Welcome to visit Communications in Theoretical Physics,
Atomic, Molecular, Optical (AMO) and Plasma Physics, Chemical Physics

Plasmon-induced transparency based on a molybdenum disulfide film terahertz metasurface for sensing applications

  • Wang Yilin 1 ,
  • Chen Fang , 1, ,
  • Yang Wenxing 1 ,
  • Yi Zao 2
Expand
  • 1School of Physics and Optoelectronic Engineering, Yangtze University, Jingzhou 434023, China
  • 2Southwest University of Science and Technology, Mianyang 621010, China

Author to whom any correspondence should be addressed.

Received date: 2024-12-03

  Revised date: 2025-03-18

  Accepted date: 2025-03-19

  Online published: 2025-05-16

Copyright

© 2025 Institute of Theoretical Physics CAS, Chinese Physical Society and IOP Publishing. All rights, including for text and data mining, AI training, and similar technologies, are reserved.
This article is available under the terms of the IOP-Standard License.

Abstract

In this study, we proposed a bifunctional sensor of high sensitivity and slow light based on monolayer ${{\rm{MoS}}}_{2}/{\rm{TOPAS}}$ structure in the terahertz range. The proposed metamaterial is formed by a structured unit matrix that combines square and cross shapes made of ${{\rm{MoS}}}_{2}$ and ${\rm{TOPAS}}$. The plasmon-induced transparency (PIT) spectra appeared under the excitation of a transverse magnetic (TM)-polarization wave, the proposed PIT effect is originated from the near-field coupling of two bright modes. The Lorentzian mode theory spectrum describes the destructive interference between the two bright modes, and the fitted results are consistent with the Finite-Difference Time-Domain (FDTD) simulation results. Furthermore, the effect of geometrical sizes, like coupling distance, structure size, and intersection angle between square and cross shape on the PIT window is analyzed, along with the effects of carrier concentration in ${{\rm{MoS}}}_{2}$. A figure of merit of $1.10\,{{\rm{RIU}}}^{-1}$ is obtained. The slow light performance of the proposed ${{\rm{MoS}}}_{2}$-based metamaterial is investigated, a maximum time delay of $0.52\,{\rm{ps}}$ is obtained and the delay band width product (DBP) is 0.76. It is more efficient to store and transmit the information over signal channels. Therefore, the proposed ${{\rm{MoS}}}_{2}$-based metamaterial can be used in electromagnetically induced transparency applications, such as sensors, optical memory devices, and flexible terahertz functional devices.

Cite this article

Wang Yilin , Chen Fang , Yang Wenxing , Yi Zao . Plasmon-induced transparency based on a molybdenum disulfide film terahertz metasurface for sensing applications[J]. Communications in Theoretical Physics, 2025 , 77(9) : 095501 . DOI: 10.1088/1572-9494/adc23d

1. Introduction

Electromagnetically induced transparency (EIT) originally refers to the appearance of a narrow band of transmission frequencies in a medium that, in its initial state, is impermeable, due to the coherent action of a coupled beam in an atomic system [1-3]. Due to the EIT requires high-intensity laser [4], extremely low temperature [5], and demanding environment [6-8], the practical application of EIT has been somewhat limited. The plasmon-induced transparency (PIT) effect combines of EIT and surface plasmon polaritons (SPPs) [9-11]. The PIT comes from the destructive interference between the dark modes and the bright modes [12-14]. The PIT effect provides several benefits, such as the ability to function at room temperature, a sharply varying transmission spectrum, and ease of integration onto a chip. The PIT effect has become a focal point of research in many optical systems, including photonic crystal waveguide resonators [15], metal-dielectric-metal (MIM) waveguides [16], microelectromechanical systems (MEMSs) [17], subwavelength structures [18], microresonators [19], plasmonic gratings [20], three-dimensional metamolecules [21], and hybrid metal-graphene metamaterials [22]. As a result, research on the PIT effect has attracted increasing attention from researchers worldwide. For example, Wang et al proposed a triple PIT structure based on two big bright modes for sensing [23]. Yahiaoui et al presented a broadband EIT based on a subwavelength structure with broken symmetry [24]. The structure can trigger the quintuple PIT effect. The structure has a high group index. Meng et al designed a composite structure of horizontal and vertical graphene strips [25]. The structure can induce a triple PIT effect through the coupling of three bright modes and one dark mode.
Metamaterials are artificially engineered on-demand materials that do not occur naturally and are designed to have specific properties. They are usually composed of periodically arranged subwavelength structures, which can manipulate electromagnetic waves in unique ways. Metamaterials manipulate electromagnetic waves for extraordinary applications such as the creation of Quasi-Bound States [26-28], and various sensors [29,30]. Therefore, metamaterials have garnered significant attention from researchers in fields such as physics, materials science, optics, and chemistry [31]. The discovery of graphene has led to a surge in research on two-dimensional (2D) layered materials and mixed-dimensional heterostructure. Different from graphene material, when transition metal binary compounds (e.g., ${{\rm{MoS}}}_{2}$, ${{\rm{MoSe}}}_{2}$, ${{\rm{WS}}}_{2}$, and ${{\rm{WSe}}}_{2}$) are transformed from macrostructures to 2D monolayer structures, they become direct bandgap semiconductors. The monolayer ${{\rm{MoS}}}_{2}$, which has a direct bandgap of about 1.8 eV particularly [32], emits light intensely and aids the excitation of electrons. So, it has been regarded as the preferred atomically thin material for photodetection [33], photocatalysis [34,35], as well as photovoltaic devices [36]. However, despite the great potential of ${{\rm{MoS}}}_{2}$ in photonics and optoelectronic applications, the light-matter interaction is significantly hindered due to its intrinsic atomic thickness, leading to extremely low light emission and absorption [37]. There is limited systematic research on the PIT effect of ${{\rm{MoS}}}_{2}$. Nevertheless, the PIT effect is also important for applications in high-sensitivity sensors and slow-light sensors.
In this paper, the PIT effect is realized based on a composite ${{\rm{MoS}}}_{2}$ structure. The designed unit cell consists of a monolayer ${{\rm{MoS}}}_{2}$ made up of cross-shaped and square-shaped structures. The PIT effect results from the near-field coupling between two bright modes. We further discussed the resonance mechanism of the destructive interference in ‘bright-bright' modes concerning the electric field distributions. With Finite-Difference Time-Domain (FDTD) simulations, the relationship between the coupling distance and angle between the cross-shaped and square structures was investigated, along with the effects of carrier concentration in ${{\rm{MoS}}}_{2}$. A Lorentzian mode theory model is used to fit the coupling between different modes, and the fitting effect is excellent. When the proposed structure is used as a refractive index sensor, the sensitivity and FOM are $0.98\,{\rm{THz}}\,{{\rm{RIU}}}^{-1}$ and $1.10\,{{\rm{RIU}}}^{-1}$, respectively. Finally, the sensor exhibits a good slow light property, and its group delay is about $0.52\,{\rm{ps}}$. Therefore, we believe that this design has broad application prospects in fields such as optical sensors, slow light devices, and flexible THz functional devices.

2. Design and simulation

To investigate the transmission performance of the bright-bright mode PIT (BB-PIT) based on the ${{\rm{MoS}}}_{2}$ metamaterial, a periodic structure is proposed. figure 1(a) shows a three-dimensional (3D) array schematic diagram of the proposed sensor. The plane waves are incident from the top and the electric vector is pointed to the y direction. The periodic dimensions of each direction are set as the same size: $Px=Py=P=60\,{\rm{\mu }}{\rm{m}}$. It is also clear to observe that the device consists of a square cross structure and a dielectric layer. In many optoelectronic device designs, TOPAS polymer was selected due to its low loss in THz frequency band, in this paper, the constant refractive index (RI) of TOPAS is 1.53 [38] and its thickness is $h=30\,{\rm{\mu }}{\rm{m}}$. To better describe the geometrical parameters, the vertical view is shown in figure 1(b). The length of the cross shape is ${l}_{1}=32\,{\rm{\mu }}{\rm{m}}$, the width of the cross shape is ${w}_{1}=3\,{\rm{\mu }}{\rm{m}}$, the length of the square resonator is ${l}_{2}=40\,{\rm{\mu }}{\rm{m}}$ and the width of the square resonator is ${w}_{2}=3\,{\rm{\mu }}{\rm{m}}$. The air gap between the ring and the cross resonators is about $1\,{\rm{\mu }}{\rm{m}}$, such a small air gap will result in strong near-field coupling strength. In the THz frequency domains studied in this paper, the intraband transition in monolayer ${{\rm{MoS}}}_{2}$ plays a major role, the surface conductivity can be calculated by the Drude model [39,40],
$\begin{eqnarray}\sigma \left(\omega \right)={\rm{i}}\displaystyle \frac{n{{\rm{e}}}^{2}}{{m}^{* }\left(\omega +{\rm{i}}{\rm{\Gamma }}\right)},\end{eqnarray}$
where ω is the angular frequency of the incident wave, ${\rm{\Gamma }}$ is the damping constant which is inverse to the intrinsic relaxation time, the intrinsic relaxation time is set $\tau =0.17\,{\rm{ps}}$ in this model [40]. For n-type doped ${{\rm{MoS}}}_{2}$ material, the effective electron mass is about ${m}^{* }=0.53{m}_{e}$, n and e are the carrier concentration and electron mass. One major advantage of ${{\rm{MoS}}}_{2}$ based optoelectronic devices is that their conductivity can be adjusted through bias voltage [41].
Figure 1. (a) A 3*3 periodic array of the structure in 3D view; (b) top view of the periodic unit cell. The geometric parameters are as follows: ${l}_{1}=32\,{\rm{\mu }}{\rm{m}}$, ${w}_{1}=3\,{\rm{\mu }}{\rm{m}}$, ${l}_{2}=40\,{\rm{\mu }}{\rm{m}}$, ${w}_{2}=3\,{\rm{\mu }}{\rm{m}}$, $h=30\,{\rm{\mu }}{\rm{m}}$, $P=60\,{\rm{\mu }}{\rm{m}}$.
In this study, the transmission characteristics and field distributions were calculated using MATLAB, Origin, and FDTD solution. During the simulation, the positive incident light in the polarization mode of transverse magnetic (TM) (electric field E parallel to the x direction) is selected and projected vertically onto the structure. Periodic boundary conditions (PBCs) are used in x and y directions, and the perfect matching layers (PMLs) are adopted in the z-direction, the number of PMLs in the proposed study is set to be 8, where the reflection coefficient is smaller than 10-6, the spatial mesh sizes are set to ${\rm{\Delta }}x={\rm{\Delta }}y=0.5\,{\rm{\mu }}{\rm{m}}$, ${\rm{\Delta }}z=0.3\,{\rm{\mu }}{\rm{m}}$. It is noteworthy that the incident light source was positioned in the air, characterized by an ambient refractive index of $n=1$. Two monitors (record transmission and reflection coefficients) are placed at a distance of $40\,{\rm{\mu }}{\rm{m}}$ from the surface of the device, and the incident light source is placed above the substrate at a distance of $5\,{\rm{\mu }}{\rm{m}}$. To avoid calculation errors, the total simulation time is $100000\,{\rm{fs}}$. The equivalent permittivity of monolayer ${{\rm{MoS}}}_{2}$ ${\varepsilon }_{m}$ was calculated by the conductivity as [42].
$\begin{eqnarray}{\varepsilon }_{m}=1+\displaystyle \frac{{\rm{i}}\sigma }{\omega {\varepsilon }_{0}{t}_{m}},\end{eqnarray}$
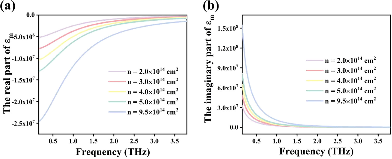
where ${\varepsilon }_{0}$ is the permittivity of the vacuum. According to formula (1) and (2), the conductivity and permittivity of monolayer ${{\rm{MoS}}}_{2}$ can be obtained, as shown in figure 2, the real and imaginary parts of ${\varepsilon }_{m}$ under different carrier concentrations are calculated. We can notice the permittivity of monolayer ${{\rm{MoS}}}_{2}$ increases with the carrier concentration. Similar to graphene material, the n-doped ${{\rm{MoS}}}_{2}$ material behaves similar to metallic materials [43]. Therefore, similar to graphene, the ${{\rm{MoS}}}_{2}$-strong SPP mode can also be tune by the carrier concentration, then transmission and absorption performance of the device can be controlled.
Figure 2. (a) The real part of the permittivity of the monolayer ${{\rm{MoS}}}_{2}$ with varying carrier concentrations; (b) the imaginary part of the permittivity of monolayer ${{\rm{MoS}}}_{2}$ with varying carrier concentrations.

3. Result and discussion

The red curve in figure 3(a) shows the calculated transmission spectrum under the TM-polarization. We can notice two transmission dips at corresponding resonance frequencies of 1.65 THz (marked by Dip1) and 3.16 THz (marked by Dip2) and one transmission peak at the corresponding resonance frequency of 2.42 THz (Peak). In the following, a Lorentzian mode theory model is used to fit the coupling effect between the two different modes [44,45].
Figure 3. (a) The transmission spectra of the FDTD simulation (red solid line) and theory spectrum (blue solid line); (b) the transmission spectra with three different structures; (c) the electric field distributions corresponding to different structures.
Here, the incident electric field is $E={E}_{0}{{\rm{e}}}^{j\omega t}$. Then, the model can be described by the following two equations
$\begin{eqnarray}{\ddot{x}}_{1}(t)+{\gamma }_{a}{\dot{x}}_{1}(t)+{\omega }_{1}^{2}{x}_{1}(t)+{\kappa }^{2}{x}_{2}(t)={q}_{1}{E}_{0},\end{eqnarray}$
$\begin{eqnarray}{\ddot{x}}_{2}(t)+{\gamma }_{b}{\dot{x}}_{2}(t)+{\omega }_{2}^{2}{x}_{2}(t)+{\kappa }^{2}{x}_{2}(t)={q}_{2}{E}_{0},\end{eqnarray}$
where, $({x}_{1},{x}_{2})$, $({\omega }_{1},{\omega }_{2})$, and $({q}_{1},{q}_{2})$ are the displacements, resonant frequencies, and coupling strength coefficients with THz waves, respectively. $({\gamma }_{a},{\gamma }_{b})$ are the loss terms associated with the metasurface structures which are closely to ${\gamma }_{1}$ and ${\gamma }_{2}$ for each individual metasurface structure. In addition, and ${\gamma }_{b}=({\gamma }_{2}-{\gamma }_{1})/2$. To better align with our model, phase information $\phi $ has been incorporated [46]. The $\kappa $ represents the coupling strength with loss, and the energy loss during the transfer from one cross shape to the square frame. $\kappa $ can be calculated using the following formula
$\begin{eqnarray}\kappa =g-{\rm{i}}\sqrt{{\gamma }_{a}{\gamma }_{b}}{{\rm{e}}}^{{\rm{i}}\phi },\end{eqnarray}$
where, g represents the coupling strength between two bright modes, and Φ can be written as
$\begin{eqnarray}\phi =\left({\phi }_{1}-{\phi }_{2}\right)\left({\omega }_{1}+{\omega }_{2}\right)/2.\end{eqnarray}$
By solving equations (3) and (4), combined with (5) and (6), The effective electric susceptibility of the modes can be derived as
$\begin{eqnarray}\begin{array}{lll}{\chi }_{\mathrm{eff}} & =& \displaystyle \frac{K}{{{P}_{1}}^{2}{P}_{2}}\left(\displaystyle \frac{{P}_{1}\left({P}_{2}+1\right){\kappa }^{2}+{{P}_{1}}^{2}\left({\omega }^{2}-{{\omega }_{2}}^{2}\right)+{P}_{2}\left({\omega }^{2}-{{\omega }_{1}}^{2}\right)}{{\kappa }^{4}-\left({\omega }^{2}-{{\omega }_{1}}^{2}+{\rm{i}}\omega {\gamma }_{a}\right)\left({\omega }^{2}-{{\omega }_{2}}^{2}+{\rm{i}}\omega {\gamma }_{b}\right)}\right.\\ & & \left.+{\rm{i}}\omega \displaystyle \frac{{{P}_{1}}^{2}{\gamma }_{b}+{P}_{2}{\gamma }_{a}}{{\kappa }^{4}-\left({\omega }^{2}-{{\omega }_{1}}^{2}+{\rm{i}}\omega {\gamma }_{a}\right)\left({\omega }^{2}-{{\omega }_{2}}^{2}+{\rm{i}}\omega {\gamma }_{b}\right)}\right),\end{array}\end{eqnarray}$
where, the $K$ is the proportionality factor of the ${{\rm{MoS}}}_{2}$-based THz metasurface, ${P}_{1}$ is the ratio of coupling strength coefficients with incident waves in single structure, and ${P}_{2}$ is the ratio of effective mass between the two structures. Moreover, the transmission T is
$\begin{eqnarray}T=1-\rm{Im}\left({\chi }_{\mathrm{eff}}\right).\end{eqnarray}$
By combining with (7) and (8), the transmission spectrum of the ${{\rm{MoS}}}_{2}$-based THz metasurface can be derived. The simulation results and theoretical fittings are presented in figure 3(a). It can be observed that the theoretical results are in good agreement with the simulation outcomes.
To explain the contribution of each component, the transmission spectra of the individual components and the hybrid components are shown in figure 3(b). We can find that, both the cross-shaped and square structures of the metasurface can exhibit a bright mode under the excitation of an electromagnetic wave in TM-polarization. Two resonant frequencies are different because the physical dimensions of the two MoS2 structures are different. For a single square structure, as shown in figure 3(b), we can notice a transmission valley located at 1.81 THz (marked by mode B), the square structure resonator can be directly excited by the input electromagnetic wave, which can be seen as a bright mode. The field pattern of 1.81 THz is depicted in figure 3(c), and we can observe that a strongly localized surface plasmon resonance (LSPR) is excited, and a dipole resonance mode is excited along the x direction. For a single cross-shaped structure, as shown in figure 3(b), we can notice a transmission valley located at 3.03 THz (marked by mode C). The electric and magnetic field distribution of 3.03 THz is shown in figure 3(c), and we can observe a strong dipole plasmon resonance excited at the two ends of the horizontal arm. Thus, the cross-shaped structure can be seen as another bright mode. It is evident that both sub-resonators exhibit transmission characteristics of a single dip. So we can know that, a metasurface can generate BB-PIT under the excitation of electromagnetic waves when the two structures are combined. The PIT transmission peak at a frequency of 2.42 THz is located between transmission Dip1 (1.65 THz) and Dip2 (3.16 THz). These two dips approaching consensus to the frequencies of modes B and C. Due to the presence of weak coupling, the resonance frequencies of the coupled structure do not precisely match the results obtained when each sub-resonator is simulated individually.
To reveal the physical mechanism of the PIT spectrum, the electric field distribution and magnetic field distribution of the corresponding two dips and peak are depicted. As shown in figures 4(a) and (d), we can observe that the electric field is distributed at the two ends of the cross resonator, a part of energy is confined at the left and right sides of the square resonator. The amplitude of a magnetic field is two orders of magnitude smaller than that of an electric field, so we mainly analyze the electric field. For the transmission peak, as exhibited in figures 4(b) and (e), the electric field is more localized in the air gap between the cross and square resonators. figures 3(c) and (f) exhibit the field distribution of Dip2, we can notice the electric field is totally concentrated at the two ends of the cross resonator. Therefore, we can conclude that the destructive effect between the bright modes supported by the two substructures leads to the appearance of the PIT spectral line.
Figure 4. Electric field distributions and magnetic field distributions in the x-y plane at different frequencies (a), (d) 1.65 THz; (b), (e) 2.42 THz; (c), (f) 3.16 THz.
In order to study the effect of structural parameters on the PIT of the ${{\rm{MoS}}}_{2}$-based THz metasurface. The parameters of the cross-shaped and square structures were changed respectively, and the results are shown in figure 5. As shown in figure 5(a), the effect of the length of the cross ${l}_{1}$ on the PIT spectrum is studied by the controlling variable method. We can observe that the PIT window gradually decreases when increasing the size of ${l}_{1}$. The resonant frequencies of Dip2 and Peak exhibited a red shift with different degrees, the change of Dip1 is relatively weak, it is not difficult to see from the previous field diagram that ${l}_{1}$ has a greater impact on Dip2. The impact of the cross width ${w}_{1}$ on the PIT spectrum is analyzed, as illustrated in figure 5(b). We can see that the PIT window gradually increases with increasing size of ${w}_{1}$. The resonant frequencies of Dip1 and Peak exhibited a slightly red shift with different degrees, and the change of Dip2 is weak, causing an increase in the width of the PIT spectrum. As shown in figure 5(c), the effect of the width of the square ${l}_{2}$ on the PIT spectrum is analyzed. We can observe that the PIT window gradually increases with the increasing size of ${l}_{2}$. The resonant frequencies of Dip1 exhibited a red shift while the changes of Peak and Dip2 can be ignored, this pattern of change is consistent with the field diagram, since the size of the square resonator is related to the first transmission dip. The impact of the square width ${w}_{2}$ on the PIT spectrum is analyzed, as illustrated in figure 5(d). We can observe that the PIT window gradually decreases with increasing the size of ${l}_{2}$. The resonant frequencies of Dip1 exhibited a blue shift while the changes of Peak and Dip2 can be ignored. Moreover, we also investigated the effect of variations in the height of the TOPAS dielectric $h$ and structural period $P$ on the transmission spectrum, as depicted in figures 5(e) and (f). The variations in both factors have a minimal impact on the transmission spectrum. In the end, we determine that the optimal parameter of $h$ is $h=30\,{\rm{\mu }}{\rm{m}}$ and $P$ is $P=60\,{\rm{\mu }}{\rm{m}}$. Therefore, we can tune the width of the PIT window by changing the parameter sizes of cross and square structures.
Figure 5. The transmission spectra with different structural parameters: (a) ${l}_{1}$ is allowed to change; (b) ${w}_{1}$ is allowed to change; (c) ${l}_{2}$ is allowed to change; (d) ${w}_{2}$ is allowed to change; (e) h is allowed to change; (f) $Px=Py=P$ is allowed to change.
In addition, the effect of the cross-angle was also investigated. The cross-angle is the angle between the arm of the cross resonator and the horizontal direction. As shown in figures 6(a)-(c), the schematic diagrams and simulation spectra of several cross angles are depicted. The first image in figure 6(a) illustrates the structure we proposed, corresponding to the case when the angle $\alpha =0^\circ $. As shown in figure 6(b), when $\alpha =30^\circ $, $\alpha =45^\circ $ or $\alpha =60^\circ $, we can observe when $\alpha =0^\circ $, the peak of PIT is the highest because in this case, the minimum coupling distance between the two substructures results in the maximum coupling strength. From figure 9(c), we can see that at the angle $\alpha =0^\circ $, the electric field energy is more concentrated and focused at the air gap between the two substructures. When $\alpha =30^\circ $, $\alpha =45^\circ $ or $\alpha =60^\circ $, the electric dipole resonance mode is still excited by the two arms of the cross structure, the PIT spectral lines can still be maintained well. When $\alpha =60^\circ $, as the two arms of the cross resonator move closer to the upper and lower sides of the square resonator, the four inner edges of the square structure can be weakly excited, compared with the local fields on the left and right sides, the electric fields on the upper and lower inner sides of the square structure are relatively stronger. This asymmetric coupling causes the PIT peak shift towards higher frequency, the PIT spectral lines become asymmetric, similar to the Fano resonance spectral lines. Therefore, the above result demonstrates that the proposed structure possesses significant production errors to ensure the stability of the PIT spectrum.
Figure 6. (a)-(c) The schematic diagrams under the conditions of different angles of intersection; (d) absorption spectra of the absorber under the conditions of different angles of intersection; (e)-(g) the distributions of electric fields |E| in the y-z planes through the center of the cross under the conditions of different angles of intersection.
From the above discussion, we understand that the transmission response can be tuned by controlling the carrier concentration of ${{\rm{MoS}}}_{2}$. We compared the transmission spectra with different carrier concentrations and the condition of an uncoated monolayer ${{\rm{MoS}}}_{2}$, as shown in figure 7. Obviously, in the absence of monolayer ${{\rm{MoS}}}_{2}$, the absorptivity is about 0. The black curve (without ${{\rm{MoS}}}_{2}$) represents that the incident THz wave can easily be transmitted. As the carrier concentration increases, the PIT window expands, and the transmission spectrum exhibits a blue shift. Hence, it further illustrates that the PIT width and resonance frequency can be adjusted by controlling the carrier concentration. figure 8 shows the FDTD simulated spectra and theoretical fitted spectra with different carrier concentrations. We can observe the simulation results are generally consistent with the theoretical calculations.
Figure 7. Absorption spectra of the absorber under the conditions of uncoated monolayer ${{\rm{MoS}}}_{2}$ and different carrier concentrations from $n=1.0\times {10}^{14}\,{{\rm{cm}}}^{-2}$ to $n=9.5\times {10}^{14}\,{{\rm{cm}}}^{-2}$.
Figure 8. The FDTD simulated and theory fitted spectra with different carrier concentrations.
Additionally, the proposed structure has significant research value in the sensing direction, and the analysis of its sensing principles is as follows: with the incident THz wave, the surface plasmon polariton (SPP) resonance is generated at the interface of the monolayer ${{\rm{MoS}}}_{2}$ and TOPAS. To further investigate the RI sensitivity of the proposed structure, the transmission performances of analytes with refractive indices ranging from 1 to 1.4 are depicted. The frequency shifts with different refractive indices are shown in figure 9(a). With the increasing refractive index, the frequency of peak is shifted from 2.42 THz to 2.03 THz. The correlation coefficients of dips and peaks are ${{R}_{1}}^{2}=0.9963$, ${{R}_{2}}^{2}=0.9957$ and ${{R}_{3}}^{2}=0.9977$, respectively. This indicates that the shifts of dips and peaks can be approximated as a linear shift. The good linear relationship between the resonance frequency and the refractive index indicates that the proposed ${{\rm{MoS}}}_{2}$-based metamaterial can be used for sensing applications. The sensitivity S stands for the frequency shift caused by the change in the refractive index per unit, which can be calculated by [47]
$\begin{eqnarray}S=\displaystyle \frac{{\rm{\Delta }}\lambda }{{\rm{\Delta }}n}.\end{eqnarray}$
The S values of the Dip1, Peak, and Dip2 are $0.48\,{\rm{THz}}\,{{\rm{RIU}}}^{-1}$, $0.98\,{\rm{THz}}\,{{\rm{RIU}}}^{-1}$, and $0.78\,{\rm{THz}}\,{{\rm{RIU}}}^{-1}$, respectively. The S of the peak is the biggest, this is because for the PIT peak, the surface of ${{\rm{MoS}}}_{2}$ has a stronger electric field density, which is more sensitive to the changes of the analyte. The sensor performance is also evaluated using the figure of merit (FOM), which can be defined as [48]
$\begin{eqnarray}{\rm{F}}{\rm{O}}{\rm{M}}=\displaystyle \frac{S}{{\rm{F}}{\rm{W}}{\rm{H}}{\rm{M}}}.\end{eqnarray}$
figure 9(b) shows the FOM values of Dip1, Peak, and Dip2 are $0.54\,{{\rm{RIU}}}^{-1}$, $1.10\,{{\rm{RIU}}}^{-1}$ and $0.88\,{{\rm{RIU}}}^{-1}$, respectively. As a reference, we compare the sensing performance with other studies in table 1. We can observe that the proposed sensor possesses a wider working band and a relatively better of S. The quality factor Q can be calculated by FWHM and the resonance wavelength.
$\begin{eqnarray}Q=\displaystyle \frac{f}{{\rm{F}}{\rm{W}}{\rm{H}}{\rm{M}}}.\end{eqnarray}$
Table 1. Performance comparisons of the proposed PIT metamaterial structure with other similar structures.
References Materials Working band Window properties Sensitivity-max FOM-max Group delay-max
[51] ${\rm{CNTs}},{\rm{Si}}$ 0.6-2.5 THz Single 0.74 THz RIU-1 0.54 ps
[52] ${\rm{CNTs}},{\rm{polymide}}$ 0.6-1.2 THz Single 0.32 THz RIU-1 2.12 ps
[53] ${\rm{Graphene}},{{\rm{SiO}}}_{2},{\rm{Si}}$ 0.3-1.8 THz Single 0.34 THz RIU-1 3.60 ps
[54] ${\rm{Graphene}},{\rm{dielectric}}$ 30-75 THz Single 0.36 ps
[55] ${\rm{Graphene}},{{\rm{SiO}}}_{2}$ 1-7 THz Single 1.34 THz RIU-1
[56] ${\rm{CNTs}},{\rm{Si}},{\rm{sapphire}}$ 0.6-2.5 THz Double 1.12 THz RIU-1 5.77 RIU-1 1.71 ps
[57] ${\rm{Graphene}},{\rm{Gold}}{,{\rm{SiO}}}_{2}$ 0.3-1.3 THz Single 0.19 THz RIU-1 2.94 ps
[58] ${\rm{Gold}},{\rm{Substrate}}$ 0.4-1.2 THz Double 0.14 THz RIU-1
Our work ${{\rm{MoS}}}_{2},{\rm{TOPAS}}$ 0.5-3.7 THz Single 0.98 THz RIU-1 1.10 RIU-1 0.52 ps
Figure 9(b) also shows the relationship between Q and the refractive index. We can notice the maximum Q-factor is 2.72. The results illustrate that the sensor exhibits a good sensing performance during the detection process in the terahertz region.
Figure 9. (a) The relationship between the resonant frequency and the refractive index. (b) the relationship between environment refractive index, FOM, and quality factor (Q-factor).
Finally, it is well known that a key characteristic of PIT response is the strong phase dispersion within the transparent window region, which leads to a reduction in the group velocity [49]. After obtaining the phase shift $\varphi $ of the transmission spectrum, the group delay (${\tau }_{g}$) can be calculated using the following equation
$\begin{eqnarray}{\tau }_{g}=-{\rm{d}}\varphi /{\rm{d}}\omega ,\end{eqnarray}$
where $\omega $ indicates the resonant frequency. The curves of $\varphi $ and ${\tau }_{g}$ are presented in figure 10. It can be observed that the phase mutation occurs and the phase dispersion occurs at the position of the transparent window, which results in a significantly enhanced group delay. At the frequency of transparent Dip1, the group delay can reach $0.52\,{\rm{ps}}$. The delay bandwidth product (DBP) is defined as the product of maximum group delay and the spectrum bandwidth ($\mathrm{DBP}={t}_{g}\times \mathrm{FWHM}$). DBP is a figure of merit to determine the efficiency of the devices for telecommunication channels, where the maximum DBP implies that the device is more efficient to store and transmit the information through the signal channel. The calculated DBP for the proposed structure is about 0.76. In contrast other paper [50], that experimentally obtains delay bandwidth product (DBP) for selectively reconfigurable coupled-mode resonators THz MEMS metamaterial is only 0.32. It means our structure is more efficient to store and transmit the information through the signal channel. The proposed ${{\rm{MoS}}}_{2}$-based metamaterial can be obtained by chemical vapor deposition (CVD) methods [59]. First, the TOPAS substrate can be deposited by physical vapor deposition. Then, the ${{\rm{MoS}}}_{2}$ layer grown by chemical vapor deposition is transferred onto the TOPAS substrate, and then patterned into square cross arrays using electron-beam lithography followed by oxygen plasma etching [54,60]. According to the paper [41,61], the structure designed in this article is feasible.
Figure 10. (a) Phase difference of the PIT spectrum; (b) group delay of the PIT spectrum.

4. Conclusion

In this paper, we propose a PIT structure based on the ${{\rm{MoS}}}_{2}$ metamaterial. By analyzing each component and the electric field distributions, we found that the PIT effect is originated from the bright-bright mode coupling. The theoretical analysis using the Lorentzian model effectively verified the FDTD simulation results. We investigate the relationship between the coupling distance and angle between the cross-shaped and square structures, along with the effects of carrier concentration in ${{\rm{MoS}}}_{2}$. The effect of background refractive index on the PIT spectrum is analyzed in detail. Besides, the PIT curve can be applied in sensing and slow light. The maximum sensitivities and time delay of the proposed structure are $1.10\,{{\rm{RIU}}}^{-1}$, and $0.52\,{\rm{ps}}$, respectively. For telecommunication channels, the excellent value of DBP is about 0.76. In a word, this paper provides insights for future research on the PIT effect in TMDCs.

Declaration of interest statement

We declare that we have no financial or personal relationships with other people or organizations that can inappropriately influence our work, there is no professional or other personal interest of any nature or kind in any product, service and/or company that could be construed as influencing the position presented in, or the review of, the manuscript entitled, “Plasmon-induced transparency based on a molybdenum disulfide film terahertz metasurface for sensing applications”.

Funding

This work is supported by the National Natural Science Foundation of China (Grant Nos. 12075036, 12375008). Hubei Provincial Natural Science Foundation Innovation Group Project (Grant No. 2023AFA025). The Open Foundation Project of Hubei Key Laboratory of Optical Information and Pattern Recognition, Wuhan Institute of Technology.

Data availability statement

The data that supports the findings of this study is available upon reasonable request from the authors.

Authorship contribution statement

YW: Investigation, conceptualization, methodology, software, formal analysis, writing—original draft, writing—review & editing. FC: Investigation, methodology, software, formal analysis, writing—original draft, writing—review & editing, funding acquisition. WY: Supervision, formal analysis, writing—review & editing. ZY: Supervision.
1
Papasimakis N, Fu Y, Fedotov V, Prosvirnin S, Tsai D, Zheludev N 2009 Metamaterial with polarization and direction insensitive resonant transmission response mimicking electromagnetically induced transparency Appl. Phys. Lett. 94 211902

DOI

2
Lao C, Liang Y, Wang X, Fan H, Wang F, Meng H, Guo J, Liu H, Wei Z 2019 Dynamically tunable resonant strength in electromagnetically induced transparency (EIT) analogue by hybrid metal-graphene metamaterials Nanomaterials 9 171

DOI

3
Liu C, Liu P, Bian L, Zhou Q, Li G, Liu H 2018 Dynamically tunable electromagnetically induced transparency analogy in terahertz metamaterial Opt. Commun. 410 17 24

DOI

4
Fleischhauer M, Imamoglu A, Marangos J P 2005 Electromagnetically induced transparency: optics in coherent media Rev. Mod. Phys. 77 633

DOI

5
Marangos J P 1998 Electromagnetically induced transparency J. Mod. Opt. 45 471 503

DOI

6
Lechner R, Maier C, Hempel C, Jurcevic P, Lanyon B P, Monz T, Brownnutt M, Blatt R, Roos C F 2016 Electromagnetically-induced-transparency ground-state cooling of long ion strings Phys. Rev. A 93 053401

DOI

7
Novikova I, Walsworth R L, Xiao Y 2012 Electromagnetically induced transparency-based slow and stored light in warm atoms Laser Photon. Rev. 6 333 353

DOI

8
Abdumalikov A A, Jr, Astafiev O, Zagoskin A M, Pashkin Y A, Nakamura Y, Tsai J S 2010 Electromagnetically induced transparency on a single artificial atom Phys. Rev. Lett. 104 193601

DOI

9
Chen J J, Wang C, Zhang R, Xiao J H 2012 Multiple plasmon-induced transparencies in coupled-resonator systems Opt. Lett. 37 5133 5135

DOI

10
Pan Y Z, Chen F, Yang J C, Li Y C, Yang W X, Wang B Y 2023 High-sensitivity sensor based on plasmon induced transparency in terahertz borophene metasurface Plasmonics 19 901 911

DOI

11
Lu H, Gan X T, Mao D, Jia B H, Zhao J L 2018 Flexibly tunable high-quality-factor induced transparency in plasmonic systems Sci. Rep. 8 1558

DOI

12
Wang X J, Meng H Y, Deng S Y, Lao C D, Wei Z C, Wang F Q, Tan C H, Huang X G 2019 Hybrid metal graphene-based tunable plasmon-induced transparency in terahertz metasurface Nanomaterials 9 385

DOI

13
Li Y C, Pan Y Z, Chen F, Cheng S B, Yang W X, Wang B Y, Yi Z 2023 Efficient terahertz sensor and modulator in patterned black phosphorus metasurface based on double plasmon induced transparency Plasmonics 19 711 709

DOI

14
Jia Z P, Huang L, Su J B, Tang B 2020 Tunable plasmon-induced transparency based on monolayer black phosphorus by bright-dark mode coupling Appl. Phys. Express 13 072006

DOI

15
Liu Y, Wang J Y, Yang D H, Wang Y, Zhang X Y, Hassan F, Li Y G, Zhang X Z, Xu J J 2022 Plasmon-induced transparency in a reconfigurable composite valley photonic crystal Opt. Express 30 4381 4391

DOI

16
Piao X J, Yu S, Park N 2012 Control of Fano asymmetry in plasmon induced transparency and its application to plasmonic waveguide modulator Opt. Express 20 18994 18999

DOI

17
Judy J W 2001 Microelectromechanical systems (MEMS): fabrication, design and applications Smart Mater. Struct. 10 1115

DOI

18
Zhang Y D, Li J, Li H Y, Yao C B, Yuan P 2013 Plasmoninduced-transparency in subwavelengthstructures Opt. Laser Technol. 49 202 208

DOI

19
Peng B, Ozdemir S K, Chen W, Nori F, Yang L 2014 What is and what is not electromagnetically induced transparency in whispering-gallery microcavities Nat. Commun. 5 5082

DOI

20
Xu H, Li H J, He Z H, Chen Z Q, Zheng M F, Zhao M Z 2017 Dual tunable plasmon-induced transparency based on silicon-air grating coupled graphene structure in terahertz metamaterial Opt. Express 25 20780 20790

DOI

21
Wu P C, Chen W T, Yang K Y, Hsiao C T, Sun G, Liu A Q, Zheludev N I, Tsai D P 2012 Magnetic plasmon induced transparency in three-dimensional metamolecules Nanophotonics 1 131 138

DOI

22
Xiao S Y, Wang T, Liu T T, Yan X C, Li Z, Xu C 2018 Active modulation of electromagnetically induced transparency analogue in terahertz hybrid metal-graphene metamaterials Carbon 126 271 278

DOI

23
Wang B X, Duan G Y, Lv W Z, Tao Y, Xiong H, Zhang D Q, Yang G F, Shu F Z 2023 Design and experimental realization of triple-band electromagnetically induced transparency terahertz metamaterials employing two big-bright modes for sensing applications Nanoscale 15 18435 18446

DOI

24
Yahiaoui R, Manjappa M, Srivastava Y K, Singh R 2017 Active control and switching of broadband electromagnetically induced transparency in symmetric metadevices Appl. Phys. Lett. 111 021101

DOI

25
Meng Q Q, Chen F, Xu Y P, Cheng S B, Yang W X, Yao D Z, Yi Z 2023 Multi-frequency polarization and electro-optical modulator based on triple plasmoninduced transparency in monolayer graphene metamaterials Diam. Relat. Mater. 138 110216

DOI

26
Feng S, Liu T, Chen W, Wu F, Xiao S 2023 Enhanced sum-frequency generation from etchless lithium niobate empowered by dual quasi-bound states in the continuum Sci. Chin. Phys. Mech. Astron. 66 124214

DOI

27
Liu T, Qiu J, Xu L, Qin M, Wan L, Yu T, Xiao S 2024 Edge detection imaging by quasi-bound states in the continuum Nano Lett. 24 14466 14474

DOI

28
Liu T, Qin M, Wu F, Xiao S 2023 High-efficiency optical frequency mixing in an all-dielectric metasurface enabled by multiple bound states in the continuum Phys. Rev. B 107 075441

DOI

29
Gao W, Chen F, Yang W 2025 Modulator and sensor based on in-plane mode weak coupling in borophene metamaterial Photon. Nanostruct. Fundament. Appl. 63 101366 101366

DOI

30
Li Z, Chen F, Yang W 2024 Magnetic field sensor based on multiple Fano resonance in metal-insulator-metal waveguide coupled with cross-shape resonator Phys. Scr. 99 125527

DOI

31
Shang X J 2017 Broad-band and high-efficiency polarization converters around 1550 nm based on composite structures Opt. Express 25 14406 14413

DOI

32
Bahauddin S M, Robatjazi H, Thomann I 2016 Broadband absorption engineering to enhance light absorption in monolayer MoS2 ACS Photon. 3 853 862

DOI

33
Zhang K 2017 A flexible p-CuO/n-MoS2 heterojunction photodetector with enhanced photoresponse by the piezo-phototronic effect Materials Horizons 4 274 280

DOI

34
Paul K K, Sreekanth N, Biroju R K, Narayanan T N, Giri P K 2018 Solar light driven photoelectrocatalytic hydrogen evolution and dye degradation by metal-free few-layer MoS2 nanoflower/TiO2(B) nanobelts heterostructure Sol. Energy Mater. Sol. Cells 185 364 374

DOI

35
Hu X, Zhao H, Tian J, Gao J, Li Y, Cui H 2017 Synthesis of few-layer MoS2 nanosheets-coated TiO2 nanosheets on graphite fibers for enhanced photocatalytic properties Sol. Energy Mater. Sol. Cells 172 108 116

DOI

36
Hossain M A, Merzougui B A, Alharbi F H, Tabet N 2018 Electrochemical deposition of bulk MoS2 thin films for photovoltaic applications Sol. Energy Mater. Sol. Cells 186 165 174

DOI

37
Janisch C 2016 MoS2 monolayers on nanocavities: enhancement in light-matter interaction 2D Mater. 3 025017

DOI

38
Li Y 2014 Measurement of the optical dielectric function of monolayer transition-metal dichalcogenides: MoS2, MoSe2, WS2, and WSe2 Phys. Rev. B 90 205422

DOI

39
Basharin A A, Chuguevsky V, Volsky N, Kafesaki M, Economou E N 2017 Extremely high Q-factor metamaterials due to anapole excitation Phys. Rev. B 95 035104

DOI

40
Reshetnyak V Y 2018 Surface plasmon absorption in MoS2 and graphene-MoS2 micro-gratings and the impact of a liquid crystal substrate AIP Adv. 8 045024

DOI

41
Wang X 2019 Angle insensitive broadband terahertz wave absorption based on molybdenum disulfide metamaterials Superlattices Microstruct. 135 106246

DOI

42
Elliott J D 2020 Surface susceptibility and conductivity of MoS2 and WSe2 monolayers: a first-principles and ellipsometry characterization Phys. Rev. B 101 045414

DOI

43
Huang Y 2017 Graphene/insulator stack based ultrasensitive terahertz sensor with surface plasmon resonance IEEE Photon. J. 9 1 11

44
He X, Sun C, Wang Y, Lu G, Jiang J, Yang Y, Gao Y 2021 Graphene-modulated terahertz metasurfaces for selective and active control of dual-band electromagnetic induced reflection (EIR) windows Nanomaterials 11 2420

DOI

45
Mcab C, Zxab C, Xlab C, Fei L, Zcab C, Qxab C 2020 Dynamically tunable multi-resonance and polarization-insensitive electromagnetically induced transparency-like based on vanadium dioxide film Opt. Mater. 102 109811

DOI

46
Huang W, Liu S Y, Cheng Y, Han J G, Yin S, Zhang W T 2021 Universal coupled theory for metamaterial bound states in the continuum New J. Phys. 23 093017

DOI

47
Zhao W H, Wang J Q, Li R, Zhang B 2022 Ultranarrow dual-band metamaterial perfect absorber and its sensing application J. Opt. 24 035103

DOI

48
Jiang L 2021 Multi-band and high-sensitivity perfect absorber based on monolayer graphene metamaterial Diam. Relat. Mater. 111 108227

DOI

49
Cai W, Xiao B, Yu J, Xiao L 2020 A compact graphene metamaterial based on electromagnetically induced transparency effect Opt. Commun. 475 126266

DOI

50
Pitchappa P, Manjappa M, Ho C P, Singh R, Singh N, Lee C 2016 Active control of electromagnetically induced transparency analog in terahertz mems metamaterial Adv. Opt. Mater. 4 541 547

DOI

51
Wang Y, Cui Z, Zhu D, Zhang X, Qian L 2018 Tailoring terahertz surface plasmon wave through free-standing multi-walled carbon nanotubes metasurface Opt. Express 26 15343 15352

DOI

52
Zhou T, Chen S, Zhang X, Zhang X, Hu H, Wang Y 2022 Electromagnetically induced transparency based on a carbon nanotube film terahertz metasurface Opt. Express 30 15436 15445

DOI

53
Liu C, Liu P, Yang C, Lin Y, Zha S 2018 Dynamic electromagnetically induced transparency based on a metal-graphene hybrid metamaterial Opt. Mater. Express 8 1132 1142

DOI

54
Guan J 2020 Two switchable plasmonically induced transparency effects in a system with distinct graphene resonators Nanoscale Res. Lett. 15 1 13

DOI

55
Chen S 2021 Dynamically tunable plasmon-induced transparency effect based on graphene metasurfaces J. Phys. D 55 115105

DOI

56
Li Y, Pan Y, Chen F, Ke S, Yang W 2024 Sensor and slow light based on plasmon-induced transparency in carbon nanotube rectangular split-ring resonator metamaterials Opt. Quantum Electron. 56 1003

DOI

57
Chen M, Xiao Z 2022 Metal-graphene hybrid terahertz metamaterial based on dynamically switchable electromagnetically induced transparency effect and its sensing performance Diam. Relat. Mater. 124 108935

DOI

58
Sarkar R, Devi K M, Ghindani D, Prabhu S S, Chowdhury D R, Kumar G 2020 Polarization independent double-band electromagnetically induced transparency effect in terahertz metamaterials J. Opt. 22 035105

DOI

59
Suk J W 2011 Transfer of CVD-grown monolayer graphene onto arbitrary substrates ACS Nano 5 6916 6924

DOI

60
Ge J, You C, Feng H, Li X, Wang M, Dong L, Yun M 2020 Tunable dual plasmon-induced transparency based on a monolayer graphene metamaterial and its terahertz sensing performance Opt. Express 28 31781 31795

DOI

61
Ge J, Zhang Y, Dong H, Zhang L 2022 Independently tunable infrared absorber using stacked molybdenum disulfide metasurfaces Appl. Surf. Sci. 574 151594

DOI

Outlines

/