Welcome to visit Communications in Theoretical Physics,
Gravitation Theory, Astrophysics and Cosmology

Phase transitions in a holographic s+d model from 4D Einstein-Gauss-Bonnet gravity

  • Ting-Rui Liao 1, 2 ,
  • Xin Zhao 1, 2 ,
  • Hui Zeng , 1, ,
  • Zhang-Yu Nie , 1,
Expand
  • 1Center for Gravitation and Astrophysics, Kunming University of Science and Technology, Kunming 650500, China

2These authors contributed equally to this work and should be considered co-first authors.

Authors to whom any correspondence should be addressed.

Received date: 2024-11-30

  Revised date: 2025-02-05

  Accepted date: 2025-02-18

  Online published: 2025-05-28

Copyright

© 2025 Institute of Theoretical Physics CAS, Chinese Physical Society and IOP Publishing. All rights, including for text and data mining, AI training, and similar technologies, are reserved.
This article is available under the terms of the IOP-Standard License.

Abstract

In this work, the phase structure of a holographic s+d model with quartic potential terms from 4D Einstein-Gauss-Bonnet gravity is studied in the probe limit. We first show the qd-μ phase diagram with a very small value of the Gauss-Bonnet coefficient α=1 × 10-7 and in the absence of the quartic terms to locate the suitable choice of the value of qd, where the system admits coexistent s+d solutions. Then we consider the various values of the Gauss-Bonnet coefficient α and present the α-μ phase diagram to show the influence of the Gauss-Bonnet term on the phase structure. We also give an example of the re-entrant phase transition which is also realized in the holographic s+s and s+p models. After that we confirm the universality of the influence of the quartic term with coefficient λd on the d-wave solutions, which is similar to the case of s-wave and p-wave solutions previously studied in the s+p model. Finally we give the dependence of the special values of the quartic term coefficient λd on the Gauss-Bonnet coefficient α, below which the d-wave condensate grows to an opposite direction at the (quasi-)critical point, which is useful in realizing first order phase transitions in further studies of the holographic d-wave superfluids.

Cite this article

Ting-Rui Liao , Xin Zhao , Hui Zeng , Zhang-Yu Nie . Phase transitions in a holographic s+d model from 4D Einstein-Gauss-Bonnet gravity[J]. Communications in Theoretical Physics, 2025 , 77(9) : 095403 . DOI: 10.1088/1572-9494/adbff3

1. Introduction

In recent years, Anti-de Sitter/conformal field theory (AdS/CFT) duality [1] has attracted a lot of attention. It is regarded as an effective method for studying strongly coupled systems in QCD [2,3] and condensed matter physics. One of the most successful applications of this duality is the holographic realization for superfluid phase transitions [4,5]. The holographic study on superfluid phase transitions is later extended from the s-wave order parameter to p-wave and d-wave orders [6-10] by introducing charged vector and tensor fields in the bulk. Based on these progresses, the competition and coexistence between these various orders were also investigated in the holographic models [11-26].
The interplay between the s-wave and d-wave orders are important in real superconductors such as cuprate and have garnered considerable attention from condensed matter physicists [27-36]. In [27], the authors show that the resonating-valence-bond mechanism can lead to s-wave, d-wave and s+d superconducting order parameters. It is claimed in [28] that the order parameter in the copper oxide superconductors should be coexistent of s-wave and d-wave condensates. In [29], the study of anisotropic s+d orders in both 2D and 3D contexts is explored. In [30], the authors explores the phase transitions between the s+d phase and the single condensate phases in the Van Hove scenario including the effects of orthorhombic distortion. Meanwhile, [31] realizes the phase transitions between the single condensate phase and the s+d phase in a BCS framework. Additionally, the S-D-S wave SQUID and Josephson junctions are investigated in [32]. For a comprehensive review encompassing both theoretical and experimental studies on the pairing symmetry in cuprate superconductors, refer to [33]. For further advancements in this field, consult [34-36].
In recent years, holographic models with both s-wave and d-wave orders are also studied to explore possible universality [15,16], where coexistence between the two orders are observed. It is found in [15] that the fourth power interaction term between the two charged fields control the width of the s+d coexisting phase. In a recent study on the holographic s+p model [25], it is found that the fourth power nonlinear terms have nontrivial and universal influence on the phase structure involving both the two orders. Therefore it is interesting to include the similar fourth power terms in the holographic s+d model to test this universality.
From the gravity side, it is natural to consider higher curvature corrections to the standard Einstein gravity. The Gauss-Bonnet term is the best choice of curvature square term, which does not bring in a higher order derivative to the equations of motion [37,38]. According to the AdS/CFT correspondence, introducing the Gauss-Bonnet term corresponds to bring in corrections of large N expansion of CFTs in the strong coupling limit. In the study of holography, the Gauss-Bonnet term usually has a nontrivial contribution to important results such as the universal Kovtun-Son-Starinets (KSS) bound of shear viscosity over entropy ratio [39-42], as well as the frequency gap in the holographic superconductor models [43-53]. However, the Gauss-Bonnet term is a topological invariant in four dimensions, and is believed to only be nontrivial in the gravity bulk with five or more spacetime dimensions. Until a recent study [54], Glavan and Lin redefined the coupling constant and proposed a new Einstein-Gauss-Bonnet theory in four-dimensional spacetime, which is also generalized to Einstein-Lovelock gravity in 4D [55, 56, 57]. Consequently, we expect similar large N corrections from the Gauss-Bonnet term in the AdS4/CFT3 duality [58], which also introduces nontrivial influences on the holographic superconductors even in the probe limit [58-60].
In this study, we setup the holographic s+d superconductor model with 4th power nonlinear terms in the probe limit from the new 4D Einstein-Gauss-Bonnet gravity [54], and study the various phase transitions. We will first study the impact of the Gauss-Bonnet term on the competition and coexistence of two order parameters. We also study the influence of the three different nonlinear terms on the phase transition to see whether the power of these terms on tuning the phase transitions are universal.
The rest of this article is structured as follows. In section 2, we provide the framework of the holographic model and the details of calculations as well as numerical works. In section 3, we give our main results from numerical calculations to show the influence of the Gauss-Bonnet term, as well as the fourth power nonlinear terms Finally, In section 4, we summarize our findings and outline potential avenues for future research.

2. The holographic setup of the s+d mode from 4D Einstein-Gauss-Bonnet gravity

The action of the holographic s+d superconductor model in the 4D Einstein-Gauss-Bonnet gravity is
$\begin{eqnarray}S={S}_{{\rm{M}}}+{S}_{{\rm{G}}},\end{eqnarray}$
$\begin{eqnarray}{S}_{{\rm{G}}}=\frac{1}{2{\kappa }_{g}^{2}}\int {\,\rm{d}\,}^{4}x\sqrt{-g}\left(\right.R-2{\rm{\Lambda }}+\bar{\alpha }{R}_{{\rm{GB}}}^{2}\left)\right.,\end{eqnarray}$
$\begin{eqnarray}\begin{array}{rcl}{S}_{{\rm{M}}} & =& \displaystyle \int {\,\rm{d}\,}^{4}x\sqrt{-g}\left[-\frac{1}{4}{F}^{\mu \nu }{F}_{\mu \nu }+{{ \mathcal L }}_{{\rm{s}}}+{{ \mathcal L }}_{{\rm{d}}}\right.\\ & & \left.-{\lambda }_{sd}| \psi {| }^{2}({\left|{{\rm{\Phi }}}_{\mu \nu }\right|}^{2}-| {\rm{\Phi }}{| }^{2})\right],\end{array}\end{eqnarray}$
where SG is the action of the gravity part and SM is the action of the matter part. ${R}_{{\rm{GB}}}^{2}={R}^{2}-4{R}_{\mu \nu }{R}^{\mu \nu }+{R}_{\mu \nu \rho \sigma }{R}^{\mu \nu \rho \sigma }$ is the Gauss-Bonnet term with the coefficient $\bar{\alpha }$. SM is a combination of a complex scalar and a complex tensor charged under the same U(1) gauge field with the field strength Fμν=∇μAν-∇νAμ. The Laglagien of the s-wave part ${{ \mathcal L }}_{{\rm{s}}}$ and the d-wave part ${{ \mathcal L }}_{{\rm{d}}}$ are
$\begin{eqnarray}{{ \mathcal L }}_{{\rm{s}}}=-{\left|{D}_{\mu }{\rm{\Psi }}\right|}^{2}-{m}_{{\rm{s}}}^{2}| {\rm{\Psi }}{| }^{2}-{\lambda }_{s}| {\rm{\Psi }}{| }^{4},\end{eqnarray}$
$\begin{eqnarray}\begin{array}{rcl}{{ \mathcal L }}_{{\rm{d}}} & =& -{\left|{D}_{\rho }{{\rm{\Phi }}}_{\mu \nu }\right|}^{2}+2{\left|{D}_{\mu }{{\rm{\Phi }}}^{\mu \nu }\right|}^{2}+{\left|{D}_{\mu }{\rm{\Phi }}\right|}^{2}\\ & & -\left[{\left({D}_{\mu }{{\rm{\Phi }}}^{\mu \nu }\right)}^{* }{D}_{\nu }{\rm{\Phi }}+\,\rm{c.c.}\,\right]+2{R}_{\mu \nu \rho \lambda }{{\rm{\Phi }}}^{* \mu \rho }{{\rm{\Phi }}}^{\nu \lambda }\\ & & -\frac{1}{4}R| {\rm{\Phi }}{| }^{2}-\,\rm{i}\,{q}_{d}{F}_{\mu \nu }{{\rm{\Phi }}}^{* \mu \lambda }{{\rm{\Phi }}}_{\lambda }^{\nu }\\ & & -{m}_{{\rm{d}}}^{2}\left({\left|{{\rm{\Phi }}}_{\mu \nu }\right|}^{2}-| {\rm{\Phi }}{| }^{2}\right)-{\lambda }_{d}{({\left|{{\rm{\Phi }}}_{\mu \nu }\right|}^{2}-| {\rm{\Phi }}{| }^{2})}^{2}.\end{array}\end{eqnarray}$
$\Psi$ is a complex scalar field and Φμν is the complex tensor field with Φ=gμνΦμν denoting its trace. The covariant derivative act on the s-wave and d-wave fields as Dμ=∇μ-iqaAμ7D1(a=s, d), respectively. λ=-3/L2 is the negative cosmological constant, where L is the AdS radius. λs and λd are the coefficients of the fourth power self-interaction terms, which are believe to be powerful in tuning the potential landscape to obtain varies phase transitions [25]. The interaction term with coefficient λsd introduces the relevance between the s-wave and d-wave orders, and is also considered in [15]. Working in the probe limit, we take the planar symmetric black brane solution [61-63] as the background spacetime
$\begin{eqnarray}{\rm{d}}{s}^{2}=\frac{{L}^{2}}{{z}^{2}}\left(-f(z)\rm{d}\,{t}^{2}+\frac{\,\rm{d}{z}^{2}}{f(z)}+\rm{d}\,{x}^{2}+\,\rm{d}{y}^{2}\right),\end{eqnarray}$
where the function f(z) is
$\begin{eqnarray}f(z)=\frac{1}{2\alpha {z}^{2}}\left[1-\sqrt{1-\frac{4\alpha }{L}\left(1-\frac{{z}^{3}}{{z}_{h}^{3}}\right)}\right].\end{eqnarray}$
The relationship between this new Gauss-Bonnet coefficient α in (7) and the one in the action is given by $\alpha =\bar{\alpha }(D-3)(D-4)$. In the limit D →4, we need a finite α to get nontrivial solutions deformed by the higher curvature term, which leads an infinite $\bar{\alpha }$. Near the AdS boundary z →0, the function f(z) gets the asymptotic value
$\begin{eqnarray}f(z)\to \frac{1}{2\alpha {z}^{2}}\left(1-\sqrt{\frac{4\alpha }{{L}^{2}}}\right),\end{eqnarray}$
therefore, the AdS radius is deformed to be
$\begin{eqnarray}{L}_{\,\rm{eff}\,}^{2}=\frac{2\alpha }{1-\sqrt{1-\frac{4\alpha }{{L}^{2}}}}\to \left\{\begin{array}{ll}{L}^{2}, & \,\rm{for}\,\,\alpha \to 0\\ \frac{{L}^{2}}{2}, & \,\rm{for}\,\,\alpha \to \frac{{L}^{2}}{4}\end{array}\right..\end{eqnarray}$
In order to maintain a real value for ${L}_{{\rm{eff}}}^{2}$, we have αL2/4, which is called the Chern-Simons limit. From equation (7), we see that z=zh is the location of the horizon. The temperature of the system corresponds to the Hawking temperature T of the black brane
$\begin{eqnarray}T=\frac{3}{4\pi {z}_{h}}.\end{eqnarray}$
We take the following ansatz
$\begin{eqnarray}{\rm{\Psi }}=\psi (z),\quad {{\rm{\Phi }}}_{xy}={{\rm{\Phi }}}_{yx}=\frac{{L}^{2}}{2{z}^{2}}\varphi (z),\quad {A}_{t}=\phi (z),\end{eqnarray}$
with the other field components set to zero. Then the equations of motion are reduced to the following three
$\begin{eqnarray}\begin{array}{l}{\psi }^{{\prime\prime} }+\left(\frac{{f}^{{\prime} }}{f}-\frac{2}{z}\right){\psi }^{{\prime} }+\frac{{q}_{s}^{2}{\phi }^{2}\psi }{{f}^{2}}-\frac{{m}_{s}^{2}\psi }{{z}^{2}f}\\ \quad \quad -\frac{2{\lambda }_{s}{\psi }^{3}}{{z}^{2}f}-\frac{{\lambda }_{sd}{\varphi }^{2}\psi }{2{z}^{2}f}=0,\end{array}\end{eqnarray}$
$\begin{eqnarray}\begin{array}{l}{\varphi }^{{\prime\prime} }+\left(\frac{{f}^{{\prime} }}{f}-\frac{2}{z}\right){\varphi }^{{\prime} }+\frac{{q}_{d}^{2}{\phi }^{2}\varphi }{{f}^{2}}-\frac{{m}_{d}^{2}\varphi }{{z}^{2}f}\\ -\frac{{\lambda }_{d}{\varphi }^{3}}{{z}^{2}f}-\frac{{\lambda }_{sd}{\psi }^{2}\varphi }{{z}^{2}f}=0,\end{array}\end{eqnarray}$
$\begin{eqnarray}{\phi }^{{\prime\prime} }-\frac{2{q}_{s}^{2}{\psi }^{2}\phi }{{z}^{2}f}-\frac{{q}_{d}^{2}{\varphi }^{2}\phi }{{z}^{2}f}=0.\end{eqnarray}$
The Maxwell field Φ should have a finite norm at the horizon, which implies $\phi {| }_{z={z}_{h}}=0$. Therefore, the expansion of the three functions near the horizon are
$\begin{eqnarray}\psi (z)={\psi }_{0}+{\psi }_{1}\left(z-{z}_{h}\right)+{ \mathcal O }\left({\left(z-{z}_{h}\right)}^{2}\right),\end{eqnarray}$
$\begin{eqnarray}\varphi (z)={\varphi }_{0}+{\varphi }_{1}\left(z-{z}_{h}\right)+{ \mathcal O }\left({\left(z-{z}_{h}\right)}^{2}\right),\end{eqnarray}$
$\begin{eqnarray}\phi (z)={\phi }_{1}\left(z-{z}_{h}\right)+{ \mathcal O }\left({\left(z-{z}_{h}\right)}^{2}\right).\end{eqnarray}$
The charged scalar field ψ(z) and the charged tensor field φ(z) get natural boundary conditions at the horizon, therefore the derivative of the two functions are no longer independent and follows the constraints ψ0=-3ψ1/2 and φ1=0.
The expansions of these three fields near the AdS boundary are
$\begin{eqnarray}\psi ={\psi }_{s}^{-}z+{\psi }_{s}^{+}{z}^{2},\end{eqnarray}$
$\begin{eqnarray}\varphi ={\varphi }_{d}^{-}+{\varphi }_{d}^{+}{z}^{3},\end{eqnarray}$
$\begin{eqnarray}\phi =\mu -\rho z.\end{eqnarray}$
In this paper, we choose the standard quantization scheme, which means that ${\psi }_{s}^{-}$ and ${\varphi }_{d}^{-}$ are the sources of the s-wave and d-wave orders, while ${\psi }_{s}^{+}$ and ${\varphi }_{d}^{+}$ are the corresponding expectation values, respectively. μ is the chemical potential and ρ is the charge density in the boundary field theory. We set the Dirichlet boundary conditions ${\psi }_{s}^{-}={\varphi }_{d}^{-}=0$, which ensures the spontaneous breaking of the U(1) symmetry. Usually the charge parameters qs and qd do not play an important role in the holographic models with single condensate because of the scaling symmetries in the equations of motion. However, the ratio qd/qs gives a nontrivial contribution in the model with both the s-wave and d-wave orders. Therefore we set qs=1 and leave the freedom of the value of qd to control the phase transitions. For convenience, we further set ${m}_{d}^{2}{L}_{{\rm{eff}}}^{2}=0$, ${m}_{s}^{2}{L}_{{\rm{eff}}}^{2}=-2$ and L=zh=1.
In order to investigate the competition between the different solutions, it is necessary to compare the thermodynamic potential of these solutions. We work in the grand canonical potential in this work and calculate the grand potential from the on-shell Euclidean action. In the probe limit, the gravity background is fixed for the various solutions, and only the contribution from the matter part is important
$\begin{aligned}\Omega= & \frac{V_{2}}{T}\left[-\frac{\mu \rho}{2}+\int\left(\frac{q_{s}^{2} \phi^{2} \psi^{2}}{f z^{2}}+\frac{q_{d}^{2} \phi^{2} \varphi^{2}}{2 z^{2} f}\right.\right. \\& \left.\left.-\frac{\lambda_{s} \psi^{4}}{z^{4}}-\frac{\lambda_{d} \varphi^{4}}{4 z^{4}}-\frac{\lambda_{s d} \psi^{2} \varphi^{2}}{2 z^{4}}\right) \mathrm{~d} z\right] .\end{aligned}$

3. The phase structure involving the s+d phase and the role of the fourth power nonlinear terms

In order to investigate the phase structure involving the s+d phase in the Einstein-Gauss-Bonnet gravity, we need to first set the charge ratio qd/qs to appropriate values to find out the s+d phase at nearly zero value of the Gauss-Bonnet coefficient. Then, we fix qd/qs to one appropriate value and draw the α-μ phase diagram to present the influence of the Gauss-Bonnet term. After that, we also present the power of the fourth power nonlinear terms, and finally show the dependence of the special value of λs and λd on the value of the Gauss-Bonnet coefficient α, which is important in realizing first order phase transitions in the single condensate s-wave and d-wave models.

3.1. Locate the s+d phase with the appropriate charge ratio

The value of the charge coupling qs and qd is usually set to 1 in holographic models with a single condensate, because we can always apply the scaling symmetry to rescale the value of qs or qd to any finite value. However, in a holographic model with two orders or more, the scaling symmetry only shifts all the charge couplings with the same proportion, while the ratios, such as qd/qs in the s+d model, are still fixed. Therefore, without loss of generality, we set qs=1 and take different values of qd to find out the s+d coexistent phase with α=1 × 10-7 and zero values of the fourth power coefficients λs, λd and λsd on the first step.
It should be noticed that, the s+d model is already studied in the Einstein gravity in [15,16]. However, the detailed phase structure with the same choice of the mass parameters ${m}_{s}^{2}{L}_{{\rm{eff}}}^{2}=-2$ and ${m}_{d}^{2}{L}_{{\rm{eff}}}^{2}=0$ is not presented. In [15], only the special case with the charge ratio qd/qs=1.95 is investigated. In [16], the detailed phase diagram of this s+d model is given with ${m}_{s}^{2}{L}^{2}=-2$ and ${m}_{d}^{2}{L}^{2}=7/4$. Therefore, in order to present our results more completely, we plot the qd-μ phase diagram in figure 1.
Figure 1. The qd-μ phase diagram with α=1 × 10-7, λs=λd=λsd=0, ${m}_{s}^{2}{L}_{{\rm{eff}}}^{2}=-2$, ${m}_{d}^{2}{L}_{{\rm{eff}}}^{2}=0$. The yellow region is dominated by the normal phase, while the red, blue and green regions are dominated by the d-wave phase, the s-wave phase and the s+d coexistent phase, respectively. The red and blue lines represent the critical points of the d-wave and s-wave orders, respectively.
We can see from figure 1 that the s+d coexistent phase marked by the narrow green region only exists with qd > 1.87. Therefore in order to present the influences of the Gauss-Bonnet term with the coefficient α on the s + d phase, we choose qd=2.0 in the next subsection.

3.2. The phase diagram with a varying Gauss-Bonnet coefficient

We know that when qd > 1.87, the s+d phase exists between the s-wave phase and the d-wave phase. Here, we fix qd=2.0 and draw the α-μ phase diagram in figure 2 to further show the influence of the Gauss-Bonnet term on the phase transitions involving the s+d phase.
Figure 2. The α-μ phase diagram for the 4D Einstein-Gauss-Bonnet gravity. The parameters are set to the following values: qd=2.0, λs=λd=λsd=0, ${m}_{s}^{2}{L}_{{\rm{eff}}}^{2}=-2$, ${m}_{d}^{2}{L}_{{\rm{eff}}}^{2}=0$. The colors in this plot are used in the same way as in figure 1.
In this phase diagram, we still use the red and blue lines to indicate the critical points of the d-wave order and the s-wave order respectively. The dashed section of the red and blue lines indicate the critical point of the unstable single condensate solution which get a higher value of the grand potential than the most stable phase. We can see from the two lines for the critical points of the single condensate solutions that along with the increasing of the Gauss-Bonnet coefficient, the critical chemical potential of the d-wave solution increases monotonically, while the critical chemical potential of the s-wave solution increases at small values of the Gauss-Bonnet coefficient, but decreases when the Gauss-Bonnet coefficient α approaches the Chern-Simons limit. This behavior of the s-wave phases with non zero values of the mass parameter ${m}_{s}^{2}{L}_{{\rm{eff}}}^{2}$ is already observed in the studies on the s+s and s+p models in the Einstein-Gauss-Bonnet gravity [22,64], and is explained by the change of ${m}_{s}^{2}$ when ${m}_{s}^{2}{L}_{{\rm{eff}}}^{2}$ is fixed to have fixed value of the conformal dimension when the Gauss-Bonnet coefficient is tuned. It is also presented in [58] that fixing the value of ${m}_{s}^{2}{L}_{{\rm{eff}}}^{2}$ in the holographic studies from the Einstein-Gauss-Bonnet gravity is a better choice.
According to the sudden decreasing of the critical chemical potential near the Chern-Simons limit, the s-wave solution becomes more stable and the relation between the grand potential curves of the s-wave and p-wave solutions changes strongly near the intersection point of the red and blue lines. Therefore the region of the s+d phase also moves significantly to meet this intersection point, resulting in the big bend of the green region in the phase diagram. The above special properties in the α-μ phase diagram indicates possible nontrivial 1/N effects when the field theory goes away from the large N limit.
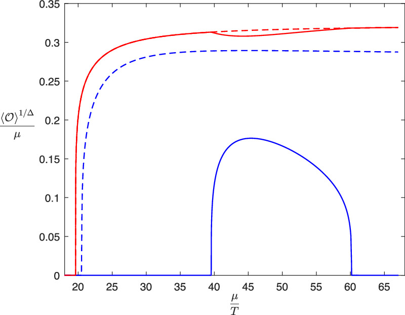
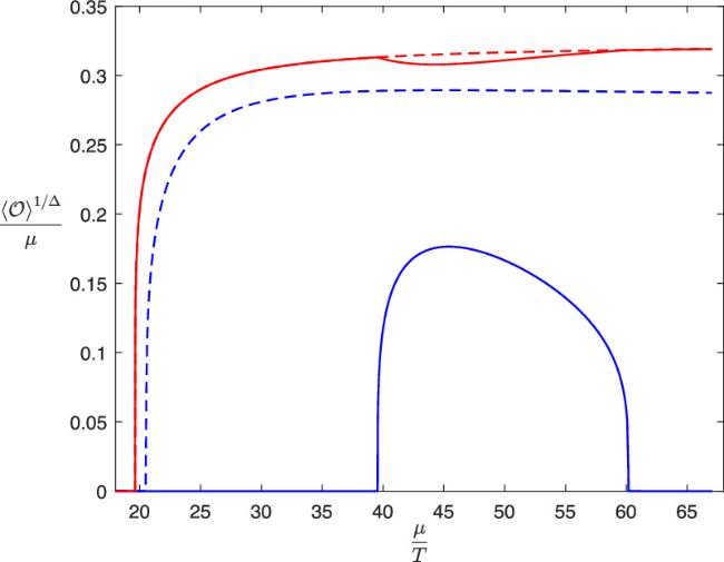
With this special behavior in the Einstein-Gauss-Bonnet gravity, the grand potential curve of the s-wave solution with ${m}_{s}^{2}{L}_{{\rm{eff}}}^{2}=-2$ and that of the d-wave solution with ${m}_{d}^{2}{L}_{{\rm{eff}}}^{2}=0$ changes very differently near the Chern-Simons limit. As a result, it is possible to find out non monotonic behavior of the condensates such as the re-entrance. According to the systematic way described in [22], we also find a case showing the re-entrant s-wave order with qd=2.4455, α=1/4 and we plot the condensates in figure 3.
Figure 3. The condensates in the case of the re-entrance with qd=2.4455, α=1/4, λs=λd=λsd=0, ${m}_{s}^{2}{L}_{{\rm{eff}}}^{2}=-2$, ${m}_{d}^{2}{L}_{{\rm{eff}}}^{2}=0$. The red line denotes the condensate of the d-wave order, where the blue line denotes the condensate of the s-wave order. The dashed lines are for the unstable sections of superfluid solutions and the solid lines for the most stable solution.
From figure 3 we can see that if we increase the chemical potential from a very small value, the system first undergoes a second order phase transition from the normal phase to the single condensate d-wave phase. After that, when the chemical potential goes on increasing, the system undergoes the second phase transition from the single condensate d-wave phase to the s+d coexistent phase, and then finally undergoes the third phase transition from the s+d phase and renters the single condensate d-wave phase. This is a typical re-entrant phase transition and is called the ‘n-type' in [17] because of the shape of the s-wave condensate form a shape of the letter ‘n'.

3.3. The power of the fourth power terms and the special value dependence on the Gauss-Bonnet coefficient

In this section, we investigate the power of the fourth power terms with coefficients λs, λd, and λsd.
From the coupled terms in the equations of motion, we can see that varying λsd would not change the single condensate s-wave solutions and d-wave solutions. Only the s+d coexistent solutions depend on the value of λsd. The detailed influences of λsd are already studied in [15] in Einstein gravity, and is represented here with more complete condensate curves for a very small Gauss-Bonnet coefficient α=1 × 10-7 and qd=1.95 in figure 4, where the three panels showing condensate curves with λsd=-0.2 (left panel), 0 (middle panel) and 0.2 (right panel), respectively. From these plots we confirm that the value of λsd does not change the condensates of the single condensate solutions at all. With a lower value of λsd, the width of the coexistent s+d phase is larger, while with a higher value of λsd, the width of the stable s+d phase becomes smaller. It seems that the width of the s+d solution in the right panel with λ=0.2 is larger than the s+d phase in the middle panel with λ=0, but notice that in the case of λ=0.2, the s+d solution becomes totally unstable and a first order phase transition is expected between the s-wave phase and the d-wave phase at the phase transition point marked by the vertical dotted black line.
Figure 4. The s-wave and d-wave condensates for qd=1.95 and λsd=-0.2 (left), λsd=0 (middle), λsd=0.2 (right), respectively. The red and blue curves represent the condensate of the d-wave order and the s-wave order, respectively. The solid sections are for the most stable phase while the dotted sections are for unstable solutions. This figure represents the power of λsd initially studied in [15] in a more complete manner.
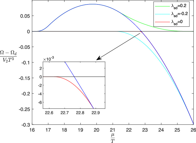
It is also necessary to plot the grand potential lines to confirm the stability relations, and we choose to plot the relative values with respect to the d-wave solution in figure 5, where the grand potential line of the d-wave solution is along the horizontal axes. The solid blue line indicating the grand potential curve for the s-wave solution do not change with the different values of λsd and thus the curves of the s+d solutions for three different values of λsd are able to be presented in the same panel very clearly. The cyan line for the s+d solution with λd=-0.2 is lower than the red line for the s+d solution with λd=0. The green line for the s+d solution with λd=0.2 form a standard swallow tail shape with the blue and black curves, indicating the instability of these s+d solutions on the green line.
Figure 5. The grand potential curves for the s+d solutions with qd=1.95 and λsd=-0.2 (cyan), λsd=0 (red), λsd=0.2 (green), respectively. The bottom left corner shows a zoomed-in view for the s+d solution with λsd=0 (red). In this figure, we plot relative value with respect to the single condensate d-wave solutions, which are indicated by the horizontal black line. The solid blue line indicates the single condensate s-wave solutions.
It is obvious from the equations of motion that the different values of λd do not change the condensate as well as the grand potential of the single condensate s-wave solutions. In the same way, the different values of λs do not change the condensate as well as the grand potential of the single condensate d-wave solutions, either. The influence of λs on the single condensate s-wave solutions is well studied in [25,65] in Einstein gravity. We expect that the influence of λd on the single condensate d-wave solutions should be similar to the s-wave cousin. Therefore, we focus on studying the influence of λd on the single condensate d-wave solutions which still has not been investigated previously, and confirming the universality.
As the theoretical analysis on the equations of motion [25], as well as the thermodynamic potential landscape [65], are quite universal, we fix the Gauss-Bonnet coefficient α=1 × 10-7 to present the influence of λd on the single condensate d-wave solutions without loss of generality. We choose such a small value for the Gauss-Bonnet coefficient, that the quantitative results are also useful to help understand holographic models with a d-wave order in the Einstein gravity.
Near the critical points of the d-wave order, the d-wave field φ is infinitesimal, ensuring the equation of φ to be linearized and the nonlinear terms ignored, therefore the critical point of the single condensate d-wave phase would not be affected. Even with considering the s+d phase, the critical point of the d-wave order for the s+d phase is not altered, because firstly the background s-wave phase is not dependent on λd, and secondly near the critical point of the d-wave order, the nonlinear terms are still ignorable in the equations of φ. Similar laws are confirmed in the holographic s+p model with fourth power terms by the numerical results [25].
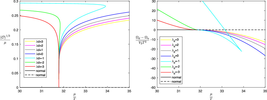
We show the condensates as well as the grand potential curves for the single condensate d-wave solutions with α=1 × 10-7, qs=qd=1, λs=λsd=0 and various values of λd in the left and right panels of figure 6. We can see from these two plots that compared to the d-wave solution with λd=0 colored by the blue line, an increasing positive value of λd will reduce the condensate and increase the grand potential. However, when λd is lowered to a slightly negative value, the change not only quantitatively makes the condensate larger and the grand potential lower, but also makes the condensate curve grow to a different direction at a large value of condensate, resulting in a turning point in the condensate curve, as well as the grand potential line, which is a signal of the zeroth order phase transition [8,65]. When we further lower the value of λd, the condensate curve grows leftward even at the critical point, as indicated by the red curve in the left panel of figure 6. From the red curve in the right panel, the d-wave phase in this case is totally unstable. The similar behavior of the single condensate s-wave solution is already observed in [65], and the special value of λs, below which the condensate grows to an opposite direction at the critical point, is important in models with additional sixth power terms, when one needs to realize a first order phase transition [66]. The special value of λs was confirmed to be equal to ${\widetilde{\lambda }}_{s}=-1.949$ in the canonical ensemble [65], and similar special value exist for λd.
Figure 6. The condensates (left) and the grand potential curves (right) for the single condensate d-wave solutions with various values of λd. We set α=1 × 10-7, qd=1 and λs=λsd=0. Colored lines are used to present the various values of λd as λd=3 (yellow), λd=2 (purple), λd=1 (gray), λd=0 (blue), λd=-1 (cyan), λs=-2 (green), λs=-3 (red).
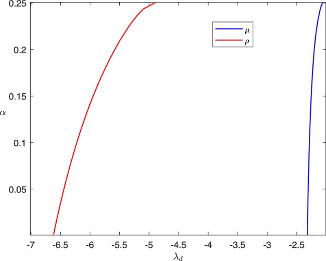
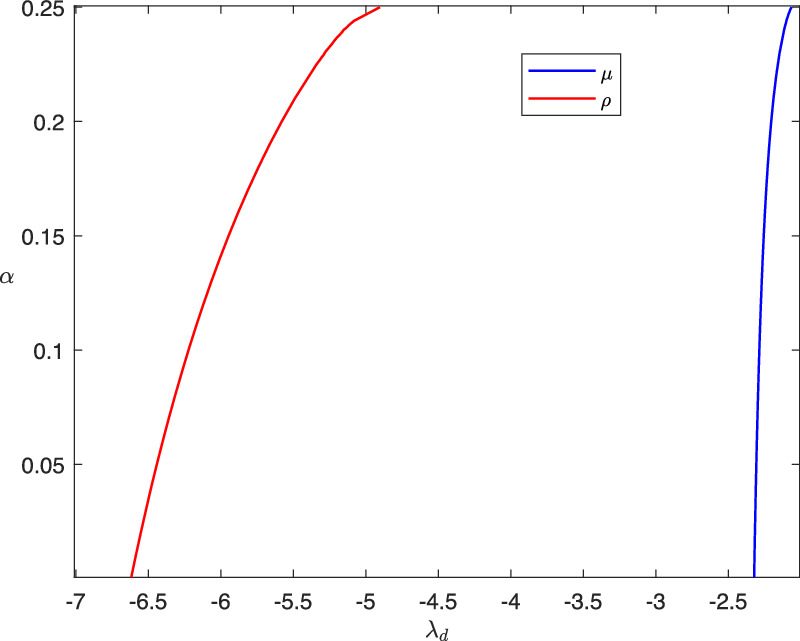
We calculate the special value of λd in both the canonical ensemble and the grand canonical ensemble, and plot their dependence on the Gauss-Bonnet coefficient α in figure 7, where the solid red line is for the grand canonical ensemble and the solid blue line is for the canonical ensemble. We can see that the special value ${\widetilde{\lambda }}_{d}^{\mu }$ in the grand canonical ensemble is always lower than the special value ${\widetilde{\lambda }}_{d}^{\rho }$ in the canonical ensemble. Between the two special values, the section of the superfluid solutions with lower free energy in the canonical ensemble will suffer instabilities of inhomogeneous perturbations [65,67].
Figure 7. The dependence of the special values ${\widetilde{\lambda }}_{d}$ on the Gauss-Bonnet coefficient α. The solid blue line is for the case in the canonical ensemble where the charge density ρ is fixed, while the solid red line is for the case in the grand canonical ensemble where the chemical potential μ is fixed. We set qd=1, ${m}_{s}^{2}{L}_{{\rm{eff}}}^{2}=-2$ and ${m}_{d}^{2}{L}_{{\rm{eff}}}^{2}=0$ in this plot.

4. Summary and prospect

In this paper, we studied the phase transitions of a holographic s+d model with fourth power terms in the Einstein-Gauss-Bonnet gravity. We first set a very small value for the Gauss-Bonnet coefficient α=1 × 10-7 to present the qd-μ phase diagram, which is almost the same to the phase diagram in the model from Einstein gravity. Then we choose an appropriate value qp=2.0 to show the influence of the Gauss-Bonnet term on the phase transitions with a α-μ phase diagram. Since the Gauss-Bonnet term is expected to bring in large N corrections on the CFTs, our results show the possible influence of the 1/N effects on the phase diagram with the coexisting s+d phase. We also present the power of the fourth power interaction terms The influence of the different values of λd on the phase transitions of the single condensate d-wave solutions follows the universal laws similar to the influence of λs on the single condensate s-wave solutions. We finally present the dependence of the special values of λd, below which the phase transitions of the single condensate d-wave solutions grow in a different direction at the critical point, on the Gauss-Bonnet coefficient in both the canonical ensemble and the grand canonical ensemble. The two special values are important to realize first order phase transitions as well as study the inhomogeneous instabilities triggering the spinodal decompositions. The various superfluid phase transitions including the first order and the re-entrant ones also indicate that more complex phase transitions involving the s-wave and d-wave orders are possible and should be more carefully explored in real cuprate superconductors.
There are many possible interesting future studies based on this work. For example, it is interesting to include the sixth power terms for the d-wave order to study the inhomogeneous instabilities as well as the non equilibrium processes in first order d-wave phase transitions. It is also necessary to include the back-reaction of the matter fields on the metric to study interesting features, such as the entanglement structure, the inner geometry as well as the hydrodynamics for the holographic s+d models. Linear perturbations in the s+d model in the probe limit will also present more rich physics because of different symmetries of the superfluid ground states involving the s-wave and d-wave orders.

Acknowledgments

This work is partially supported by the National Natural Science Foundation of China (Grant No. 11965013). ZYN is partially supported by Yunnan High-level Talent Training Support Plan Young & Elite Talents Project (Grant No. YNWR-QNBJ-2018-181).
1
Maldacena J M 1998 The large N limit of superconformal field theories and supergravity Adv. Theor. Math. Phys. 2 231252

DOI

2
Sakai T, Sugimoto S 2005 Low energy hadron physics in holographic QCD Prog. Theor. Phys. 113 843 882

DOI

3
Karch A, Katz E, Son D T, Stephanov M A 2006 Linear confinement and AdS/QCD Phys. Rev. D 74 015005

DOI

4
Gubser S S 2008 Breaking an Abelian gauge symmetry near a black hole horizon Phys. Rev. D 78 065034

DOI

5
Hartnoll S A, Herzog C P, Horowitz G T 2008 Building a holographic superconductor Phys. Rev. Lett. 101 031601

DOI

6
Gubser S S, Pufu S S 2008 The gravity dual of a p-wave superconductor J. High Energy Phys. JHEP11(2008)033

DOI

7
Cai R-G, He S, Li L, Li L-F 2013 A holographic study on vector condensate induced by a magnetic field J. High Energy Phys. JHEP12(2013)036

DOI

8
Cai R-G, Li L, Li L-F 2014 A holographic p-wave superconductor model J. High Energy Phys. JHEP01(2014)032

DOI

9
Chen J-W, Kao Y-J, Maity D, Wen W-Y, Yeh C-P 2010 Towards a holographic model of d-wave superconductors Phys. Rev. D 81 106008

DOI

10
Benini F, Herzog C P, Rahman R, Yarom A 2010 Gauge gravity duality for d-wave superconductors: prospects and challenges J. High Energy Phys. JHEP11(2010)137

DOI

11
Basu P, He J, Mukherjee A, Rozali M, Shieh H-H 2010 Competing holographic orders J. High Energy Phys. JHEP10(2010)092

DOI

12
Cai R-G, Li L, Li L-F, Wang Y-Q 2013 Competition and coexistence of order parameters in holographic multi-band superconductors J. High Energy Phys. JHEP09(2013)074

DOI

13
Nie Z-Y, Cai R-G, Gao X, Zeng H 2013 Competition between the s-wave and p-wave superconductivity phases in a holographic model J. High Energy Phys. JHEP11(2013)087

DOI

14
Musso D 2013 Competition/enhancement of two probe order parameters in the unbalanced holographic superconductor J. High Energy Phys. JHEP06(2013)083

DOI

15
Nishida M 2014 Phase diagram of a holographic superconductor model with s-wave and d-wave J. High Energy Phys. JHEP09(2014)154

DOI

16
Li L-F, Cai R-G, Li L, Wang Y-Q 2014 Competition between s-wave order and d-wave order in holographic superconductors J. High Energy Phys. JHEP08(2014)164

DOI

17
Nie Z-Y, Cai R-G, Gao X, Li L, Zeng H 2015 Phase transitions in a holographic s+p model with back-reaction Eur. Phys. J. C 75 559

DOI

18
Nie Z-Y, Zeng H 2015 P-T phase diagram of a holographic s+p model from Gauss-Bonnet gravity J. High Energy Phys. JHEP10(2015)047

DOI

19
Amado I, Arean D, Jimenez-Alba A, Melgar L, Salazar Landea I 2014 Holographic s+p superconductors Phys. Rev. D 89 026009

DOI

20
Arias Raúl, Landea I S 2016 Spontaneous current in an holographic s+p superfluid Phys. Rev. D 94 126012

DOI

21
Nie Z-Y, Pan Q, Zeng H-B, Zeng H 2017 Split degenerate states and stable p​​​​​+ip phases from holography Eur. Phys. J. C 77 69

DOI

22
Li Z-H, Fu Y-C, Nie Z-Y 2018 Competing s-wave orders from Einstein-Gauss-Bonnet gravity Phys. Lett. B 776 115 123

DOI

23
Nie Z-Y, Hu Y-P, Zeng H 2020 The holographic p+ip solution failed to win the competition in dRGT massive gravity Eur. Phys. J. C 80 1015

DOI

24
Xia C-Y, Nie Z-Y, Zeng H-B, Zhang Y 2021 Uniform quenching processes in a holographic s+p model with reentrance Eur. Phys. J. C 81 882

DOI

25
Zhang X-K, Xia C-Y, Nie Z-Y, Zeng H 2022 Holographic multicondensate with nonlinear terms Phys. Rev. D 105 046016

DOI

26
Yang Y-N, Xia C-Y, Nie Z-Y, Zeng H-B 2022 H-T phase diagrams of a holographic p-wave superfluid J. High Energy Phys. JHEP04(2022)013

DOI

27
Kotliar G 1988 Resonating valence bonds and d-wave superconductivity Phys. Rev. B 37 3664 3666

DOI

28
Muller K 1995 Possible coexistence of s- and d-wave condensates in copper oxide superconductors Nature 377 133 135

DOI

29
Béal-Monod M T, Maki K 1996 Anisotropic superconductivity: (s+d)-wave model, (d+s)-wave model and the effect of normal impurities Phys. Rev. B 53 5775 5794

DOI

30
Liu M, Xing D Y, Wang Z D 1997 Mixed (s+id)-wave order parameters in the Van Hove scenario Phys. Rev. B 55 3181 3185

DOI

31
Ghosh A, Adhikari S K 1998 Two phase transitions in (s + id)-wave Bardeen-Cooper-Schrieffer superconductivity J. Phys.: Condens. Matter 10 L319

DOI

32
Ioffe L B, Geshkenbein V B, Feigel'Man M V, Fauchère A L, Blatter G 1999 Environmentally decoupled sds-wave Josephson junctions for quantum computing Nature 398 679 681

DOI

33
Tsuei C C, Kirtley J R 2000 Pairing symmetry in cuprate superconductors Rev. Mod. Phys. 72 969 1016

DOI

34
Müller K A On the macroscopic and -wave symmetry in cuprate superconductors Phil. Mag. Lett. 82 279288

DOI

35
Bussmann-Holder A, Micnas R 2004 Enhancing Tc within phonon mediated coexistence of s+d wave superconductivity in cuprates Physica C: Superconduct. 408 222 223

DOI

36
Zhang D, Zhu Y-Y, Wang H, Xue Q-K 2023 Josephson effect in twisted cuprates Acta Phys. Sin. 72 23

DOI

37
Lanczos C 1938 A remarkable property of the Riemann-Christoffel tensor in four dimensions Annals Math. 39 842 850

DOI

38
Lovelock D 1971 The Einstein tensor and its generalizations J. Math. Phys. 12 498 501

DOI

39
Kovtun P, Son D T, Starinets A O 2005 Viscosity in strongly interacting quantum field theories from black hole physics Phys. Rev. Lett. 94 111601

DOI

40
Brigante M, Liu H, Myers R C, Shenker S, Yaida S 2008 Viscosity bound violation in higher derivative gravity Phys. Rev. D 77 126006

DOI

41
Brigante M, Liu H, Myers R C, Shenker S, Yaida S 2008 The viscosity bound and causality violation Phys. Rev. Lett. 100 191601

DOI

42
Cai R-G, Nie Z-Y, Sun Y-W 2008 Shear viscosity from effective couplings of gravitons Phys. Rev. D 78 126007

DOI

43
Gregory R, Kanno S, Soda J 2009 Holographic superconductors with higher curvature corrections J. High Energy Phys. JHEP10(2009)010

DOI

44
Pan Q, Wang B, Eleftherios P, Oliveira J, Pavan A B 2010 Holographic superconductors with various condensates in Einstein-Gauss-Bonnet gravity Phys. Rev. D 81 106007

DOI

45
Barclay L, Gregory R, Kanno S, Sutcliffe P 2010 Gauss-Bonnet holographic superconductors J. High Energy Phys. JHEP12(2010)029

DOI

46
Brihaye Y, Hartmann B 2010 Holographic superconductors in 3+1 dimensions away from the probe limit Phys. Rev. D 81 126008

DOI

47
Gregory R 2011 Holographic superconductivity with Gauss-Bonnet gravity J.Phys. Conf. Ser. 283 012016

DOI

48
Cai R-G, Nie Z-Y, Zhang H-Q 2010 Holographic p-wave superconductors from Gauss-Bonnet gravity Phys. Rev. D 82 066007

DOI

49
Kanno S 2011 A note on Gauss-Bonnet holographic superconductors Class. Quantum Grav. 28 127001

DOI

50
Pan Q, Jing J, Wang B 2011 Analytical investigation of the phase transition between holographic insulator and superconductor in Gauss-Bonnet gravity J. High Energy Phys. JHEP11(2011)088

DOI

51
Li H-F, Cai R-G, Zhang H-Q 2011 Analytical studies on holographic superconductors in Gauss-Bonnet gravity J. High Energy Phys. JHEP04(2011)028

DOI

52
Lu J-W, Wu Y-B, Cai T, Liu H-M, Ren Y-S, Liu M-L 2016 Holographic vector superconductor in Gauss-Bonnet gravity Nucl. Phys. B 903 360 373

DOI

53
Liu S, Pan Q, Jing J 2017 Holographic p-wave superfluid in Gauss-Bonnet gravity Phys. Lett. B 765 91 98

DOI

54
Glavan D, Lin C 2020 Einstein-Gauss-Bonnet gravity in four-dimensional spacetime Phys. Rev. Lett. 124 081301

DOI

55
Konoplya R A, Zhidenko A 2020 Black holes in the four-dimensional Einstein-Lovelock gravity Phys. Rev. D 101 084038

DOI

56
Konoplya R A, Zhidenko A 2020 (In)stability of black holes in the $4D$ Einstein-Gauss-Bonnet and Einstein-Lovelock gravities Phys. Dark Univ. 30 100697

DOI

57
Casalino A, Colléaux A, Rinaldi M, Vicentini S 2021 Regularized Lovelock gravity Phys. Dark Univ. 31 100770

DOI

58
Qiao X, OuYang L, Wang D, Pan Q, Jing J 2020 Holographic superconductors in 4D Einstein-Gauss-Bonnet gravity J. High Energy Phys. JHEP12(2020)192

DOI

59
Ghorai D, Gangopadhyay S 2021 Analytical study of holographic superconductor with backreaction in 4D Gauss-Bonnet gravity Phys. Lett. B 822 136699

DOI

60
Pan J, Qiao X, Wang D, Pan Q, Nie Z-Y, Jing J 2021 Holographic superconductors in 4D Einstein-Gauss-Bonnet gravity with backreactions Phys. Lett. B 823 136755

DOI

61
Lu H, Pang Y 2020 Horndeski gravity as D →4 limit of Gauss-Bonnet Phys. Lett. B 809 135717

DOI

62
Hennigar R A, Kubizňák D, Mann R B, Pollack C 2020 On taking the D → 4 limit of Gauss-Bonnet gravity: theory and solutions J. High Energy Phys. JHEP07(2020)027

DOI

63
Cai R-G 2002 Gauss-Bonnet black holes in AdS spaces Phys. Rev. D 65 084014

DOI

64
Zhang X-K, Nie Z-Y, Zeng H, Pan Q 2024 The holographic s+p model in 4D and 5D Einstein-Gauss-Bonnet gravity Phys. Lett. B 850 138496

DOI

65
Zhao Z-Q, Zhang X-K, Nie Z-Y 2023 Dynamical stability from quasi normal modes in 2nd, 1st and 0th order holographic superfluid phase transitions J. High Energy Phys. JHEP02(2013)023

DOI

66
Zhao Z-Q, Nie Z-Y, Zhang J-F, Zhang X, Baggioli M 2024 Dynamical and thermodynamic crossovers in the supercritical region of a holographic superfluid model arXiv:2406.05345

67
Zhao X, Nie Z-Y, Zhao Z-Q, Zeng H-B, Tian Y, Baggioli M 2024 Dynamical evolution of spinodal decomposition in holographic superfluids J. High Energy Phys. JHEP02(2024)184

DOI

Outlines

/