Welcome to visit Communications in Theoretical Physics,
Atomic, Molecular, Optical (AMO) and Plasma Physics, Chemical Physics

Thermodynamic properties of parabolic quantum dots with Rashba spin-orbit interaction

  • Shu Tian , 1 ,
  • Zhonghua Wu , 2
Expand
  • 1Department of Physics and Electronic Information Engineering, Lyuliang University, Lvliang 033001, China
  • 2Faculty of Information Technology, Macau University of Science and Technology, Macau 999078, China

Received date: 2024-11-07

  Revised date: 2025-03-05

  Accepted date: 2025-03-05

  Online published: 2025-05-30

Copyright

© 2025 Institute of Theoretical Physics CAS, Chinese Physical Society and IOP Publishing. All rights, including for text and data mining, AI training, and similar technologies, are reserved.
This article is available under the terms of the IOP-Standard License.

Abstract

The effects of the Rashba spin-orbit interaction and external electric and magnetic fields on the thermodynamic properties of parabolic quantum dots are investigated. An explicit partition function is derived, and thermodynamic quantities, including specific heat, entropy, and magnetic susceptibility, are analyzed. The behavior of Shannon entropy-related thermodynamic quantities is examined under varying magnetic fields and Hamiltonian parameters through numerical analysis. The results reveal a pronounced Schottky anomaly in the heat capacity at lower temperatures. The susceptibility exhibits a progressive enhancement and transitions to higher values with changes in the quantum dot parameters. In the presence of the Rashba spin-orbit interaction, the specific heat increases with temperature, reaches a peak, and then decreases to zero. Additionally, the susceptibility increases with the β parameter for varying Rashba spin-orbit interaction coefficients, and at a fixed temperature, it further increases with the Rashba coefficient.

Cite this article

Shu Tian , Zhonghua Wu . Thermodynamic properties of parabolic quantum dots with Rashba spin-orbit interaction[J]. Communications in Theoretical Physics, 2025 , 77(9) : 095502 . DOI: 10.1088/1572-9494/adbdbc

1. Introduction

In recent years, there has been a noticeable surge of interest in nanostructures, spanning over several decades, primarily driven by the alluring and promising technological possibilities they offer in various fields of application. These nanoscale structures have captured the fascination and focus of researchers, scientists, and engineers alike, leading to a growing body of literature and research dedicated to exploring their potential impact and significance. The investigation of low-dimensional structures presents a compelling challenge owing to their significant utility in the fields of physics, chemistry, and engineering [1-4].
Low-dimensional structures, specifically quantum dots, have been the focus of comprehensive research efforts, both experimentally and theoretically, over the past few years. The examination of quantum dots with varying geometries, such as parabolic, lens-shaped, cone-like, Gaussian, modified Gaussian, and spheroidal, has been a prominent topic of discussion in academic circles for the past decade [5-10].
Due to their exceptional electrical and optical properties, quantum dots have found widespread technological applications in the field of optoelectronics. Their ability to absorb and emit light at any wavelength makes quantum dots fascinating candidates for developing diode lasers and solar cells. Moreover, their high efficiency in converting light into electricity positions them as crucial components in the next generation of photovoltaic systems [11-13]. An intriguing challenge in the field of physics is delving into the electronic and optical properties of quantum dots, as these nanostructures hold great potential for various applications. Over the past few years, extensive research has been dedicated to investigating the behavior of quantum dots under external influences such as spin-orbit interaction, magnetic and electric fields, temperature and pressure [14-18].
On the other hand, the Rashba spin-orbit interaction, stemming from the structure inversion asymmetry in nanostructures, is a crucial phenomenon enabling the realization of spin devices. These devices include the spin-field-effect transistor, spin interference devices, and a nonmagnetic spin filter that utilizes a resonant tunneling structure [19-22]. The Rashba term describes the momentum-dependent splitting of the spin band in both bulk and low-dimensional systems such as heterostructures, surface states, and quantum dots. This spin-orbit coupling is not influenced by the shape or geometry of the structures [23-29].
Rashba spin-orbit interaction is pivotal for advancing quantum information processing due to its ability to manipulate electron spins efficiently. This phenomenon couples the spin of electrons to their momentum, which is essential for the operation of qubits that can exist in superpositions of states. The enhanced control over qubit states facilitated by Rashba spin-orbit interaction allows for the development of more efficient quantum gates, which are fundamental components of quantum circuits. Furthermore, this interaction plays a significant role in spintronics, a field that leverages electron spin for information processing, making it a promising avenue for future quantum technologies. Additionally, the potential to realize topological qubits through Rashba spin-orbit interaction contributes to the stability of quantum information, as these qubits are robust against local perturbations. Sheng and Zheng [30] have studied the energy levels of a two-dimensional ring confining potential in the presence of the Rashba spin-orbit interaction. Shakouri et al [31] have investigated the simultaneous effects of Rashba and Dresselhaus spin-orbit interactions and magnetic field on the energy spectra and charge densities in a quasi-one-dimensional quantum rings. Cheng et al [32] have been studied the entropic uncertainty and quantum discord in two double-quantum-dot systems coupled via a transmission line resonator. Their results show that this investigation would provide an insight into the entropic uncertainty and quantum correlation in a double-quantum-dots system, and are basically of importance to quantum precision measurement in practical quantum information processing. Ferreira et al [33] have studied the thermal quantum coherence and fidelity in a two-level system with spin-orbit coupling. They have used Rashba coupling to tune the thermal entanglement, quantum coherence, and the thermal fidelity behavior of the system. It has been observed that the correlated coherence is more robust than the thermal entanglement in all cases, so quantum algorithms based only on correlated coherence may be stronger than those based on entanglement. Kachu et al [34] have investigated the Rashba and Dresselhaus spin-orbit interactions and the magnetic field on off-center hydrogen donor in a two-dimensional Gaussian GaAs quantum dot. Their results show that the Rashba spin-orbit interaction reduces, the Dresselhaus spin-orbit interaction and magnetic field enhances the energy of the impurity. Thus, Rashba spin-orbit interaction is crucial for the evolution of scalable and reliable quantum computing systems.
Among the various physical characteristics of quantum dots, there exists a limited number of investigations pertaining to their thermodynamic properties [35-38]. For instance, Ibragimov [39] has conducted an analysis on the thermodynamic attributes of asymmetric parabolic quantum dots. Given that the thermodynamic properties of quantum dots represent a compelling area of inquiry within the field of physics, we aim to examine thermodynamic quantities including energy, entropy, specific heat, and magnetic susceptibility of parabolic quantum dots.
The outline of this paper is as follows: in section 2, we give details of the energy levels of an electron within a parabolic quantum dot confined by a radial potential in the external electric and magnetic fields, with the inclusion of Rashba spin-orbit interaction. Then, we obtain the thermodynamic quantities in statistical mechanics such as entropy, specific heat and magnetic susceptibility for the system. In section 3, we have plotted figures for thermodynamic quantities with different parameters and compare curves in different conditions. In section 4, we summarize our conclusions and discuss the numerical results.

2. Theory and method of calculation

In this section, we introduce a model that utilizes the effective mass approximation framework to describe the Hamiltonian of an electron within a parabolic quantum dot confined by a radial potential. This model accounts for the influence of external electric and magnetic fields, with the inclusion of Rashba spin-orbit interaction. We consider an electron within a parabolic quantum dot confined by a radial potential under the influence of external electric and magnetic fields with Rashba spin-orbit interaction, the effective electronic Hamiltonian describing the system can be expressed as
$\begin{eqnarray}\displaystyle \begin{array}{cll}H & =& -\frac{{{\rm{\hslash }}}^{2}}{2{m}^{* }}\left[\frac{1}{\rho }\frac{\partial }{\partial \rho }\left(\rho \frac{\partial }{\partial \rho }\right)+\frac{{\partial }^{2}}{{\partial z}^{2}}+\frac{1}{{\rho }^{2}}\frac{{\partial }^{2}}{{\partial \varphi }^{2}}\right]\\ & & +\frac{1}{8}{\omega }_{{\rm{c}}}{l}_{{\rm{z}}}+\frac{1}{2}{m}^{* }{{\rm{\Omega }}}^{2}{\rho }^{2}-{\rm{e}}{Fz}+\frac{1}{2}{g}_{{\rm{s}}}{\mu }_{{\rm{B}}}B\sigma \\ & & +\frac{1}{2}{m}^{* }{\omega }_{0}^{2}\,{z}^{2}+{H}_{{\rm{SO}}},\end{array}\end{eqnarray}$
where ${m}^{* }$ is the electron effective mass, $\rho $ and $\varphi $ refer to the electron position vector, ${g}_{{\rm{s}}}$ is the effective Landé factor, ${\mu }_{{\rm{B}}}={\rm{e}}{\rm{\hslash }}/2{m}_{0}$ is the Bohr magneton and ${m}_{0}$ is the free-electron mass, ${l}_{z}$ is the projection of the angular momentum onto the magnetic field B direction, ${\rm{\hslash }}{\omega }_{0}$ is the confinement potential strength corresponding to the size of the quantum dot, ${\omega }_{{\rm{c}}}=\frac{{\rm{e\; B}}}{{m}^{* }{\rm{c}}}$ is the cyclotron frequency and $F$ is the electric field. Also, ${H}_{{\rm{SO}}}$ is the Rashba spin-orbit interaction Hamiltonian in an external magnetic field B and given by
$\begin{eqnarray}{H}_{{\rm{SO}}}=\frac{\alpha }{{\rm{\hslash }}}\left[{\boldsymbol{\sigma }}\times \left({\boldsymbol{P}}+\frac{{\rm{e}}}{c}{\boldsymbol{A}}\right)\right]\hat{n},\,\end{eqnarray}$
where ${\boldsymbol{A}}$ and ${\boldsymbol{P}}$ are the vector potential and the momentum operator, respectively. ${\boldsymbol{\sigma }}$ denotes the Pauli spin matrices, $\hat{n}$ is normal to the surface and the term $\alpha $ indicates the strength of the spin-orbit interaction. By employing the method of variable separation, individuals are able to determine the solutions to the eigenvalue equation, the eigen functions are given by [40]
$\begin{eqnarray}\begin{array}{ccl}{{\rm{\Psi }}}_{n,l,\sigma }\left(\rho ,\varphi \right) & =& {\left(\frac{{m}^{* }{\omega }_{0}\,}{\pi {\rm{\hslash }}}\right)}^{\frac{1}{4}}\sqrt{\frac{{\rm{\Omega }}\left(\left|l\right|+n\right)!}{2\pi {2}^{\left|l\right|}n!{\left(l!\right)}^{2}}}{{\rm{e}}}^{-{\rm{i}}l\varphi }\\ & & \times \,{{\rm{e}}}^{\left({\rm{\Omega }}\frac{{\rho }^{2}}{4}\,-{\left(\frac{{\rm{e}}F\,}{{m}^{* }{\omega }_{0}^{2}}\right)}^{2}\right)}{\left(\mathrm{\Omega \; \rho }\right)}^{\frac{\left|l\right|}{2}}{L}_{n}^{\left|l\right|}\left[\left({\rm{\Omega }}\frac{{\rho }^{2}}{2}\right)\right],\end{array}\end{eqnarray}$
and the corresponding energy eigenvalues comes out to be
$\begin{eqnarray}\displaystyle \begin{array}{ccl}E\left(n,l,\sigma \right) & =& {\rm{\hslash }}{\rm{\Omega }}\left(n+\frac{1+\left|l\right|}{2}\right)+\frac{l{\rm{\hslash }}{\omega }_{{\rm{c}}}}{2}\\ & & +{\rm{\hslash }}\sigma \left(\frac{{g}_{{\rm{s}}}}{4}{\omega }_{{\rm{c}}}+{\alpha }_{{\rm{R}}}l{\omega }_{0}^{2}\right)-\frac{{\rm{e}}F\,}{2{m}^{* }{\omega }_{0}}.\end{array}\end{eqnarray}$
Here, $n$, $l$ are the quantum numbers and ${L}_{n}^{\left|l\right|}\left(\xi \right)$ is the associated Laguerre polynomial. Also, $\sigma =\pm 1$ correspond to the spin-polarization along the z axis in the magnetic field direction, ${\alpha }_{{\rm{R}}}$ denoting the Rashba spin-orbit interaction coefficient and ${\rm{\Omega }}=\sqrt{{\omega }_{{\rm{c}}}^{2}+4{\omega }_{0}^{2}+\sigma {\alpha }_{{\rm{R}}}m{\omega }_{0}^{2}{\omega }_{{\rm{c}}}}$.
From a theoretical perspective, numerous efficient methods exist for the computation of energy levels in nanostructured systems. Illustrations of such methods include the density functional theory and the Pekar-type variational approach. For example, Chen and Xiao [41] conducted calculations on the electronic and excitonic properties of two-dimensional InN crystals through the employment of density functional theory. The computational procedures described above were carried out using numerical techniques, which allowed for a detailed analysis of the material's characteristics. The variational approach employed in this investigation is rooted in the Pekar-type method, which relies on the use of trial wave functions to approximate the system's behavior. It is important to note that while this method provides valuable insights, it is inherently an approximation due to its simplified nature. The primary focus of our current research endeavor was to solve the Schrödinger equation for the system under consideration and subsequently derive the corresponding energy levels through analytical means. One key advantage of the methodology adopted in this particular study lies in its ability to yield analytical expressions for the wave functions and energy levels, offering a more comprehensive understanding of the system's quantum mechanical properties.

3. Thermodynamic properties

A good point to begin when determining the thermodynamic properties of the system is by examining the partition function [42,43]. This function can be computed by directly summing over all potential states that the system can occupy
$\begin{eqnarray}Q=\displaystyle \sum _{n,l,\sigma }{{\rm{e}}}^{-\beta E\left(n,l,\sigma \right)}.\end{eqnarray}$
By substituting the expression derived in equation (3) into the mathematical expression denoted as equation (4), it is possible to deduce the partition function that characterizes the system under consideration. Once the partition function has been obtained through this process, it opens up the possibility for individuals to engage in the computation and determination of various thermodynamic properties and functions of the system by leveraging a set of prescribed mathematical relationships that link different thermodynamic quantities and variables together in a coherent and systematic manner. After calculating some integrals the partition function can be written as [44-47]
$\begin{eqnarray}\displaystyle \begin{array}{ccl}Q & =& \frac{{{\rm{e}}}^{\beta \left[\frac{{\rm{\hslash }}{\rm{e}}F}{2{m}^{* }{\omega }_{0}}\right]}\left({{\rm{e}}}^{\beta {\rm{\hslash }}\frac{{g}_{{\rm{s}}}}{4}{\omega }_{{\rm{c}}}}+{{\rm{e}}}^{-\beta {\rm{\hslash }}\frac{{g}_{{\rm{s}}}}{4}{\omega }_{{\rm{c}}}}\right)}{\left[{{\rm{e}}}^{-\beta {\rm{\hslash }}{\omega }_{0}}-1\right]}\\ & & \times \,\frac{\left[{{\rm{e}}}^{-\frac{\beta {\rm{\hslash }}{\rm{\Omega }}}{2}}+{{\rm{e}}}^{-\beta \left[{\rm{\hslash }}{\rm{\Omega }}\left(M+2\right)+2{\alpha }_{{\rm{R}}}{\omega }_{0}^{2}\left(M+1\right)+\frac{\left(M+1\right){\rm{\hslash }}{\omega }_{{\rm{c}}}}{2}\right]}\right]}{\beta \left({\rm{\hslash }}{\rm{\Omega }}+2{\alpha }_{{\rm{R}}}{\omega }_{0}^{2}+{\rm{\hslash }}{\omega }_{{\rm{c}}}\right)}.\end{array}\end{eqnarray}$
In order to calculate the other thermodynamic properties of the system, we have meticulously assessed the average energy derived from the statistical energy formulation
$\begin{eqnarray}\left\langle U\left(\beta ,{\omega }_{c},{\omega }_{0},F\right)\right\rangle =\frac{\displaystyle {\sum }_{n,m,{n}_{z}}E\left(n,l,\sigma \right){{\rm{e}}}^{-\beta E\left(n,l,\sigma \right)}}{\displaystyle {\sum }_{n,l,\sigma }{{\rm{e}}}^{-\beta E\left(n,l,\sigma \right)}}.\end{eqnarray}$
Then, to find the specific heat, we can use equation (6) and take the temperature derivative of the mean energy as [45,47]
$\begin{eqnarray}{C}_{v}\left(\beta ,{\omega }_{{\rm{c}}},{\omega }_{0},F\right)=\frac{\partial \left\langle U\left(\beta ,{\omega }_{{\rm{c}}},{\omega }_{0},F\right)\right\rangle }{\partial T}.\end{eqnarray}$
Also, the entropy can be determined using the following equation [44,47]
$\begin{eqnarray}{\rm{S}}\left(\beta ,{\omega }_{{\rm{c}}},{\omega }_{0},F\right)=\frac{\partial {k}_{{\rm{B}}}T\mathrm{ln}\left\langle Q\left(\beta ,{\omega }_{{\rm{c}}},{\omega }_{0},F\right)\right\rangle }{\partial T}.\end{eqnarray}$
And for Magnetic Susceptibility, we use the following relation
$\begin{eqnarray}{\rm{\chi }}\left(\beta ,{\omega }_{{\rm{c}}},{\omega }_{0},F\right)=-\frac{{\partial }^{2}\left({-k}_{{\rm{B}}}T\mathrm{ln}\left\langle Q\left(\beta ,{\omega }_{{\rm{c}}},{\omega }_{0},F\right)\right\rangle \right)}{\partial {B}^{2}}.\end{eqnarray}$
It is essential to consider the influence of factors like mean energy, specific heat, free energy, and magnetic susceptibility. These factors are all connected through the partition functions. By calculating the partition function, we can establish relationships between these factors using the equations mentioned above.

4. Results and discussion

In this particular section of our analysis, we have studied the effects of temperature and the magnetic field on the entropy, specific heat and magnetic susceptibility of these unique parabolic quantum dots.
We have computed the entropy as a function of the inverse temperature $(\beta )$, as illustrated in figure 1 with different ${\omega }_{0}$. The anticipated enhancement in the system's entropy concomitant with the increase in temperature is noteworthy. At lower temperature regimes, the behavior exhibits qualitative differences when juxtaposed with that observed at relatively elevated temperatures; specifically, entropy displays a monotonically increasing trend at high temperatures, while at lower temperatures, the entropy escalates at a considerably rapid rate. The thermal energy associated with electrons induces a greater degree of disorder, manifested as random motion, thereby leading to an increase in entropy with an ascending temperature. At absolute zero, the sole occupation of the lowest energy level results in entropy approaching zero, concomitant with a minimal probability of transition to a higher energy state. As the temperature rises, there is a concomitant increase in entropy, which consequently elevates the probability of such transitions. Furthermore, it is observed that the incorporation of Rashba spin-orbit interaction within the quantum dot significantly diminishes the entropy of the quantum dot, as the electrons become increasingly bound, thereby reducing disorder and culminating in a substantial decrease in the entropy of the quantum dot.
Figure 1. Entropy as a function of $\beta $ for different ${\omega }_{0}$. As can be seen, the entropy increases by enhancing the $\beta $ parameter for all ${\omega }_{0}$.
The variation of entropy with respect to $\beta $ parameter at different ${\rm{\Omega }}$ is shown in figure 2. The illustration demonstrates that the entropy exhibits an upward trend concomitant with the escalation of the $\beta $ parameter, as this augmentation in $\beta $ facilitates a greater number of configurations for the distribution of atoms within the specified volume, thereby resulting in elevated entropy. The figure shows clearly the change in the entropy curves as we decrease the ${\rm{\Omega }}$ parameter.
Figure 2. Entropy as a function of $\beta $ for different ${\rm{\Omega }}$. As can be seen, the entropy increases by enhancing the $\beta $ parameter for all ${\rm{\Omega }}$ but when ${\rm{\Omega }}$ decreases, the entropy decrease.
In figure 3 we plotted the variation of entropy with respect to $\beta $ parameter at different ${\alpha }_{{\rm{R}}}$. It can be seen that the entropy increase with the increasing $\beta $ parameter. It means that larger $\beta $ causes a greater number of configurations for the distribution of atoms within the specified volume, consequently resulting in an increase in entropy. It is also clear in the figure that with the increase in the value of the ${\alpha }_{{\rm{R}}}$ parameter, the entropy of the system decreases for a certain temperature. In other terms, the Rashba spin-orbit interaction coefficient induces a reduction in disorder within the system, leading to a considerable diminution in the entropy as this parameter is increased.
Figure 3. Entropy as a function of $\beta $ for different ${\alpha }_{R}$ parameter. As can be seen, the entropy increases by enhancing the $\beta $ parameter for all ${\alpha }_{{\rm{R}}}$ and when ${\alpha }_{{\rm{R}}}$ increases, the entropy decrease.
Figure 4 illustrates the variation of specific heat with respect to $1/{\omega }_{c}$, showcasing the impact of Rashba spin-orbit interaction across various temperatures. The examination of figure 3 reveals a trend where the specific heat initially rises until it reaches a peak value, followed by a subsequent decrease as $1/{\omega }_{c}$ is further increased. We observe that the specific heat shows a peak structure at low values of $1/{\omega }_{c}$. The peak position of the specific heat occurs at one point for different temperatures. In the other hand, the specific heat has a peak structure at a certain value of $1/{\omega }_{c}$ which also depends on the temperature. In every intricately defined curve, one can observe the presence of an extraordinary and distinctive peak, which is widely acknowledged and revered in the scientific community as the Schottky anomaly, a phenomenon that emerges prominently over a limited and specific range of $1/{\omega }_{c}$ during which the thermal energy effectively attains a level that is commensurate with the energy gap that exists between the various sub-bands, a condition that arises as a direct consequence of the intricate interplay known as the Rashba spin-orbit interaction.
Figure 4. Specific heat as a function of $1/{\omega }_{c}$ for different temperatures. As can be seen, the specific heat increases until it reaches a maximum and then reduces with increasing $1/{\omega }_{c}$.
Figure 5 provides a comprehensive visual representation of the fluctuations and alterations in specific heat as a function of $1/{\omega }_{{\rm{c}}}$, thereby elucidating the significant effects and implications of the Rashba spin-orbit interaction when examined across a spectrum of varying ${\rm{\Omega }}$ values. It can be observed from the graphical representation illustrated in figure 5 that the specific heat exhibits a dependence on the strength of $1/{\omega }_{{\rm{c}}}$, which varies with different values of omega; however, it is noteworthy that there exists a pronounced peak across all observed conditions. The Schottky anomaly, which is regarded as a particularly intriguing phenomenon within the realm of condensed matter physics, can be comprehensively elucidated by considering the variations in the entropy associated with the system under scrutiny. It is well-established in thermodynamic theory that at absolute zero temperature, the occupancy of energy states is limited to solely the lowest energy level, thereby resulting in the entropy of the system being precisely zero. In light of this understanding, it follows that there exists an exceedingly low probability for the system to undergo a transition to a higher energy level, as the thermal agitation required for such a transition is virtually nonexistent at this temperature. However, with the incremental increase in temperature, one observes a corresponding and monotonous rise in the entropy of the system, which consequently leads to a significant enhancement in the probability of transitions occurring between energy levels. As the temperature approaches the energy difference that exists between the various energy levels within the system, one can discern the emergence of a broad peak, indicative of a substantial change in the entropy associated with only a minor alteration in temperature. In the regime of elevated temperatures, it becomes apparent that all available energy levels are populated, resulting in a scenario where there is once again a minimal fluctuation in the entropy for small temperature variations, which in turn leads to a reduced specific heat of the system.
Figure 5. Specific heat as a function of $1/{\omega }_{c}$ for different ${\rm{\Omega }}$. As can be seen, the specific heat increases until it reaches a maximum and then reduces with increasing $1/{\omega }_{c}$.
In figure 6, we have tried to study effect of Rashba spin-orbit interaction coefficient on thermodynamic functions at a constant electric and magnetic field. This figure shows the specific heat as a function of $\beta $ for different values of Rashba spin-orbit interaction parameter.
Figure 6. Specific heat as a function of $\beta $ for different ${\alpha }_{R}$ parameter. As can be seen, the specific heat increases until it reaches a maximum and then reduces with increasing $\beta $ for different ${\alpha }_{R}$.
It is observed that the specific heat shows a peak structure which the peak value depends on the Rashba parameter and at a fixed value of the temperature it reduces with increasing the Rashba parameter. In every meticulously delineated curve, one can discern the manifestation of an exceptional and singular peak, which is extensively recognized and esteemed within the scientific community as the Schottky anomaly, a phenomenon that emerges prominently within a constrained and specific range of $\beta $ during which the thermal energy attains a magnitude that is congruent with the energy gap that exists between the various sub-bands, a condition that arises as a direct result of the complex interaction referred to as the Rashba spin-orbit interaction. The specific heat reaches a constant value at higher temperatures and it finally saturates. It is noteworthy that at low temperatures, the spin-orbit interaction induced energy splitting is larger than the bulk Zeeman splitting.
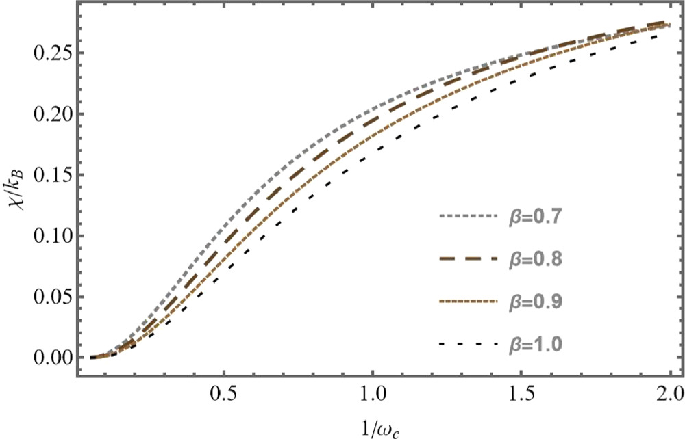
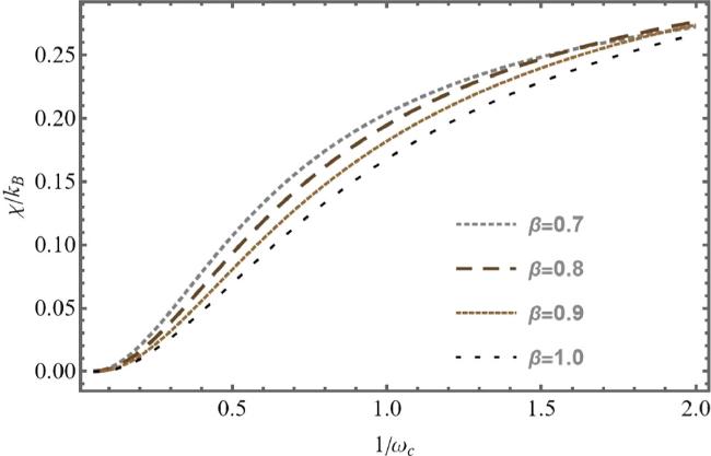
Another important thermodynamics quantity we have studied is the magnetic susceptibility $(\chi )$. In figure 7, the graph displays how magnetic susceptibility changes with $1/{\omega }_{{\rm{c}}}$ for varying temperatures. As depicted in the figure, the susceptibility generally rises as the $1/{\omega }_{{\rm{c}}}$ increases. It is also clear that the magnetic susceptibility grows with the decrease of $\beta $. The illustration demonstrates that the magnitude of diamagnetic or paramagnetic susceptibility can be regulated through the manipulation of $1/{\omega }_{{\rm{c}}}$ values.
Figure 7. Susceptibility as a function of $1/{\omega }_{c}$ for different temperatures. As can be seen, the susceptibility increases until it reaches a maximum for $0\lt 1/{\omega }_{c}\lt 2$.
figure 8 illustrates the relationship between magnetic susceptibility and $1/{\omega }_{c}$ for various ${\rm{\Omega }}$ values. The graph indicates that the magnetic susceptibility reaches a maximum value that is dependent on the specific omega value. Furthermore, the susceptibility exhibits positive values, implying paramagnetic behavior, and increases as $1/{\omega }_{c}$ increases. It is also discernible that the magnetic susceptibility not only becomes increasingly pronounced but also exhibits a discernible shift towards higher values as the ${\rm{\Omega }}$ parameter experiences a decrease, highlighting the dynamic nature of this relationship.
Figure 8. Susceptibility as a function of $1/{\omega }_{c}$ for different ${\rm{\Omega }}$. As can be seen, the susceptibility increases with decreasing ${\rm{\Omega }}$.
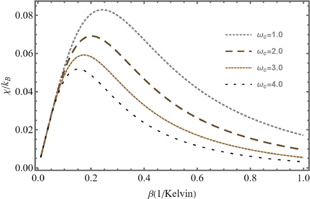
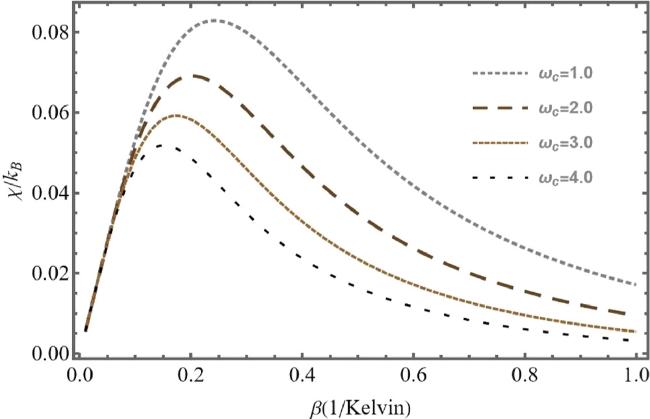
In Figure 9, the susceptibility is plotted as a function of the $\beta $ parameter for several values of ${\omega }_{c}$. More precisely, we have considered values of ${\omega }_{c}=1$, ${\omega }_{c}=2$, ${\omega }_{c}=3$ and ${\omega }_{c}=4$. It is observed that the susceptibility increases very quickly, it forms a peak and then falls immediately with the increasing $\beta $ parameter. At lower temperatures, the susceptibility exhibits an increase, attributed to the widening of the energy gap, while at high temperatures, the susceptibility shows a reduction, characterized by a gentler slope compared to the low temperature region. Furthermore, it is evident from this figure that the susceptibility shows a peak structure at low temperatures and the anomalous peak appears over a small range of temperature. At low temperatures, the occupation probability of the higher states decreases. The application of the magnetic field enhances the quantum confinement effects and thereby occupation probability of the levels increases. Consequently, the susceptibility depends both on the energy level distribution and the temperature dependence of the occupation probability of the states. At low temperatures, the quantum effects are dominant and susceptibility increases, while at high temperatures, thermal effects are dominant and susceptibility decreases with this parameter.
Figure 9. Susceptibility as a function of $\beta $ for different ${\omega }_{c}$. As can be seen, the entropy increases by enhancing the $\beta $ parameter and then decreasing with enhancing $\beta $.
The variations of susceptibility as a function of $\beta $ parameter for several values with Rashba spin-orbit interaction parameter values of ${\alpha }_{{\rm{R}}}=0.2$, ${\alpha }_{{\rm{R}}}=0.4$, ${\alpha }_{{\rm{R}}}=0.6$ and ${\alpha }_{{\rm{R}}}=0.8$ have been plotted in figure 10. The susceptibility increases monotonically with the increasing $\beta $ parameter and becomes essentially independent of the magnetic field (it reaches a constant value). It is seen from the figure that at a constant temperature, the susceptibility reduces with decreasing the Rashba spin-orbit interaction parameter. There is a competition between magnetic energy and thermal energy in the system. One plausible explanation for this phenomenon could be that the order introduced into the system by the by the magnetic field and Rashba spin-orbit interaction parameter may be counter-balanced by the kinetic energy resulting from confinement together with the thermodynamic disorder.
Figure 10. Susceptibility as a function of $\beta $ for different ${\alpha }_{{\rm{R}}}$ parameter. As can be seen, the susceptibility increases by enhancing the $\beta $ parameter for different ${\alpha }_{{\rm{R}}}$ and also at a fixed value of the temperature, susceptibility enhances with increasing the Rashba spin-orbit interaction parameter.

5. Conclusion

In our research, we thoroughly examined the thermodynamic properties, including specific heat, entropy, and susceptibility, of the energy levels of sub-bands and the electron g-factor within parabolic quantum dots under the influence of a magnetic field. Our study utilized the canonical ensemble approach and the thermodynamic quantities associated by the Shannon entropy with Rashba spin-orbit interaction. The Shannon entropy is a measure of uncertainty or information content in a system, and understanding its thermodynamic properties is crucial for various fields, including statistical physics and information theory. We conducted numerical investigations of these thermodynamic quantities across different parameters of the system as functions of temperature and magnetic field. Notably, the specific heat exhibits a peak structure, known as the Schottky anomaly, at low temperatures. The computed result shows that the susceptibility not only manifests a progressively intensified characteristic but also demonstrates a perceptible transition towards elevated values with the alteration of the quantum dot parameters. In the presence of the Rashba spin-orbit interaction coefficient, it is observed that the specific heat initially exhibits an increase with rising temperature, reaches a peak, and subsequently diminishes to zero. Furthermore, the susceptibility experiences an enhancement with the augmentation of the $\beta $ parameter across various Rashba spin-orbit interaction parameters, and at a constant temperature, the susceptibility is found to increase with an increasing the Rashba coefficient.

Declarations

Conflict of interests

The authors declare that there is no competing financial interest or personal relationship that could have appeared to influence the work reported in this paper.

Data availability statement

All necessary mathematical formulae and parameter values needed to replicate the results are given in the text.
1
Rotenberg E, Freelon B K, Koh H, Bostwick A, Rossnagel K, Schmid A, Kevan S D 2005 Electron states and the spin density wave phase diagram in Cr films New J. Phys. 7 114

DOI

2
Gil A M, Rota A, Maroutian T, Bartenlian B, Beauvillain P, Moyen E, Hanbucken M 2004 Nano-patterned silicon surfaces for the self-organised growth of metallic nanostructures Superlattices Microstruct. 36 235

DOI

3
Axelsson, S, Campbell E E B, Jonsson L M, Kinaret J, Lee S W, Park Y W, Sveningsson M 2005 Theoretical and experimental investigations of three-terminal carbon nanotube relays New J. Phys. 7 245

DOI

4
Zutic, I, Fabian J, Das Sarma S 2004 Spintronics: fundamentals and applications Rev. Mod. Phys. 76 323

DOI

5
Omar M S 2024 Surface structure-based model to calculate thermal and optical properties in nanoscale and quantum dot semiconductors Physica B 691 416328

DOI

6
Kumar V, Bansal M, Priyanka, Ritu, Bhardwaj S B, Singh R M, Chand F 2024 Optical properties of spherical quantum dot using screened Kratzer potential Physica B 683 415920

DOI

7
Khordad R, Bahramiyan H 2015 Impurity position effect on optical properties of various quantum dots Physica E 66 107

DOI

8
Rani R, Kumar V, Bhardwaj S B, Singh R M, Chand F 2020 Effect of the magnetic field on the energy spectra of a quantum dot system Ind. J. Phys. 94 1705 1709

DOI

9
Dong Y 2022 Influence of particle size on the magneto-refractive effect in PbS quantum dots-doped liquid core fiber Opt. Mater. Express 12 1838

DOI

10
Filho R N C, Alencar G, Skagerstam B S,, Andrade J S 2013 Morse potential derived from first principles Eur. Phys. Lett. 101 10009

DOI

11
Liang D, Quhe R, Chen Y C, Wu L, Wang Q, Guan P, Wang S, Lu P 2017 Electronic and excitonic properties of two-dimensional and bulk InN crystals RSC Adv. 7 42455

DOI

12
Bera A, Ghosh M 2017 Dipole moment and polarizability of impurity doped quantum dots driven by noise: Influence of hydrostatic pressure and temperature Physica B 515 18

DOI

13
Ciftja O, Faruk M G 2005 Two-dimensional quantum-dot helium in a magnetic field: variational theory Phys. Rev. B 72 205334

DOI

14
Hayrapetyan D B, Amirkhanyan S M, Kazaryan E M, Sarkisyan H A 2016 Effect of hydrostatic pressure on diamagnetic susceptibility of hydrogenic donor impurity in core/shell/shell spherical quantum dot with Kratzer confining potential Physica E 84 367

DOI

15
Boda, A, Kumar D S, Sankar I V, Chatterjee A 2016 Effect of electron-electron interaction on the magnetic moment and susceptibility of a parabolic GaAs quantum dot, J. Mag. Mag. Mater. 418 242

DOI

16
Chen, C Y, Lu F L, Sun D S, You Y, Dong S H 2016 Spin-orbit interaction for the double ring-shaped oscillator, Ann. Phys. 371 183

DOI

17
Maaouni, N 2024 Electronic, thermodynamic, optical, and thermoelectric properties of Sr2RuO4 compound: ab-initio principle Opt. Quant. Electron. 56 679

DOI

18
Saravanamoorthy S N, John Peter A, Lee C W 2017 Optical peak gain in a PbSe/CdSe core-shell quantum dot in the presence of magnetic field for mid-infrared laser applications Chem. Phys. 483 1

DOI

19
Bychkov, Y A, Rashba E I 1984 Properties of a 2D electron gas with lifted spectral degeneracy JETP Lett. 39 78

20
Su H, Gu B Y 2005 Effects of Rashba spin-orbit interaction and inhomogeneous magnetic field on the eigenstates in a quantum wire Phys. Lett. A 341 198

DOI

21
Yang J, Lei G, Rong G, Jiang K M 2008 Conductance properties in spin field-effect transistors Eur. Phys. J. B 62 263

DOI

22
Japaridze G I, Johannesson H, Ferray A 2009 Metal-insulator transition in a quantum wire driven by a modulated Rashba spin-orbit coupling Phys. Rev. B 80 041308

DOI

23
Pourmand S E, Rezaei G, Vaseghi B 2019 Impacts of external fields and Rashba and Dresselhaus spin-orbit interactions on the optical rectification, second and third harmonic generations of a quantum ring, Eur. Phys. J. B 92 96

DOI

24
Khordad R, Rastegar Sedehi H R 2018 Thermodynamic properties of a double ring-shaped quantum dot at low and high temperatures J. Low Temp. Phys. 190 200

DOI

25
Kria M, Nautiyal V V, Lakaal K, El Hamdaoui J, Perez L M, Varsha, Laroze D, Prasad V, Long G, Feddi E 2022 Rashba effect on linear and nonlinear optical properties of a cylindrical core/shell heterojunction quantum dot Front. Phys. 10 942758

DOI

26
Sun P, Li Y, Meng X, Yu S, Liu Y, Liu F 2014 The magnetic field effect on optical properties of Sm-doped GaN thin films J. Mater. Sci., Mater. Electron. 25 2974

DOI

27
Kria M 2022 Rashba effect on linear and nonlinear optical properties of a cylindrical core/shell heterojunction quantum dot Front. Phys. 10 942758

DOI

28
Lakaal K 2022 Polaronic corrections on magnetization and thermodynamic properties of electron-electron in 2D systems with Rashba spin-orbit coupling, J. Magn. Magn. Mater. 551 169042

DOI

29
Bhattacharyya K, Debnath D, Chatterjee A 2023 Rashba effect on finite temperature magnetotransport in a dissipative quantum dot transistor with electronic and polaronic interactions Sci. Rep. 13 5500

DOI

30
Sheng F J, Zheng L 2009 Spin-orbit splitting in semiconductor quantum dots with a two-dimensional ring model Chin. Phys. Lett. 26 080305

DOI

31
Shakouri K, Szafran B, Esmaeilzadeh M, Peeters F M 2012 Effective spin-orbit interaction Hamiltonian for quasi-one-dimensional quantum rings Phys. Rev. B 85 165314

DOI

32
Cheng L Y, Ming F, Zhao F, Ye L, Wang D 2022 The uncertainty and quantum correlation of measurement in double quantum-dot systems Front. Phys. 17 61504

DOI

33
Ferreira M, Rojas O, Rojas M 2023 Thermal entanglement and quantum coherence of a single electron in a double quantum dot with Rashba interaction Phys. Rev. A 107 052408

DOI

34
Kachu A, Chebrolu N R, Boda A 2024 Role of Rashba and Dresselhaus spin-orbit interactions on an off-center donor impurity in a gaussian quantum dot, J. Magn. Magn. Mater. 589 171565

DOI

35
Mikhail I F I, Ismail I M M, El Shafee M M 2022 Rashba effect in a quantum dot subject to a parabolic confining potential and external fields Eur. Phys. J. Plus 137 610

DOI

36
Dubrovskii V G, Sibirev N V 2008 Growth thermodynamics of nanowires and its application to polytypism of zinc blende III-V nanowires Phy. Rev. B 77 035414

DOI

37
Sukirti G, Manoj K, Kumar J P, Man M 2016 Thermodynamic behaviour of Rashba quantum dot in the presence of magnetic field Chin. Phys. B 25 056502

DOI

38
Gumber S, Kumar M, Gambhir M, Mohan M, Jha P K 2015 Thermal and magnetic properties of cylindrical quantum dot with asymmetric confinement Can. J. Chem. 93 1264

DOI

39
Ibragimov G B 2003 Free-carrier magnetoabsorption in quantum well wires Fizika 34 35

DOI

40
Voskoboynikov, O, Lee C P, Tretyak O 2001 spin-orbit splitting in semiconductor quantum dots with a parabolic confinement potential Phys. Rev. B 63 165306

DOI

41
Chen, Y J, Xiao J L 2017 Influences of the temperature on the parabolic quantum dot qubit in the magnetic field J. Low Temp. Phys. 186 241

DOI

42
Jia C S, Zhang L H, Wang C W 2017 Thermodynamic properties for the lithium dimer Chem. Phys. Lett. 667 211

DOI

43
Jia C S, Wang C W, Zhang L H, Peng X L, Zeng R, You X T 2017 Partition function of improved Tietz oscillators Chem. Phys. Lett. 676 150

DOI

44
Shannon C E 1948 A mathematical theory of communication Bell Syst. Tech. J. 27 379

DOI

45
Benedetto J J, Zimmermann G 1997 Sampling multipliers and the poisson summation formula J. Fourier Anal. Appl. 3 505

DOI

46
Strekalov M L 2007 An accurate closed-form expression for the partition function of Morse oscillators Chem. Phys. Lett. 439 209

DOI

47
Yahyah N S, Elsaid M K, Shaer A 2019 Heat capacity and entropy of Gaussian spherical quantum dot in the presence of donor impurity J. Theor. Appl. Phys. 13 277

DOI

Outlines

/