Welcome to visit Communications in Theoretical Physics,
Gravitation Theory, Astrophysics and Cosmology

Dark matter and string T-duality density

  • H R Fazlollahi 1, 2
Expand
  • 1Institute of Gravitation and Cosmology, Peoples' Friendship University of Russia (RUDN University), 6 Miklukho-Maklaya St, Moscow, 117198, Russia
  • 2PPGCOSMO & Departamento de Fisica, Universidade Federal do Espirito Santo (UFES), Av. Fernando Ferrari, 514 Campus de Goiabeiras, Vitoria, Espirito Santo CEP 29075-910, Brazil

Received date: 2024-08-14

  Revised date: 2025-01-08

  Accepted date: 2025-01-24

  Online published: 2025-05-29

Copyright

© 2025 Institute of Theoretical Physics CAS, Chinese Physical Society and IOP Publishing. All rights, including for text and data mining, AI training, and similar technologies, are reserved.
This article is available under the terms of the IOP-Standard License.

Abstract

Understanding the nature of dark matter remains one of the most enigmatic and unresolved issues in astrophysics. Certain theoretical models address this by introducing a novel component to account for dark matter. In this study, we propose a new scalar field derived from string T-duality, where its associated density represents the density of the surrounding matter field, in the spherically symmetric and static medium. Our exploration reveals that this scalar field behaves as the baryonic fluid, characterized by a positive effective state equation, ${\omega }_{{\rm{e}}}\gt 0$. Furthermore, a detailed investigation demonstrates that this model satisfies all energy conditions beyond the event horizon of a central black hole. Considering the light deflection and radar echo delay suggests that in this scalar field, the dark matter grows up in the halo and surrounding regions of galaxy systems. This indicates that dark matter accumulates as an effective field outside the observable regions of galaxies.

Cite this article

H R Fazlollahi . Dark matter and string T-duality density[J]. Communications in Theoretical Physics, 2025 , 77(9) : 095402 . DOI: 10.1088/1572-9494/adc40e

1. Introduction

Modern astronomy and astrophysics face various challenges in explaining the current phase of accelerated cosmic expansion and the stability of galactic systems. The former has been confirmed through multiple cosmological observations when Supernovae Ia are considered as the primary evidence source [1-3]. The origin of this accelerated expansion, hypothetically, refers to the mysterious cosmic component termed ‘dark energy'. On the other hand, observations of galactic halos reveal that the rotational velocity of most inter-galactical matter field remains constant [4,5]. Additionally, mass estimates of galaxies derived from gravitational lensing techniques show inconsistencies between the estimated mass and the total observable mass [6]. These findings point to the existence of another invisible field, which has just gravitation interaction [6]. This field, known as dark matter, accumulates at the outside of the observable regions of galaxies, playing a key role in maintaining the structure of galaxies and galaxy clusters [5,6].
To address these unknown components, numerous models and approaches have been developed while the general framework of general relativity is maintained. As one of the most powerful approaches, it is possible to develop Einstein-Hilbert action through adding (non)-linear term. This term, from a general perspective, can depend on scalar parameters constructed from the Riemann tensor and its derivatives [7-10], non-linear or linear couplings between matter and curvature [11,12], non-Einsteinian matter terms [13,14], or relativistic thermodynamics [15]. These modified theories of general relativity not only able to illustrate dark energy [16-19] but also serve as viable frameworks for describing dark matter in local systems [20,21].
In addition to modified theories of gravity, it has been shown that the quantum properties of spacetime can lead to two dark energy models: holographic [22-25] and agegraphic [26-29]. The former model appears from the interplay between black hole entropy and the holographic principle [30], while the agegraphic model is rooted in quantum fluctuations and the concept of minimum energy density in the Minkowski geometry [31]. However, these theories are not viable scenarios in describing dark matter.
As an alternative approach, dark matter can be described through various baryonic and non-baryonic fields. In this context, the axions are one of the non-baryonic candidates, can potentially be detected on Earth by converting their energy to photons in an electromagnetic cavity subjected to a strong magnetic field [32,33]. The heavy neutrinos represent another viable dark matter candidate [34,35]. Additionally, introducing the weakly interacting massive particles (WIMPs) obtains the broad class of unknown particles that may contribute to dark matter [36-38]. Despite the theoretical aspects of these models, the current particle accelerators have not yet provided direct evidence to support these scenarios.
To overcome these challenges, string theory may offer a new viewpoint for understanding dark matter. Unlike general relativity, string theory eliminates the curvature singularity at the center of black holes and the initial singularity in standard cosmology [39,40]. In such a framework, it has been demonstrated that averaging over non-commutative coordinates for suitable coherent states enables the construction of singularity-free black holes [40]. Furthermore, it has been argued that the effects of non-commutativity are equivalent to a non-local deformation of the Einstein-Hilbert action [41]. In this theory, the concept of T-duality provides an exceptional approach to addressing non-singular black holes, where the momentum-space propagator plays the main role [39-43].
Although the energy scales of T-duality in string theory and general relativity differ, the two theories converge under non-relativistic conditions. In this context, non-relativistic T-duality in string theory addresses a type of duality specifically applicable in low-energy, or infrared (IR), limits within non-relativistic Newton-Cartan-like framework [44]. Traditional T-duality, well-known in the relativistic string theory, establishes a connection between compactified string theories through the interchange of large and small compactification radii. This duality has intriguing counterparts in non-relativistic settings. Recent developments indicate that T-duality retains its significance even in non-relativistic string backgrounds, applying within frameworks inspired by the IR limits of gravitational theories [45,46]. In non-relativistic string theory, a modified world sheet symmetry underlies the T-duality transformations, leading to new target-space geometries associated with non-relativistic spacetime symmetries, such as the Newton-Cartan structure. Within this framework, the IR regime corresponds to long-wavelength limits where string dynamics no longer reflect relativistic effects. These conditions correspond to reduced velocities and a distinct treatment of time and space coordinates, similar to the behavior of non-relativistic field theories [47]. These findings demonstrate the utility of T-duality string theory in semi-classical regimes. Hence, the momentum-space propagator within this theory provides a suitable tool to illustrate the current era of cosmic acceleration, where the associated non-singular gravitational potential serves as a suitable candidate for the source of dark energy [48].
In this context, it is valuable to examine whether such a potential could manifest as dark matter in local systems. Consequently, in this study we investigate the momentum-space propagator of T-duality string theory in a galactic setting.
The paper is organized as follows: in section 2, we introduce T-duality density and derive the metric functions and the corresponding pressure components in various directions of a static, spherically symmetric spacetime. Section 3 explores the radial velocity of test particles, demonstrating that the proposed matter field can be interpreted as dark matter. Sections 4 and 5 analyze the effects of this dark matter on the light-deflection angle and radar echo delay, respectively. Concluding remarks are provided in section 6.

2. The model

Our study centers on addressing non-singular black holes derived from the concept of T-duality in string theory. It is argued that the momentum-space propagator induced by the path integral duality for a particle with mass ${m}_{0}$​, takes the following form [49]
$\begin{eqnarray}{\mathscr{G}}\left({\mathscr{p}}\right)=-\frac{{l}_{0}}{\sqrt{{{\mathscr{p}}}^{2}+{{\mathscr{m}}}_{0}^{2}}}{K}_{1}\left({l}_{0}\sqrt{{{\mathscr{p}}}^{2}+{{\mathscr{m}}}_{0}^{2}}\right),\end{eqnarray}$
where ${{\mathscr{p}}}^{2}$ denotes the squared momentum, ${l}_{0}$ is the zero-point length of spacetime which is in order of Planck length; ${l}_{0}{\approx }0.738\,{l}_{p}$ [42], and ${K}_{1}(x)$ represents the modified Bessel function of the second kind. The above propagator for the massless particle recasts to
$\begin{eqnarray}{\mathscr{G}}\left({\mathscr{p}}\right)=-\frac{{l}_{0}}{\sqrt{{{\mathscr{p}}}^{2}}}{K}_{1}\left({l}_{0}\sqrt{{{\mathscr{p}}}^{2}}\right),\end{eqnarray}$
which for small momenta, i.e. ${l}_{0}{\mathscr{p}}\to 0$, we find the conventional massless propagator ${\mathscr{G}}\left({\mathscr{p}}\right)=-{{\mathscr{p}}}^{-2}$. The static Newtonian potential corresponding to the above propagator at a distance $r$ is given by [32]
$\begin{eqnarray}V\left(r\right)=-\frac{m}{{\left({r}^{2}+{l}_{0}^{2}\right)}^{1/2}},\end{eqnarray}$
where $m$ is the mass of the source of the potential. As shown, this potential unlike ordinary Newtonian potential presents a singularity-free model. It is worthwhile to use equation (3) as the surrounding matter field potential for describing dark matter in static, spherically symmetric spacetime.
The above potential can be used to derive the matter distribution for conventional point-like sources. By employing the Poisson equation with modified matter sources, the corresponding energy density of the potential (3) is obtained as [42]
$\begin{eqnarray}{\rho }_{s}\left(r\right)=\frac{2}{\kappa }\unicode{x02206}V\left(r\right)=\frac{6m{l}_{0}^{2}}{\kappa {\left({r}^{2}+{l}_{0}^{2}\right)}^{5/2}}.\end{eqnarray}$
In this study, we consider this density as the source of the surrounding matter field in the black hole system, modeled within a static, spherically symmetric spacetime
$\begin{eqnarray}{\rm{d}}{s}^{2}={{\rm{e}}}^{a\left(r\right)}{\rm{d}}{t}^{2}-{{\rm{e}}}^{b\left(r\right)}{\rm{d}}{r}^{2}-{r}^{2}{\rm{d}}{{\rm{\Omega }}}^{2},\end{eqnarray}$
where ${\rm{d}}{{\rm{\Omega }}}^{2}={\rm{d}}{\theta }^{2}+{\sin }^{2}\theta {\rm{d}}{\phi }^{2}$ is the surface of the sphere in three-dimensional geometry. For metric (5), the non-vanished components of Einstein's tensor ${G}_{\mu }^{\nu }$ are given as follows
$\begin{eqnarray}{G}_{0}^{0}=\frac{{b}^{{\prime} }{{\rm{e}}}^{-b}}{r}-\frac{{{\rm{e}}}^{-b}-1}{{r}^{2}},\end{eqnarray}$
$\begin{eqnarray}{G}_{1}^{1}=-\frac{{a}^{{\prime} }{{\rm{e}}}^{-b}}{r}-\frac{{{\rm{e}}}^{-b}-1}{{r}^{2}},\end{eqnarray}$
$\begin{eqnarray}\begin{array}{ccc}{G}_{2}^{2} & =& {G}_{3}^{3}=-\frac{{{\rm{e}}}^{-b}}{4r}\left(2r{a}^{{\prime\prime} }\right.\\ & & \left.+\left({a}^{{\prime} }-{b}^{{\prime} }\right)\left(2+r{a}^{{\prime} }\right)\right),\end{array}\end{eqnarray}$
in which index $0$ presents a time component while the other indexes $1$, $2$ and $3$ denote the corresponding tensor along the radial, polar, and azimuthal directions, respectively.
In order to use Einstein's field equations
$\begin{eqnarray}{G}_{i}^{j}=\kappa {T}_{i}^{j},\end{eqnarray}$
it is necessary to define and/or propose matter distribution. In this context, we assume that the stress-energy tensor ${T}_{i}^{j}$ for metric (5) takes the form
$\begin{eqnarray}{T}_{i}^{j}={\rm{diag}}\left(\rho ,{\,p}_{r},{\,p}_{t},{\,p}_{t}\right),\end{eqnarray}$
where ${p}_{r}$ and ${p}_{t}$ represent the radial and tangential pressures, respectively. For the stress-energy tensor mentioned above, we assume the density is defined by equation (4),
$\begin{eqnarray}{T}_{0}^{0}={\rho }_{s}.\end{eqnarray}$
As a result, a static, spherically symmetric system is surrounded by a matter field characterized by the T-duality density (4), and the corresponding pressures in different directions must be determined.
Substituting stress-energy tensor (10) and using equations (6)-(8) into field equation (9), we arrive at
$\begin{eqnarray}\frac{{b}^{{\prime} }{{\rm{e}}}^{-b}}{r}-\frac{{{\rm{e}}}^{-b}-1}{{r}^{2}}=\frac{6m{l}_{0}^{2}}{{\left({r}^{2}+{l}_{0}^{2}\right)}^{5/2}},\end{eqnarray}$
$\begin{eqnarray}\frac{{a}^{{\prime} }{{\rm{e}}}^{-b}}{r}+\frac{{{\rm{e}}}^{-b}-1}{{r}^{2}}=-\kappa {p}_{r},\end{eqnarray}$
$\begin{eqnarray*}\frac{{{\rm{e}}}^{-b}}{4r}\left(2r{a}^{{\prime\prime} }+\left({a}^{{\prime} }-{b}^{{\prime} }\right)\left(2+r{a}^{{\prime} }\right)\right)\end{eqnarray*}$
$\begin{eqnarray}=-\kappa {p}_{t},\end{eqnarray}$
when density (4) is used.
Solving equation (12) obtains the metric function $b$ as
$\begin{eqnarray}b=-\mathrm{ln}\left(1+\frac{{c}_{0}}{r}-\frac{2m{r}^{2}}{{\left({r}^{2}+{l}_{0}^{2}\right)}^{3/2}}\right),\end{eqnarray}$
where ${c}_{0}$ is the integration constant of the model.
To find the exact forms of the metric function $a$, the radial pressure ${p}_{r}$​, and the tangential pressure ${p}_{t}$​, it is essential to incorporate an additional symmetry. As a plausible methods, one may try to find a logical connection between time and radial metric functions. The Einstein field equation (9) indicates that the geometry of spacetime is influenced by matter distributions. These effects may manifest as the parameter ${c}_{0}$​ or deviations between the time and radial metric functions. Hence, the metric functions $a$ and $b$ should exhibit deviations from the standard solution [42]
$\begin{eqnarray}a=-b=\mathrm{ln}\left(1-\frac{2m{r}^{2}}{{\left({r}^{2}+{l}_{0}^{2}\right)}^{3/2}}\right).\end{eqnarray}$
One part of these deviations can be represented by ${c}_{0}$ in equation (15). However, to maintain a non-singular model, this free parameter may initially be set to ${c}_{0}=0$, and thus it is necessary to have another alternative deviation between the metric functions $a$ and $b$. In this context, if the combination ${a}^{{\prime} }+{b}^{{\prime} }$ forms a well-behaved differential expression, it is possible to consider a solution of the form
$\begin{eqnarray}{{\rm{e}}}^{a+b}=\zeta \left(r\right).\end{eqnarray}$
To have a solution in the vicinity of general relativity, the function $\zeta (r)$ must be slightly different from $1$. Therefore, we may assume
$\begin{eqnarray}\zeta \left(r\right)={\left(r/{\mathscr{r}}\right)}^{\varphi },\end{eqnarray}$
where $\varphi $ and ${\mathscr{r}}$ are the dimensionless parameter and length scale of the model, respectively. To fulfill the solutions in the general relativity, $\varphi $ must be smaller than $1$, i.e. $\varphi \ll 1$, which leads us to
$\begin{eqnarray}\zeta \left(r\right){\approx }1+\varphi \mathrm{ln}\left(\frac{r}{{\mathscr{r}}}\right).\end{eqnarray}$
The approximate relation (19) implies that for $\varphi =0$, the solutions in ordinary general relativity are preserved. As a result, solution (18) can represent the effects of matter distribution around massive celestial objects, such as black holes when $\varphi \ne 0$.
Plugging equation (18) into equation (17) obtains
$\begin{eqnarray}{{\rm{e}}}^{a}={\left(r/{\mathscr{r}}\right)}^{\varphi }{{\rm{e}}}^{-b}.\end{eqnarray}$
which yields the metric function $a$
$\begin{eqnarray}a=\mathrm{ln}\left[{\left(\frac{r}{{\mathscr{r}}}\right)}^{\varphi }\left(1+\frac{{c}_{0}}{r}-\frac{2m{r}^{2}}{{\left({r}^{2}+{l}_{0}^{2}\right)}^{3/2}}\right)\right],\end{eqnarray}$
where equation (15) is used. In addition, with the aid of relation (20) one can express both pressures ${p}_{r}$ and ${p}_{t}$ as the explicit function of one of the metric functions $a$ or $b$, namely
$\begin{eqnarray}{p}_{r}=\frac{1}{\kappa {r}^{2}}-\frac{{{\rm{e}}}^{-b}}{\kappa {r}^{2}}\left(1+\varphi -r{b}^{{\prime} }\right),\end{eqnarray}$
$\begin{eqnarray*}{p}_{t}=\frac{{{\rm{e}}}^{-b}}{2\kappa }\left({b}^{{\prime\prime} }-{{b}^{{\prime} }}^{2}\right),\end{eqnarray*}$
$\begin{eqnarray}+\left(1+\frac{3}{4}\varphi \right)\frac{{{\rm{e}}}^{-b}{b}^{{\rm{{\prime} }}}}{\kappa r}-\frac{{\varphi }^{2}{{\rm{e}}}^{-b}}{4\kappa {r}^{2}}.\end{eqnarray}$
Compared to an isolated black hole (a static, spherically symmetric system without surrounding matter), both metric functions have a singularity at $r=0$ when ${c}_{0}\ne 0$. At this step of our study, ${c}_{0}$​ can be set to zero to avoid the singularity issue, which is one of the characteristic features of black hole structures in string theory [50]. However, maintaining ${c}_{0}$​ during the investigation is beneficial to check whether it leaves a significant effect on the current study. Additionally, using equation (15) and the T-duality density, equation (4), we can derive the corresponding radial and tangential pressures. In fact, the density in equation (4), describing a spherically symmetric and static medium, induces the pressures defined in equations (22) and (23) in spacetime. Therefore, in our model, the radial and tangential pressures in equations (22) and (23) are referred to as the T-duality radial and tangential pressures, respectively. Moreover, unlike the density in equation (4), both pressure parameters depend on the value of $\varphi $ and vanish as $\varphi \to 0$.
Before investigating the T-duality matter scalar field as a potential source of dark matter, it is important to first examine its properties. One of these key characteristics involves defining an effective equation of state for dark matter. In this context, the equation of state can be explored through studies of cosmic evolution [51], where dark matter is typically treated as a pressureless component. However, unlike large-scale structures, in local systems such as galaxies, dark matter is expected to have both density and pressure. In this scenario, the total pressure can be defined as follows [52]
$\begin{eqnarray}{\mathscr{P}}{\mathscr{=}}\frac{1}{3}\left({p}_{r}+2{p}_{t}\right),\end{eqnarray}$
when the effective state equation becomes [52,53]
$\begin{eqnarray}\omega ={\mathscr{P}}/\rho .\end{eqnarray}$
This dimensionless parameter is introduced for anisotropic fluid models, where the radial and tangential pressures generally differ. However, for isotropic fluids, such equation of state simplifies to the standard form typically studied in isotropic and homogeneous geometries [53].
To describe anisotropic fluids as dark matter, numerous models have been proposed. For instance, it is possible to use the polytropic relationship for radial pressure, ${p}_{r}{\sim }{\rho }^{\gamma }$, when ${p}_{r}\ne {p}_{t}$​ [54], or using the Vaidya-Tikekar metric [55]. However, in our model, without relying on such assumptions, and just by using the TOV equation, the anisotropic pressure components are directly derived (see equations (22) and (23)).
In order to investigate the variation in the state equation and other related parameters, we use data from four galaxies as provided in [53], which is summarized in table 1.
Table 1. The data of four arbitrary galaxies [56].
Galaxy ${r}_{D}$(kpc) $M\left({10}^{10}{M}_{\unicode{10752}}\right)$
NGC 5533 72.0 22.0
NGC 3992 30.0 16.22
NGC 5907 32.0 10.8
NGC 2998 48.0 11.3
Since ${c}_{0}$​ appears due to the effects of T-duality density (4) as the surrounding matter field source, we assume it to be proportional to the matter source density, i.e., ${c}_{0}=\sigma m$, where $\sigma $ is the proportionality constant. Analyzing the state equation suggests that for a matter field representing a baryonic or dust source, $\sigma $ should be negative ($\sigma \lt 0$). Consequently, we assume ${c}_{0}=-10m$, as illustrated in figure 1.3
Figure 1. The evolution of the effective state equation (25) for two scenarios ${c}_{0}=-10m$ (left panel) and ${c}_{0}=0$ (right panel). Solid curves in both panels relate to $m=22$, while we have shown $m=16.22$, $11.3$ and $10.8$ through dashed, dot-dashed and dot curves, respectively.
Analyzing figure 1 reveals that dark matter has pressure within the halo of the galaxy system. To explore the effects of perturbations on the classical stability of the model, the squared speed of sound, ${\upsilon }_{S}^{2}$​, must be positive in the halo. For an isotropic fluid, the squared speed of sound is given as [19]:
$\begin{eqnarray}{\upsilon }_{S}^{2}=\frac{{\rm{d}}p}{{\rm{d}}\rho },\end{eqnarray}$
which reforms to
$\begin{eqnarray}{\upsilon }_{S}^{2}=\frac{{\rm{d}}{\mathscr{P}}}{{\rm{d}}\rho },\end{eqnarray}$
for anisotropic fields. Obviously, equation (27) coincides with equation (26) for the isotropic model, where ${p}_{r}={p}_{t}$​. As shown, the squared speed of sound from equation (27) for dark matter remains positive beyond the event horizon of the central black hole, indicating that dark matter is classically stable (see figure 2).
Figure 2. The squared speed of sound for dark matter versus radial component $r$. Here solid, dashed, dot-dashed and dot curves are corresponding ${\upsilon }_{S}^{2}$ for galaxies NGC 5533, NGC 3992, NGC 2998 and NGC 5907, respectively. The left panel is for ${c}_{0}=-10m$ and the right panel illustrates the ${\upsilon }_{S}^{2}$ for ${c}_{0}=0$.
In addition, with the effective pressure given in equation (24), the different energy conditions null energy condition (NEC), weak energy condition (WEC), and strong energy condition (SEC) can be summarized as follows:
NEC: $\rho {\mathscr{+}}{\mathscr{P}}\geqslant 0$
WEC: $\rho \gt 0$ and $\rho +{\mathscr{P}}\geqslant 0$
SEC: $\rho +{\mathscr{P}}\gt 0$ and $\rho +3{\mathscr{P}}\geqslant 0$
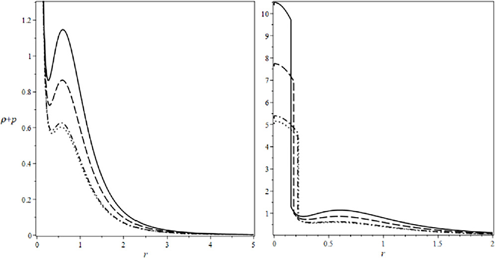
The density given in equation (4) and the above energy conditions are illustrated in figures 3-5. As shown, for both cases, ${c}_{0}=-10m$ and ${c}_{0}=0$, all the energy conditions are preserved at regions far from the event horizon, where the halo emerges.
Figure 3. The T-duality density as the source of surrounding matter field in our model for different values of $m=22$ (solid curve), $m=16.22$ (dashed curve), $m=11.3$ (dot-dashed curve) and $m=10.8$ (dot curve).
Figure 4. The variation of the $\rho +{\mathscr{P}}$ versus the radial component $r$ for both cases ${c}_{0}=-10m$ (left panel) and ${c}_{0}=0$ when different values of $m=22$ (solid curve), $m=16.22$ (dashed curve), $m=11.3$ (dot-dashed curve) and $m=10.8$ (dot curve).
Figure 5. The evolution of $\rho +3{\mathscr{P}}$ as the function of $r$ for ${c}_{0}=-10m$ (left panel) and ${c}_{0}=0$ (right panel) for different values of $m=22$ (solid curve), $m=16.22$ (dashed curve), $m=11.3$ (dot-dashed curve) and $m=10.8$ (dot curve).
Figure 6. The light-deflection angle variation versus ${r}_{0}/{r}_{D}$ for four different galaxies given in table 1. Here solid, dashed, dot-dashed and dot curves are related to galaxy NGC 5533, galaxy NGC 3992, NGC 2998 and galaxy NGC 5907, respectively.
As shown, ${c}_{0}$ has no tangible effects on the evolution of the state equations or the various energy conditions for $r\gg 0$. However, as shown in Figures 3 and 4, for ${c}_{0}\ne 0$, all parameters except the density, exhibit a singularity at​​​ $r=0$.
Figure 7. The radar echo delay as a function of ${r}_{0}/{r}_{D}$ for four galaxies data is given in table 1. We set ${\mathscr{r}}{\mathscr{=}}\varphi ={10}^{-6}$ and $r=10{r}_{D}$ when solid, dashed, dot-dashed and dot curves related to galaxy NGC 5533, galaxy NGC 3992, NGC 2998 and galaxy NGC 5907, respectively.

3. Galactic rotation curves

The data collected from various galaxies shows that rotational velocity increases almost linearly within the bulge region and approaches to the constant value of about $200-500$ km s-1 at far away regions from the central black hole [57]. This phenomenon is attributed to the influence of dark matter in the galaxy's halo. Hence, if our model incorporates dark matter, the tangential velocity within the halo should generally remain constant. To explore this issue, we investigate the motion of a test particle traveling along a time-like geodesic in a static, spherically symmetric system. For simplicity and without loss of generality, we study on motion in the equatorial plane, $\theta =\pi /2$​. The corresponding geodesic equation for radial coordinate $r$ is then expressed as follows:
$\begin{eqnarray*}\frac{{{\rm{d}}}^{2}r}{{{\rm{d}}\tau }^{2}}+\frac{{a}^{{\prime} }{{\rm{e}}}^{a\left(r\right)}}{2{{\rm{e}}}^{b\left(r\right)}}{\left(\frac{{\rm{d}}t}{{\rm{d}}\tau }\right)}^{2}\end{eqnarray*}$
$\begin{eqnarray}+\,\frac{{b}^{{\prime} }}{2}{\left(\frac{{\rm{d}}r}{{\rm{d}}\tau }\right)}^{2}-\frac{r}{{{\rm{e}}}^{b\left(r\right)}}{\left(\frac{{\rm{d}}\phi }{{\rm{d}}\tau }\right)}^{2}=0,\end{eqnarray}$
Here, $\tau $ represents the affine parameter along the geodesic. Under such condition, where a test particle moves along its geodesic within the gravitational field, the momenta ${P}_{t}$ and ${P}_{\phi }$​ are conserved [55].
$\begin{eqnarray*}E={{\rm{e}}}^{a\left(r\right)}\left(\frac{{\rm{d}}t}{{\rm{d}}\tau }\right)={\rm{const}},\end{eqnarray*}$
$\begin{eqnarray}J={r}^{2}\left(\frac{{\rm{d}}\phi }{{\rm{d}}\tau }\right)={\rm{const}}.\end{eqnarray}$
Here, $E$ and $J$ are the energy and the $\phi $-coordinate of the angular momentum of the test particle, respectively.
To study the motion associated with the stable circular orbits, i.e. ${\rm{d}}r/{\rm{d}}\tau =0$, the geodesic (28) can be rewritten as
$\begin{eqnarray}\frac{{a}^{{\prime} }{E}^{2}}{2{{\rm{e}}}^{a(r)}}=\frac{{J}^{2}}{{r}^{3}},\end{eqnarray}$
For an inertial observer far from the gravitational source, weak-field approximation, the circular orbital speed is given by [58]
$\begin{eqnarray}\upsilon =r{{\rm{e}}}^{-a\left(r\right)/2}\left(\frac{{\rm{d}}\phi }{{\rm{d}}t}\right).\end{eqnarray}$
Using relations (29) leads us to rewrite circular orbital speed $\upsilon $ in terms of the conserved quantities, namely
$\begin{eqnarray}\upsilon =\frac{{{\rm{e}}}^{a(r)/2}}{r}\left(\frac{J}{E}\right).\end{eqnarray}$
Then, inserting equation (30) obtains
$\begin{eqnarray}{\upsilon }^{2}=\frac{r{a}^{{\prime} }}{2}.\end{eqnarray}$
In this regard, and from equations (21) and (33), in the galactic halo, we find
$\begin{eqnarray*}{\upsilon }^{2}=\end{eqnarray*}$
$\begin{eqnarray}\frac{-{\left({r}^{2}+{l}_{0}^{2}\right)}^{5/2}\left(r\varphi -{c}_{0}\left(1-\varphi \right)\right)+2m{r}^{3}\left({l}_{0}^{2}\left(2+\varphi \right)-r\left(1-\varphi \right)\right)}{2\left({r}^{2}+{l}_{0}^{2}\right)\left[2m{r}^{2}-\left(r+{c}_{0}\right){\left({r}^{2}+{l}_{0}^{2}\right)}^{3/2}\right]}.\end{eqnarray}$
Since ${l}_{0}\ll 1$, expanding the above equation obtains,
$\begin{eqnarray*}{\upsilon }^{2}{\approx }\frac{\varphi }{2}+\frac{{c}_{0}-2m}{2\left(r+{c}_{0}-2m\right)}\end{eqnarray*}$
$\begin{eqnarray}-\,\frac{3m{l}_{0}^{2}\left(3r+2{c}_{0}-4m\right)}{2{r}^{2}{\left(r+{c}_{0}-2m\right)}^{2}}{\mathscr{+}}{\mathscr{O}}\left({l}_{0}^{4}\right),\end{eqnarray}$
that far away from the central black hole is constant,
$\begin{eqnarray}{\upsilon }^{2}{\approx }\frac{\varphi }{2},\end{eqnarray}$
approximately. This demonstrates that density (4) can represent a dark matter halo for $r\gg 0$.
The range of the tangential velocity $\upsilon $ in a typical spiral galaxy is ${\upsilon }^{2}{\approx }{\mathscr{O}}\left({10}^{-6}\right)$, which suggests that $\varphi $ is approximately proportional to the square of the tangential velocity, i.e., $\varphi {\approx }{\upsilon }^{2}$.4
Consequently, for $\varphi \ll 1$ and ${l}_{0}\ll 1$, we have
$\begin{eqnarray}\rho {\approx }\frac{6m{l}_{0}^{2}}{\kappa {r}^{5}}{\mathscr{+}}{\mathscr{O}}\left({\varphi }^{2}{l}_{0}^{4}\right),\end{eqnarray}$
$\begin{eqnarray}{p}_{r}{\approx }\frac{6m\varphi {l}_{0}^{2}}{\kappa {r}^{5}}{\mathscr{+}}{\mathscr{O}}\left({\varphi }^{2}{l}_{0}^{4}\right),\end{eqnarray}$
$\begin{eqnarray}\begin{array}{ccc}{p}_{t} & {\approx } & -\frac{9m{l}_{0}^{2}}{\kappa {r}^{5}}-\frac{3\varphi }{2\kappa {r}^{5}}\left(\left(m-\frac{{c}_{0}}{2}\right){r}^{2}\right.\left.-\frac{9m{l}_{0}^{2}}{2}\right){\mathscr{-}}{\mathscr{O}}\left({\varphi }^{2}{l}_{0}^{4}\right).\end{array}\end{eqnarray}$
This indicates that the dark matter field becomes so clear for $r\gg 0$ and within the halo region. Additionally, only the tangential pressure ${p}_{t}$ is negative, which can be associated with the system's circular motion.
In the next two sections, we will examine the effects of this dark matter field on the light-deflection angle and radar echo delay as two detection tools of dark matter.

4. Light-deflection angle

Dark matter interacts only through gravity. With this fact at hand, and using the theory of general relativity, the path of light passing through a dark matter zone will deviate from a straight line. This deflection can be determined by [58].
$\begin{eqnarray}{\rm{\Delta }}\phi =2\left|\phi \left({r}_{0}\right)-\phi \left({\rm{\infty }}\right)\right|-\pi ,\end{eqnarray}$
where ${r}_{0}$ is the radius of the closest approach to the central black hole of the galaxy. With the help of the geodesic equation (28) and the conserved parameters from equation (29), we obtain [58]
$\begin{eqnarray}\frac{{{\rm{d}}}^{2}r}{{\rm{d}}{\tau }^{2}}+\frac{{b}^{{\prime} }}{2}{\left(\frac{{\rm{d}}r}{{\rm{d}}\tau }\right)}^{2}-\frac{{J}^{2}}{{r}^{3}{{\rm{e}}}^{b}}+\frac{{a}^{{\prime} }}{2{{\rm{e}}}^{a+b}}=0.\end{eqnarray}$
Multiplying this equation with $2{{\rm{e}}}^{b}\left({\rm{d}}r/{\rm{d}}\tau \right)$ , leads us to
$\begin{eqnarray}\frac{{{\rm{e}}}^{b}}{{r}^{4}}{\left(\frac{{\rm{d}}r}{{\rm{d}}\phi }\right)}^{2}+\frac{1}{{r}^{2}}-\frac{1}{{j}^{2}{{\rm{e}}}^{a}}=-\frac{E}{{j}^{2}}.\end{eqnarray}$
Then by some manipulations, one finds [55]
$\begin{eqnarray*}\phi \left({r}_{0}\right)-\phi \left({\rm{\infty }}\right)\end{eqnarray*}$
$\begin{eqnarray}=\,{\int }_{{r}_{0}}^{{\rm{\infty }}}{{\rm{e}}}^{\frac{b\left(r\right)}{2}}{\left[{{\rm{e}}}^{a\left({r}_{0}\right)-a\left(r\right)}{\left(\frac{r}{{r}_{0}}\right)}^{2}-1\right]}^{-\frac{1}{2}}\frac{{\rm{d}}r}{r}.\end{eqnarray}$
Different independent observations confirm that the dark matter halo originates far from the central massive black hole of a galaxy (see [6], for instance). As a result, to simplify the model, it is reasonable to consider the metric functions (15) and (21) in the limit $r\gg 0$,
$\begin{eqnarray}{{\rm{e}}}^{\frac{b\left(r\right)}{2}}{\approx }1+{\mathscr{O}}\left({r}^{-1}\right),\end{eqnarray}$
$\begin{eqnarray}{{\rm{e}}}^{a}{\approx }{\left(\frac{r}{{\mathscr{r}}}\right)}^{\varphi }\left(1+{\mathscr{O}}\left({r}^{-1}\right)\right).\end{eqnarray}$
Using these approximated metric functions for large values of $r$, we can rewrite equation (43) as:
$\begin{eqnarray*}\phi \left({r}_{0}\right)-\phi \left({\rm{\infty }}\right)\end{eqnarray*}$
$\begin{eqnarray*}\cong {\int }_{{r}_{0}}^{{r}_{D}}{\left[{\left(\frac{r}{{r}_{0}}\right)}^{2-\varphi }-1\right]}^{-\frac{1}{2}}\frac{{\rm{d}}r}{r}\end{eqnarray*}$
$\begin{eqnarray}+{\int }_{{r}_{D}}^{{\rm{\infty }}}\sqrt{\frac{r}{r-2{Gm}}}{\left[\frac{{r}_{0}-2{Gm}}{r-2{Gm}}{\left(\frac{r}{{r}_{0}}\right)}^{3}-1\right]}^{-\frac{1}{2}}\frac{{\rm{d}}r}{r},\end{eqnarray}$
where ${r}_{0}$ is the distance in the region of the flat rotation curves, which corresponds to the dark matter-dominated area. The second term corresponds to the outer region of the dark matter halo, wherein the model represents the standard Schwarzschild solution.
$\begin{eqnarray}\begin{array}{ccl}{\rm{\Delta }}\phi & =& 2\left|\frac{2}{2-\varphi }\right.\arctan \left(\sqrt{{\left(\frac{{r}_{0}}{{r}_{D}}\right)}^{\varphi -2}-1}\right)\\ & & +\arcsin \left(\frac{{r}_{0}}{{r}_{D}}\right)+\frac{{Gm}}{{r}_{0}}\\ & & \left.\left[2-\sqrt{1-{\left(\frac{{r}_{0}}{{r}_{D}}\right)}^{2}}-\sqrt{\frac{{r}_{D}-{r}_{0}}{{r}_{D}+{r}_{0}}}\right]\right|-\pi .\end{array}\end{eqnarray}$
The deflection angle can be examined for ${r}_{0}{\approx }{r}_{D}$​ within the relevant region [58]. Under this condition, equation (46) simplifies to ${\rm{\Delta }}\phi =4{Gm}/{r}_{D}$​, as predicted by general relativity, which is consistent with observations in this range. However, for ${r}_{0}\ne {r}_{D}$​, using $\varphi ={10}^{-6}$ indicates that the light-deflection angle increases within the halo (please see Figure 6). This suggests that the galaxy is surrounded by unobservable fields (dark matter), which play a critical role in shaping the outer region of the galaxy structure.
The deflection angle in our model is comparable to that in the brane-$f(R)$ gravity model [59], indicating a decrease in the deflection angle within the dark matter halo as the radius increases.

5. Radar echo delay

Time dilation as one of the consequences of relativity theory occurs when light passes near massive celestial objects. This phenomenon can be observed by measuring the delay in radar echoes [60]. For photons traveling from $r={r}_{1}$ to $r={r}_{2}$​, the elapsed time is given by the following expression (with $\theta =\pi /2$) [58]
$\begin{eqnarray}\begin{array}{ccc}t\left({r}_{1},{r}_{2}\right) & =& \underset{{r}_{1}}{\overset{{r}_{2}}{\int }}\sqrt{\frac{{{\rm{e}}}^{b\left(r\right)}}{{{\rm{e}}}^{a\left(r\right)}}\left(1-\right.}{\left.\frac{{{\rm{e}}}^{a\left(r\right)}}{{{\rm{e}}}^{a\left({r}_{1}\right)}}{\left(\frac{{r}_{1}}{r}\right)}^{2}\right)}^{{-}1/2\,}\,{\rm{d}}r.\end{array}\end{eqnarray}$
Setting ${r}_{1}={r}_{0}$ and considering ${r}_{2}$ as a far distance from the region of the galaxy structure leads us to
$\begin{eqnarray}\begin{array}{cll}t\left({r}_{0},r\right) & =& \underset{{r}_{0}}{\overset{{r}_{D}}{\int }}\sqrt{\frac{{{\rm{e}}}^{b\left(r\right)}}{{{\rm{e}}}^{a\left(r\right)}}\left(1-\right.}{\left.\frac{{e}^{a\left(r\right)}}{{e}^{a\left({r}_{1}\right)}}{\left(\frac{{r}_{0}}{r}\right)}^{2}\right)}^{{-}1/2}{\rm{d}}r\\ & & +{\int }_{{r}_{D}}^{r}\frac{r}{r-2{Gm}}{\left(1-\frac{r-2{Gm}}{{r}_{D}-2{Gm}}{\left(\frac{{r}_{D}}{r}\right)}^{3}\right)}^{-1/2}{\rm{d}}r.\end{array}\end{eqnarray}$
For our model, it recasts to
$\begin{eqnarray*}t\left({r}_{0},r\right)\cong {\int }_{{r}_{0}}^{{r}_{D}}{\left(\frac{{\mathscr{r}}}{r}\right)}^{\frac{\varphi }{2}}{\left(1-{\left(\frac{{r}_{0}}{r}\right)}^{2-\varphi }\right)}^{-\frac{1}{2}}{\rm{d}}r\end{eqnarray*}$
$\begin{eqnarray}+{\int }_{{r}_{D}}^{r}\frac{r}{r-2{Gm}}{\left(1-\frac{r-2{Gm}}{{r}_{D}-2{Gm}}{\left(\frac{{r}_{D}}{r}\right)}^{3}\right)}^{-\frac{1}{2}}{\rm{d}}r,\end{eqnarray}$
approximately. Then, by using the Robertson expansion, we obtain
$\begin{eqnarray*}t\left({r}_{0},r\right)=\frac{2{r}_{D}}{2-\varphi }{\left(\frac{{\mathscr{r}}}{{r}_{D}}\right)}^{\frac{\varphi }{2}}{\left[1-{\left(\frac{{r}_{0}}{{r}_{D}}\right)}^{2-\varphi }\right]}^{\frac{1}{2}}\end{eqnarray*}$
$\begin{eqnarray*}+\sqrt{{r}^{2}-{r}_{D}^{2}}+2{Gm}\mathrm{ln}\left(\frac{r+\sqrt{{r}^{2}-{r}_{D}^{2}}}{{r}_{D}}\right)\end{eqnarray*}$
$\begin{eqnarray}+{Gm}\sqrt{\frac{r-{r}_{D}}{r+{r}_{D}}}.\end{eqnarray}$
The above equation shows that, unlike the light-deflection angle, the radar echo delay depends on the length scale ${\mathscr{r}}$. Furthermore, the model converges to its standard form in general relativity as $\varphi \to 0$ (please see Figure 7).

6. Remarks

String theory, as a pioneering framework of theoretical mechanics by using fundamental parameters and introducing extra dimensions obtains robust results. The solving singularity problem at the black hole is one of these results that is achieved by incorporating the Planck length scale parameter ${l}_{0}{\approx }0.738\,{l}_{p}$.
In this work, we employ the density associated with string T-duality to investigate the surrounding matter field in a static, spherically symmetric spacetime. Due to this density, we expect to have some deviations between the radial and time components of the metric functions. With this assumption, we assume that the model remains at the vicinity of general relativity solutions. By establishing a suitable relationship between the time and radial components of the metric, we derive the corresponding radial and tangential pressures arising from the T-duality density. Our results demonstrate that this scalar field behaves like a matter component far from the central black hole, particularly in the galaxy halo, while preserving all energy conditions. An analysis of radial velocity reveals that this scalar field can model dark matter as a T-duality string fluid, where rotational velocity remains constant for $r\gg 0$. In addition, studying the deflection angle and echo delay for photon motion shows that such matter field is accumulated in the halo of galaxies. Consequently, the model can be regarded as a well-behaved candidate for dark matter in local systems.

Acknowledgments

The author expresses their gratitude to A H Fazlollahi for his valuable cooperation and insightful comments. Appreciation is also extend to the referees for their time and thoughtful feedback.
1
Riess A G 1998 Observational evidence from supernovae for an accelerating universe and a cosmological constant Astron. J. 116 1009

DOI

2
Perlmutter S 1999 Measurements of ${\rm{\Omega }}$ and ${\rm{\Lambda }}$ from 42 high-redshift supernovae Astrophys. J. 517 565

DOI

3
de Bernardis P 2000 A flat Universe from high-resolution maps of the cosmic microwave background radiation Nature 404 955

DOI

4
Hoeneisen B 2019 A study of dark matter with spiral galaxy rotation curves Int. J. Astro. Astrophys. 9 2

DOI

5
Ludwig G O 2021 Galactic rotation curve and dark matter according to gravitomagnetism Eur. Phys. J. C 81 186

DOI

6
Massey R 2010 The dark matter of gravitational lensing Rep. Prog. Phys. 73 086901

DOI

7
Kobayashi T 2019 Horndeski theory and beyond: a review Rept. Prog. Phys. 82 086901 8

DOI

8
Weinberg S 2005 Quantum contributions to cosmological correlations Phys. Rev. D 72 043514

DOI

9
Sotiriou T P, Faraoni V 2010 $f$(R) theories of gravity Rev. Mod. Phys. 82 451 497

DOI

10
Overduin J M, Wesson P S 1997 Kaluza-Klein gravity Phys. Rep. 283 303 380

DOI

11
Bettoni D, Zumalacarregui M 2015 Kinetic mixing in scalar-tensor theories of gravity Phys. Rev. D 91 104009

DOI

12
Harko T 2011 $f$(R,T) gravity Phys. Rev. D 84 024020

DOI

13
Fazlollahi H R 2023 Energy-momentum squared gravity and late-time Universe Eur. Phys. J. Plus 138 211

DOI

14
Rastall P 1972 Generalization of the Einstein theory Phys. Rev. D 6 3357

DOI

15
Fazlollahi H R 2023 Non-conserved modified gravity theory Eur. Phys. J. C 83 923

DOI

16
Girones Z 2010 Cosmological data analysis of f(R) gravity models J. Cosmol. Astropart. Phys. 11 004

DOI

17
Tretyakov P V 2018 Cosmology in modified $f$(R, T)-gravity Eur. Phys. J. C 78 896

DOI

18
Zanoletti C M A 2024 Cosmological constraints on 4-dimensional Einstein-Gauss-Bonnet gravity J. Cosmol. Astropart. Phys. 01 043

DOI

19
Fazlollahi H R 2024 New non-conserved gravity theory and alleviate current acceleration epoch without dark energy field Chin. J. Phys. 92 243 252

DOI

20
Bohmer C G 2008 Dark matter as a geometric effect in gravity Astropart. Phys. 29 6

DOI

21
Zaregonbadi R 2016 Dark matter from $f$(R,T) gravity Phys. Rev. D 94 084052

DOI

22
Granda L N, Oliveros A 2008 Infrared cut-off proposal for the holographic density Phys. Lett. B 669 275 277

DOI

23
Li M 2004 A model of holographic dark energy Phys. Lett. B 603 1

DOI

24
Fazlollahi H R 2023 Holographic dark energy from acceleration of particle horizon Chin. Phys. C 47 035101

DOI

25
Fazlollahi H R 2024 Granda-Oliveros dark energy in non-conserved gravity theory Gen. Relativ. Gravit. 56 51

DOI

26
Neupane I P 2009 A note on agegraphic dark energy Phys. Lett. B 673 111 118

DOI

27
Yong-Wan Kim 2008 new agegraphic dark energy model with generalized uncertainty principle Mod. Phys. Lett. A 23 3049 3055

DOI

28
Fazlollahi H R 2022 Agegraphic dark energy cosmology and quantum loop-correction Phys. Dark Univ. 35 100962

DOI

29
Babu Y S, Santhi M V 2022 Anisotropic new agegraphic dark energy model with sign-changeable interaction in a scalar-tensor theory Eur. Phys. J. Plus 137 753

DOI

30
Bousso R 2002 The holographic principle Rev. Mod. Phys. 74 825 874

DOI

31
Karolyhazy F 1966 Gravitation and quantum mechanics of macroscopic objects Nuovo. Cim. A 42 390

DOI

32
Chadha-Day F 2021 Axion Dark Matter: what is it and why now? arXiv:2105.01406

33
Oshima Y 2023 First results of axion dark matter search with DANCE Phys. Rev. D 108 072005

DOI

34
Dolgov A D, Hansen S H 2002 Massive sterile neutrinos as warm dark matter Astropart. Phys. 16 339 344

DOI

35
Barman B 2023 Probing freeze-in dark matter via heavy neutrino portal Phys. Rev. D 108 035037

DOI

36
Pospelov M 2008 Secluded WIMP dark matter Phys. Lett. B 662 53 56

DOI

37
Roszkowski L 2018 WIMP dark matter candidates and searches-current status and future prospects Rep. Prog. Phys. 81 6 066201

DOI

38
Arcadi G 2018 The waning of the WIMP? a review of models, searches, and constraints Eur. Phys. J. C 78 3 203

DOI

39
Nicolini P, Smailagic A, Spallucci E 2006 Noncommutative geometry inspired Schwarzschild black hole Phys. Lett. B 632 547

DOI

40
Nicolini P 2009 Noncommutative black holes, the final appeal to quantum gravity: a review Int. J. Mod. Phys. A 24 1229

DOI

41
Modesto L, Moffat J W, Nicolini P 2011 Black holes in an ultraviolet complete quantum gravity Phys. Lett. B 695 397

DOI

42
Nicolini P 2019 Quantum corrected black holes from string T-duality Phys. Lett. B 797 134888

DOI

43
Gaete P 2022 Charged black holes from T-duality Phys. Lett. B 835 137546

DOI

44
Bidussi L 2022 Torsional string Newton-Cartan geometry for non-relativistic strings J. High Energy Phys. 2022 116

DOI

45
Bergshoeff E, Romano L 2018 Non-relativistic heterotic string theory J. High Energy Phys. 2018 133

DOI

46
Gomis J, Ooguri H 2001 Non-relativistic closed string theory J. Math. Phys. 42 3127 3151

DOI

47
Blair C D A 2020 Non-relativistic duality and ${\rm{T}}\mathop{{\rm{T}}}\limits^{\unicode{773}}$ deformations J. High Energy Phys. 2020 69

DOI

48
Luciano G G, Sheykhi A 2024 Cosmology from string T-duality and zero-point length Eur. Phys. J. C 84 682

DOI

49
Padmanabhan T 1997 Duality and zero-point length of spacetime Phys. Rev. Lett. 78 1854

DOI

50
Maldacena J M 1996 Black holes in string theory arXiv:hep-th/9607235

51
Kopp M 2018 Dark matter equation of state through cosmic history Phys. Rev. Lett. 120 221102

DOI

52
Faber T, Visser M 2006 Combining rotation curves and gravitational lensing: how to measure the equation of state of dark matter in the galactic halo MNRAS 372 136 142

DOI

53
Serra A L 2011 Measuring the dark matter equation of state Mon. Not. Roy. Astron. Soc. 415 L74 L77

DOI

54
Buras-Stubbs Z, Lopes L 2024 Bosonic dark matter dynamics in hybrid neutron stars Phys. Rev. D 109 043043

DOI

55
Durgapal M C, Bannerji R 1983 New analytical stellar model in general relativity Phys. Rev. D 27 328

DOI

56
Sanders R H, McGaugh S S 2002 Modified newtonian dynamics as an alternative to dark matter Ann. Rev. Astron. Astrophys. 40 263 317

DOI

57
Binny J, Tremaine S 2008 Galactic Dynamics 2nd Ed. Princeton, NJ Princeton University Press 9780691130279

58
Weinberg S 1972 Gravitation Cosmology New York Wiley 9780471925675

59
Sefiedgar A S 2012 Brane-$f$(R) gravity and dark matter Phys. Rev. D 85 064012

DOI

60
Shapiro I 1964 Fourth test of general relativity Phys. Rev. Lett. 13 789

DOI

Outlines

/