}^{2}+\tilde{E}{(q)}^{2}}{\tilde{E}{(k)}^{2}}\right)\\ & & +{C}_{G}\left({\displaystyle \int }_{0}^{\infty }{\rm{d}}p\frac{{p}^{2}}{{(2\pi )}^{2}}\frac{{\hat{V}}_{{\rm{eff}}}(p,q)}{2\tilde{E}(p)}\right)\tilde{E}(q)\delta (k-q).\end{array}\end{eqnarray}$
The linear system that allows to extract each Newton step of the algorithm then takes the form
$\begin{eqnarray}b(q)={\int }_{0}^{\infty }{\rm{d}}k\,A(q,k)\epsilon (k),\end{eqnarray}$
or discretized,
$\begin{eqnarray}{b}_{i}=\displaystyle \sum _{j}{\rm{\Delta }}{k}_{j}{A}_{ij}{\epsilon }_{j},\end{eqnarray}$
which is solved for ε, allowing for the update of E(k). In the case of nondiagonal color couplings, equation (29) has to be addressed instead.

Structure constants for the generic Lie algebra ${\mathfrak{su}}$(N)

The SU(N) has N2-1 generators that commute according to the rules of the ${\mathfrak{su}}$(N) algebra, [Ta, Tb]=ifabcTc with structure constants fabc.
The following formulae give these structure constants in a direct way which makes them apt for computer programming, as necessary to solve for example equation (13).
The N2-1 generators of SU(N) can be split into three subsets. First, there are the N-1 diagonal matrices of the Cartan subalgebra, that commute and thus provide simultaneous good quantum numbers (such as hypercharge and the third component of isospin in the case of SU(3)). Then, there are [35] N(N-1)/2 antisymmetric matrices and N(N-1)/2 symmetric but nondiagonal matrices. We then split the color index of the adjoint representation into three distinct ones for each of this types of matrices: D for diagonal, S for symmetric and A for antisymmetric. When acting on the fundamental representation of the fermions they take the explicit form [35]:
$\begin{eqnarray}{T}_{{S}_{nm}}=\frac{1}{2}(| m\rangle \langle n| +| n\rangle \langle m| ),\end{eqnarray}$
$\begin{eqnarray}{T}_{{A}_{nm}}=\frac{1}{2}(| m\rangle \langle n| -| n\rangle \langle m| ),\end{eqnarray}$
$\begin{eqnarray}{T}_{{D}_{n}}=\frac{1}{\sqrt{2n(n-1)}}\left(\displaystyle \sum _{k=1}^{N-1}| k\rangle \langle k| +(1-n)| n\rangle \langle n| \right).\end{eqnarray}$
The n and m subindices take N different values, the size of the fundamental representation of ${\mathfrak{su}}$(N). We can retrieve the values of the various subindices from the closed formulae
$\begin{eqnarray*}\begin{array}{rcl}{S}_{nm} & =& {n}^{2}+2(m-n)-1\\ {A}_{nm} & =n & {}^{2}+2(m-n)\\ {D}_{n} & =& {n}^{2}-1,\end{array}\end{eqnarray*}$
that guarantee that no value is repeated and all values from 1 to N2-1 are covered when additionally imposing 1 ≤ m < nN. Thus, any a ∈ {Snm, Anm, Dn} and the correspondence between these and the usual indices is bijective.
For example, in SU(2) one has three generators, and with this convention the symmetric one is ${T}_{{S}_{21}}={T}_{1}$ (Pauli's σx/2 matrix, essentially), the antisymmetric ${T}_{{A}_{21}}={T}_{2}$ (that is, σy/2) and the diagonal one is ${T}_{{D}_{2}}={T}_{3}$ (or σz/2). If, in turn, we now apply these indexing rules to SU(3), we reproduce Gell-Mann's matrices in the usual order, with diagonal T3 and T8.
This indexing system and the explicit expression in terms of commutators of the generators (normalized as Tr(TaTb)=Δab/2)
$\begin{eqnarray}{f}^{abc}=-2{\rm{i}}{\rm{Tr}}\left[[{T}^{a},{T}^{b}],{T}^{c}\right],\end{eqnarray}$
that makes their total antisymmetry explicit, allows to find directly programmable expressions reported by Bossion and Huo [36],
$\begin{eqnarray}\begin{array}{l}\quad {f}_{{S}_{nm}{S}_{kn}{A}_{km}}={f}_{{S}_{nm}{S}_{nk}{A}_{km}}\\ ={f}_{{S}_{nm}{S}_{km}{A}_{kn}}={f}_{{A}_{nm}{A}_{kn}{A}_{km}}=\frac{1}{2},\\ \quad {f}_{{S}_{nm}{A}_{nm}{D}_{m}}=-\sqrt{\frac{m-1}{2m}},\\ \quad {f}_{{S}_{nm}{A}_{nm}{D}_{n}}=\sqrt{\frac{n}{2(n-1)}},\\ \quad {f}_{{S}_{nm}{A}_{nm}{D}_{k}}=\sqrt{\frac{1}{2k(k-1)}},m\lt k\lt n,\end{array}\end{eqnarray}$
(other combinations of the different symmetries are null unless obtained by permutation and antisymmetry, for example if f123=1/2 then f231=f312=-f321=-f132=-f213=1/2).

Sums of squared structure constants for SU(3), partitioning it in 3-gluon and 5-gluon subsets

Here we list, as an example of the combinations of ∑f2 with various indices that appear in equation (25), an exhaustive list of these combinations for the example in which the eight gluons of SU(3) split into three ‘light' ones (that, in certain cases but not necessarily, can generate an SU(2) subgroup) and five ‘heavier' ones. The number of combinations of the eight gluons taken three at a time is
$\begin{eqnarray*}\left[\begin{array}{c}8\\ 3\end{array}\right]=56,\end{eqnarray*}$
and we list them explicitly in table 1 and following.
Table 1. Sums of squared structure constants necessary for equation (25). The rows alternate in shade. The gray shaded ones indicate the SU(3) gluon combination, with the first three gluons corresponding to the light ones with color index d and the following five to the heavy ones with index D. The row with white background immediately below lists, in the first three columns, the corresponding ${\sum }_{\alpha ,B}{\left({f}^{\alpha Bd}\right)}^{2}$ to each d entry from the row above. The remaining columns give ${\sum }_{\alpha ,b}{\left({f}^{\alpha bD}\right)}^{2}$, also associated to the index D immediately above each entry. This table continues in Tables 2 and 3.
Table 2. Continued from table 1.
Table 3. Continued from tables 1 and 2.
As can be seen, the off-diagonal combinations do not all vanish simultaneously, meaning that the Lie algebra has no ideals of either dimension 3 nor 5 (we of course know that the ${\mathfrak{su}}(3)$ Lie algebra has no ideal of any dimension, but it is reassuring to see this appear in the tabulated data). One might entertain the hope that a clever way of splitting the structure constants could bring about a breaking of the global symmetry even for a simple Lie algebra, perhaps of large dimension, but we have not found an example yet, nor do we know at this point of a theorem (such as the no-go theorem of Vafa and Witten in the fermion sector) that forbids it.
1
Higgs P W 1964 Broken symmetries and the masses of gauge bosons Phys. Rev. Lett. 13 508 509

DOI

2
Schwinger J S 1962 Gauge invariance and mass Phys. Rev. 125 397 398

DOI

3
Cornwall J M 1982 Dynamical Mass Generation in Continuum QCD Phys. Rev. D 26 1453

DOI

4
Cornwall J M 2016 Exploring dynamical gluon mass generation in three dimensions Phys. Rev. D 93 025021

DOI

5
Horak J, Ihssen F, Papavassiliou J, Pawlowski J M, Weber A, Wetterich C 2022 Gluon condensates and effective gluon mass Sci. Post. Phys. 13 042

DOI

6
Alkofer R, Fischer C S, Reinhardt H, von Smekal L 2003 On the infrared behavior of gluons and ghosts in ghost antighost symmetric gauges Phys. Rev. D 68 045003

DOI

7
Fischer C S, Llanes-Estrada F J, Alkofer R 2005 Dynamical mass generation in Landau gauge QCD Nucl. Phys. B Proc. Suppl. 141 128 133

DOI

8
Reinosa U 2024 Three lectures on the Curci-Ferrari model arXiv:2403.10702

9
Buisseret F, Mathieu V, Semay C 2009 Glueball phenomenology and the relativistic flux tube model Phys. Rev. D 80 074021

DOI

10
Vento V 2006 Scalar glueball spectrum Phys. Rev. D 73 054006

DOI

11
Bugg D V, Peardon M J, Zou B S 2000 The Glueball spectrum Phys. Lett. B 486 49 53

DOI

12
Chen Y 2006 Glueball spectrum and matrix elements on anisotropic lattices Phys. Rev. D 73 014516

DOI

13
Lee C H, Mohapatra R N 2017 Vector-like quarks and leptons, SU(5) ⨂ SU(5) grand unification, and proton decay J. High Energy Phys. 2017 080

DOI

14
Mohapatra R N, Sakita B 1980 SO(2n) grand unification in an SU(N) basis Phys. Rev. D 21 1062

DOI

15
Dobson E, Maas A, Riederer B 2022 The spectrum of GUT-like gauge-scalar models arXiv:2211.16937

16
Dobson E, Maas A, Riederer B 2023 Multiple breaking patterns in the Brout-Englert-Higgs effect beyond perturbation theory Annals Phys. 457 169404

DOI

17
Vafa C, Witten E 1984 Restrictions on symmetry breaking in vector-like gauge theories Nucl. Phys. B 234 173 188

DOI

18
Garcìa Fernández G, Guerrero Rojas J, Llanes-Estrada F J 2017 Spontaneous mass generation and the small dimensions of the standard model gauge groups U(1), SU(2) and SU(3) Nucl. Phys. B 915 262 284

DOI

Garcìa Fernández G, Guerrero Rojas J, Llanes-Estrada F J 2019 Erratum to “Spontaneous mass generation and the small dimensions of the Standard Model gauge groups U(1), SU(2) and SU(3)” [Nucl. Phys. B 915 (2017) 262-284] Nucl. Phys. B 949 114755

DOI

19
Llanes-Estrada F J, Salas-Bernárdez A 2019 Chiral symmetry breaking for fermions charged under large Lie groups Commun. Theor. Phys. 71 410 416

DOI

20
Cucchieri A, Dudal D, Mendes T, Vandersickel N 2012 Modeling the gluon propagator in landau gauge: lattice estimates of pole masses and dimension-two condensates Phys. Rev. D 85 094513

DOI

21
Li S W, Lowdon P, Oliveira O, Silva P J 2020 The generalised infrared structure of the gluon propagator Phys. Lett. B 803 135329

DOI

22
Reinhardt H, Campagnari D, Quandt M 2019 Hamiltonian approach to QCD at finite temperature Universe 5 40

DOI

23
Zwanziger D 2003 No confinement without Coulomb confinement Phys. Rev. Lett. 90 102001

DOI

24
Szczepaniak A, Swanson E S, Ji C R, Cotanch S R 1996 Glueball spectroscopy in a relativistic many body approach to hadron structure Phys. Rev. Lett. 76 2011 2014

DOI

25
Christ N H, Lee T D 1980 Operator ordering and Feynman rules in gauge theories Phys. Rev. D 22 939

DOI

26
Schwinger J S 1962 Non abelian gauge fields. Relativistic invariance Phys. Rev. 127 324 330

DOI

27
Llanes-Estrada F J, Cotanch S R 2001 Many body coulomb gauge exotic and charmed hybrids Phys. Lett. B 504 15 20

DOI

28
Garnacho-Velasco E 2024 Chiral-vacuum excited replicae in QCD modeling Phys. Rev. D 110 014023

DOI

29
Watson P, Reinhardt H 2014 Quark gap equation in an external magnetic field Phys. Rev. D 89 045008

DOI

30
Szczepaniak A P, Swanson E S 2001 Coulomb gauge QCD, confinement, and the constituent representation Phys. Rev. D 65 025012

DOI

31
Dawid S M 2024 Coulomb confinement in the Hamiltonian limit arXiv:2408.09007

32
Swift A R, Marrero J L R 1984 Color confinement and the QCD vacuum Phys. Rev. D 29 1823

DOI

33
Adler S L, Davis A C 1984 Chiral symmetry breaking in coulomb gauge QCD Nucl. Phys. B 244 469

DOI

34
Llanes-Estrada F J, Cotanch S R, de Bicudo A, Ribeiro J E F T, Szczepaniak A P 2002 QCD glueball Regge trajectories and the Pomeron Nucl. Phys. A 710 45 54

DOI

35
Bertlmann R, Krammer P 2008 Bloch vectors for qudits J. Math. Phys. A 41 235303

DOI

36
Bossion D, Huo P 2021 General Formulas of the Structure Constants in the su(N) Lie Algebra arXiv:2108.07219

37
Roberts C D, McKellar B H J 1990 Critical coupling for dynamical chiral symmetry breaking Phys. Rev. D 41 672

DOI

38
Cossu G, Hatanaka H, Hosotani Y, Noaki J I 2014 Polyakov loops and the Hosotani mechanism on the lattice Phys. Rev. D 89 094509

DOI

39
Hosotani Y 2012 Gauge-Higgs unification approach AIP Conf. Proc. 1467 208 213

DOI

Outlines

/