1. Introduction
2. Theory
2.1. Velocity
Figure 1. Schematic diagram of the cargo-motor complex. For simplicity, the motor and cargo are modeled as two particles and their detailed structures are not considered. The two successive binding sites of the motor on the track are denoted by d, equal to the period of the structure of the track polymer. The cargo can interact with the track via, for example, van der Waals force. Due to the periodic structure of the track, the interaction potential of the cargo with the track has the periodic form, with the potential period being also equal to that of the track. The motor and cargo are connected by a linker. l0 is the equilibrium distance between the motor and cargo. ${\varepsilon }_{{\rm{m}}}$ is the detachment rate of the motor when the cargo-motor complex is in the equilibrium state with no force on the motor. ${\mu }_{{\rm{m}}}$ is the rebinding rate of the motor when the cargo is bound to the track. ${\varepsilon }_{{\rm{c}}}$ is the detachment rate of the cargo when the cargo-motor complex is in the equilibrium state with no force on the cargo. ${\mu }_{{\rm{c}}}$ is the rebinding rate of the cargo when the motor is bound to the track. |
Figure 2. The kinetic pathway of the cargo-motor complex making a forward step and a backward step during Phase I when both the motor and cargo are bound to the track (see text for detailed descriptions). Note that State F2 (State B2) is the same as State A except that the cargo-motor system has made a forward (backward) step in State F2 relative to State A. Thus, the transition from State F2 to State F1, corresponding to a backward step of the cargo relative to the motor, is equivalent to the transition from State A to State B'1. Consequently, the transition from State F2 to State F1 should not be included in the pathway. Similarly, the transition from State F2 to State F'1, the transition from State B2 to State B1 and the transition from State B2 to State B'1 should also not be included. |
2.2. Run length
3. Application of the general theory to cargo-kinesin-1 and cargo-kinesin-6 complexes
Table 1. Values of parameters used in the calculation for kinesin-1 and kinesin-6 motors. E0 is the free energy change associated with the large conformational change and neck-linker docking of the kinesin head induced by ATP binding, k(+) is the ATPase rate of the trailing head, k(-) is the ATPase rate of the leading head, ${\lambda }_{{\rm{m}}}$ is the splitting factor for the energy change of the system when the motor takes a step relative to the cargo, ${\varepsilon }_{{\rm{m}}}$ is the detachment rate of the motor when the cargo-motor complex is in the equilibrium state with no force on the motor, ${\mu }_{{\rm{m}}}$ is the rebinding rate of the motor when the cargo is bound to the track, and ${\lambda }_{{\rm{m}}}^{(+)}$ and ${\lambda }_{{\rm{m}}}^{(-)}$ are force-sensitivity parameters for the detachment of the motor under forward and backward forces, respectively. The sources of the parameter values are described in section |
| Parameter | kinesin-1 | kinesin-6 |
|---|---|---|
| E0 (kBT) | 3.5 | 1.75 |
| k(+) (${{\rm{s}}}^{-1}$) | 97 | 97 |
| k(-) (${{\rm{s}}}^{-1}$) | 3 | 3 |
| ${\lambda }_{{\rm{m}}}$ | 0.43 | 0.43 |
| ${\varepsilon }_{{\rm{m}}}$ (${{\rm{s}}}^{-1}$) | 1 | 1 |
| ${\mu }_{{\rm{m}}}$ (${{\rm{s}}}^{-1}$) | 5 | 5 |
| ${\lambda }_{{\rm{m}}}^{(+)}$ | 0.25 | 0.25 |
| ${\lambda }_{{\rm{m}}}^{(-)}$ | $3{\lambda }_{{\rm{m}}}^{(+)}$ | $3{\lambda }_{{\rm{m}}}^{(+)}$ |
Figure 3. Normalized velocity and run length versus D for the cargo-kinesin-1 complex under different values of ${\varepsilon }_{{\rm{c}}}$ and ${\mu }_{{\rm{c}}}$, where ${\varepsilon }_{{\rm{c}}}$ is the detachment rate of the cargo when the cargo-motor complex is in the equilibrium state with no force on the cargo, ${\mu }_{{\rm{c}}}$ is the rebinding rate of the cargo when the motor is bound to the track and D is the diffusion constant of the single cargo. (a) Normalized velocity under ${\varepsilon }_{{\rm{c}}}$=1 ${{\rm{s}}}^{-1}$ and ${\mu }_{{\rm{c}}}$=1 ${{\rm{s}}}^{-1}$ (black line) and under ${\varepsilon }_{{\rm{c}}}$=10 ${{\rm{s}}}^{-1}$ and ${\mu }_{{\rm{c}}}$=10 ${{\rm{s}}}^{-1}$ (red line). Note that the two lines are identical. (b) Normalized run length under ${\varepsilon }_{{\rm{c}}}$=1 ${{\rm{s}}}^{-1}$ and ${\mu }_{{\rm{c}}}$=1 ${{\rm{s}}}^{-1}$ (black line) and under ${\varepsilon }_{{\rm{c}}}$=10 ${{\rm{s}}}^{-1}$ and ${\mu }_{{\rm{c}}}$=10 ${{\rm{s}}}^{-1}$ (red line). (c) Normalized velocity under ${\varepsilon }_{{\rm{c}}}$=1 ${{\rm{s}}}^{-1}$ and ${\mu }_{{\rm{c}}}$=5 ${{\rm{s}}}^{-1}$ (black line) and under ${\varepsilon }_{{\rm{c}}}$=10 ${{\rm{s}}}^{-1}$ and ${\mu }_{{\rm{c}}}$=5 ${{\rm{s}}}^{-1}$ (red line). (d) Normalized run length under ${\varepsilon }_{{\rm{c}}}$=1 ${{\rm{s}}}^{-1}$ and ${\mu }_{{\rm{c}}}$=5 ${{\rm{s}}}^{-1}$ (black line) and under ${\varepsilon }_{{\rm{c}}}$=10 ${{\rm{s}}}^{-1}$ and ${\mu }_{{\rm{c}}}$=5 ${{\rm{s}}}^{-1}$ (red line). (e) Normalized velocity under ${\varepsilon }_{{\rm{c}}}$=5 ${{\rm{s}}}^{-1}$ and ${\mu }_{{\rm{c}}}$=1 ${{\rm{s}}}^{-1}$ (black line) and under ${\varepsilon }_{{\rm{c}}}$=5 ${{\rm{s}}}^{-1}$ and ${\mu }_{{\rm{c}}}$=10 ${{\rm{s}}}^{-1}$ (red line). (f) Normalized run length under ${\varepsilon }_{{\rm{c}}}$=5 ${{\rm{s}}}^{-1}$ and ${\mu }_{{\rm{c}}}$=1 ${{\rm{s}}}^{-1}$ (black line) and under ${\varepsilon }_{{\rm{c}}}$=5 ${{\rm{s}}}^{-1}$ and ${\mu }_{{\rm{c}}}$=10 ${{\rm{s}}}^{-1}$ (red line). |
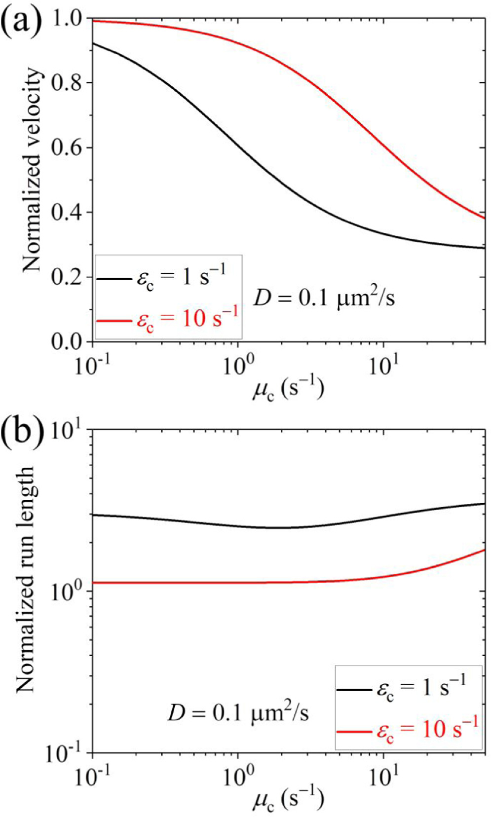
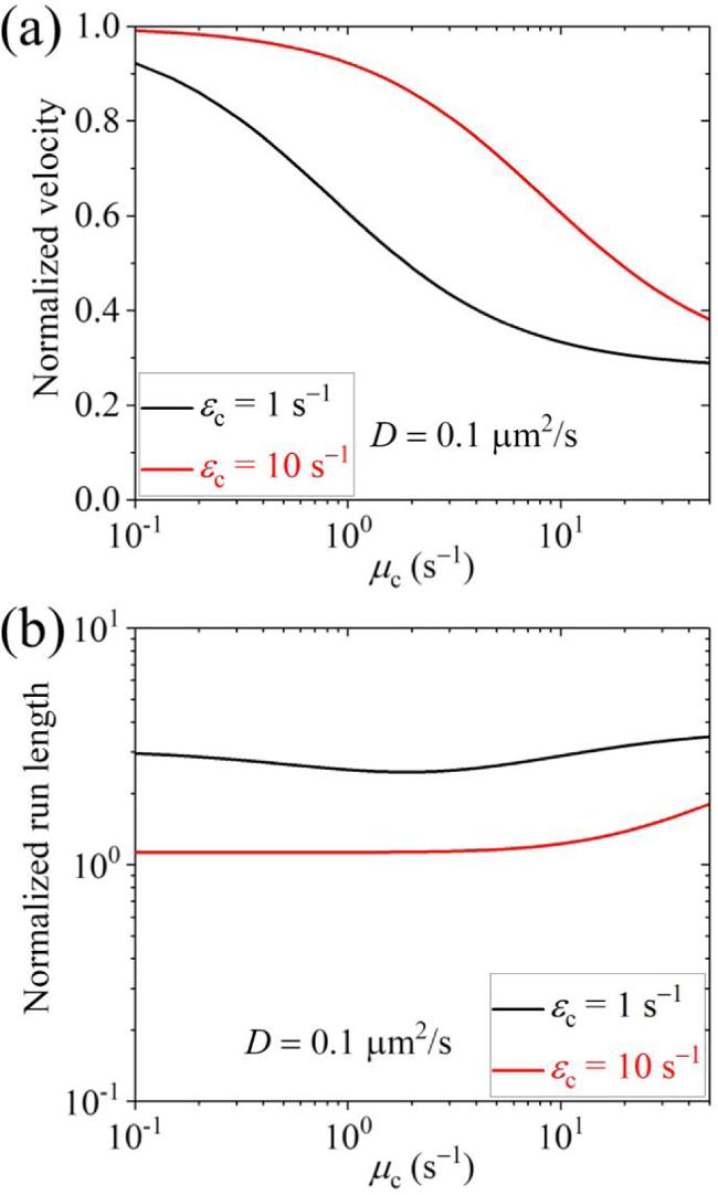
Figure 4. Normalized velocity (a) and normalized run length (b) versus ${\mu }_{{\rm{c}}}$ for the cargo-kinesin-1 complex under different values of ${\varepsilon }_{{\rm{c}}}$ and fixed D=0.1 μm2 s-1, where ${\varepsilon }_{{\rm{c}}}$ is the detachment rate of the cargo when the cargo-motor complex is in the equilibrium state with no force on the cargo, ${\mu }_{{\rm{c}}}$ is the rebinding rate of the cargo when the motor is bound to the track and D is the diffusion constant of the single cargo. |
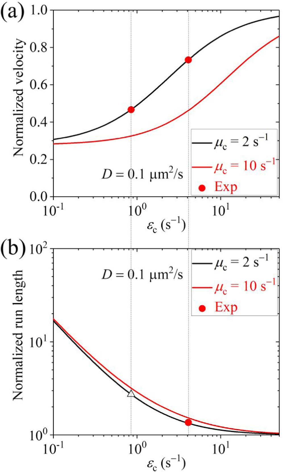
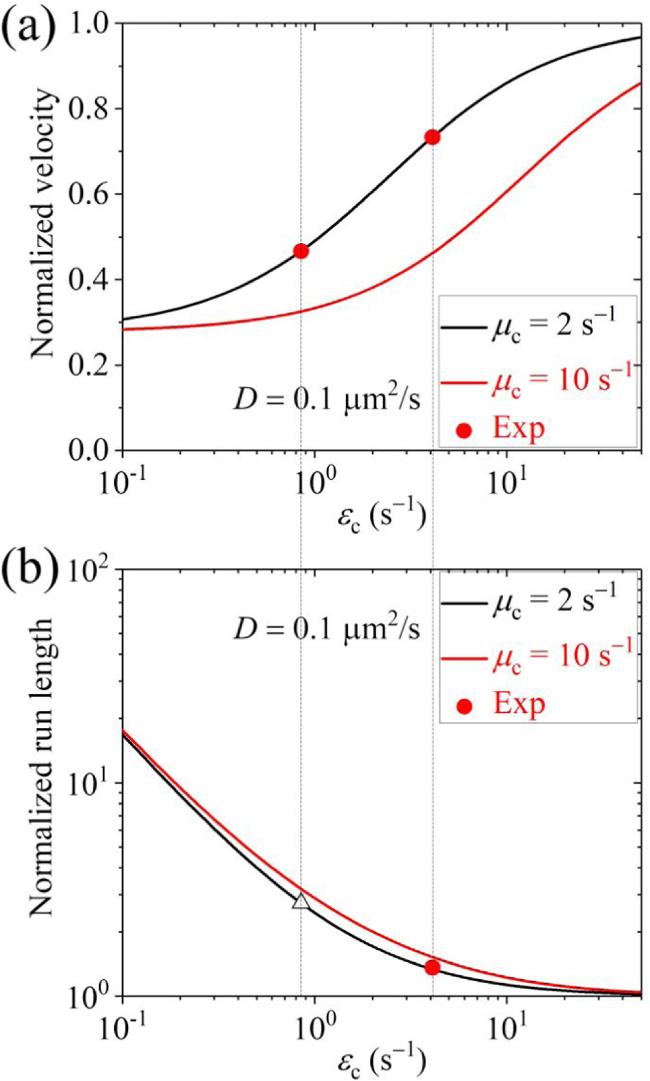
Figure 5. Normalized velocity (a) and normalized run length (b) versus ${\varepsilon }_{{\rm{c}}}$ for the cargo-kinesin-1 complex under different values of ${\mu }_{{\rm{c}}}$ and fixed D=0.1 μm2 s-1, where ${\varepsilon }_{{\rm{c}}}$ is the detachment rate of the cargo when the cargo-motor complex is in the equilibrium state with no force on the cargo, ${\mu }_{{\rm{c}}}$ is the rebinding rate of the cargo when the motor is bound to the track and D is the diffusion constant of the single cargo. Filled dots are experimental data from Henrichs et al [37], with the data in (a) being calculated from the average velocity of 918 nm s-1 for the kinesin-1 alone and the average velocity of 599 nm s-1 for the TRAK1-kinesin-1 complex (figure 2(f) in [37]) while the data in (b) being calculated from the average run length of 1.54 μm for the kinesin-1 alone and the average run length of 5.77 μm for the TRAK1-kinesin-1 complex (figure 2(d) in [37]). |
Figure 6. Normalized velocity and run length versus D for the cargo-kinesin-6 complex under different values of ${\varepsilon }_{{\rm{c}}}$ and ${\mu }_{{\rm{c}}}$, where ${\varepsilon }_{{\rm{c}}}$ is the detachment rate of the cargo when the cargo-motor complex is in the equilibrium state with no force on the cargo, ${\mu }_{{\rm{c}}}$ is the rebinding rate of the cargo when the motor is bound to the track and D is the diffusion constant of the single cargo. (a) Normalized velocity under ${\varepsilon }_{{\rm{c}}}$=1 ${{\rm{s}}}^{-1}$ and ${\mu }_{{\rm{c}}}$=1 ${{\rm{s}}}^{-1}$ (black line) and under ${\varepsilon }_{{\rm{c}}}$=10 ${{\rm{s}}}^{-1}$ and ${\mu }_{{\rm{c}}}$=10 ${{\rm{s}}}^{-1}$ (red line). Note that the two lines are identical. (b) Normalized run length under ${\varepsilon }_{{\rm{c}}}$=1 ${{\rm{s}}}^{-1}$ and ${\mu }_{{\rm{c}}}$=1 ${{\rm{s}}}^{-1}$ (black line) and under ${\varepsilon }_{{\rm{c}}}$=10 ${{\rm{s}}}^{-1}$ and ${\mu }_{{\rm{c}}}$=10 ${{\rm{s}}}^{-1}$ (red line). (c) Normalized velocity under ${\varepsilon }_{{\rm{c}}}$=1 ${{\rm{s}}}^{-1}$ and ${\mu }_{{\rm{c}}}$=5 ${{\rm{s}}}^{-1}$ (black line) and under ${\varepsilon }_{{\rm{c}}}$=10 ${{\rm{s}}}^{-1}$ and ${\mu }_{{\rm{c}}}$=5 ${{\rm{s}}}^{-1}$ (red line). (d) Normalized run length under ${\varepsilon }_{{\rm{c}}}$=1 ${{\rm{s}}}^{-1}$ and ${\mu }_{{\rm{c}}}$=5 ${{\rm{s}}}^{-1}$ (black line) and under ${\varepsilon }_{{\rm{c}}}$=10 ${{\rm{s}}}^{-1}$ and ${\mu }_{{\rm{c}}}$=5 ${{\rm{s}}}^{-1}$ (red line). (e) Normalized velocity under ${\varepsilon }_{{\rm{c}}}$=5 ${{\rm{s}}}^{-1}$ and ${\mu }_{{\rm{c}}}$=1 ${{\rm{s}}}^{-1}$ (black line) and under ${\varepsilon }_{{\rm{c}}}$=5 ${{\rm{s}}}^{-1}$ and ${\mu }_{{\rm{c}}}$=10 ${{\rm{s}}}^{-1}$ (red line). (f) Normalized run length under ${\varepsilon }_{{\rm{c}}}$=5 ${{\rm{s}}}^{-1}$ and ${\mu }_{{\rm{c}}}$=1 ${{\rm{s}}}^{-1}$ (black line) and under ${\varepsilon }_{{\rm{c}}}$=5 ${{\rm{s}}}^{-1}$ and ${\mu }_{{\rm{c}}}$=10 ${{\rm{s}}}^{-1}$ (red line). |
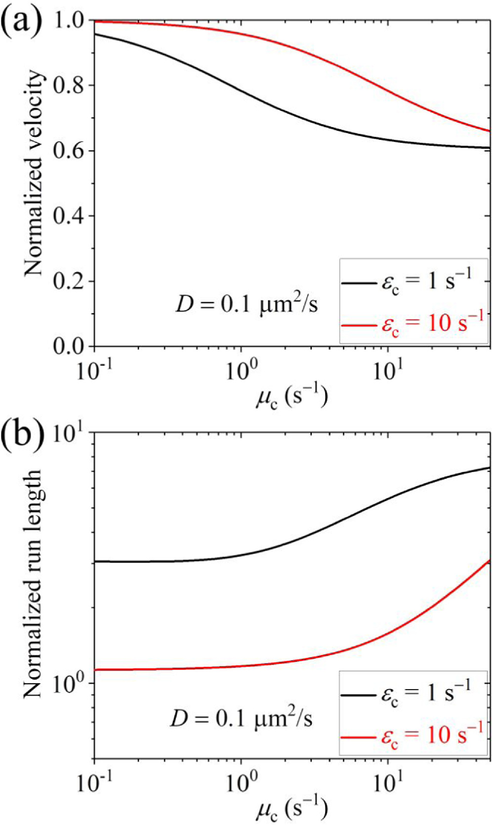
Figure 7. Normalized velocity (a) and normalized run length (b) versus ${\mu }_{{\rm{c}}}$ for the cargo-kinesin-6 complex under different values of ${\varepsilon }_{{\rm{c}}}$ and fixed D=0.1 μm2 s-1, where ${\varepsilon }_{{\rm{c}}}$ is the detachment rate of the cargo when the cargo-motor complex is in the equilibrium state with no force on the cargo, ${\mu }_{{\rm{c}}}$ is the rebinding rate of the cargo when the motor is bound to the track and D is the diffusion constant of the single cargo. |
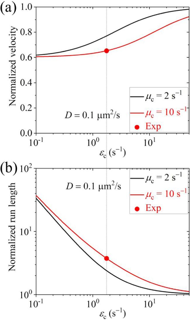
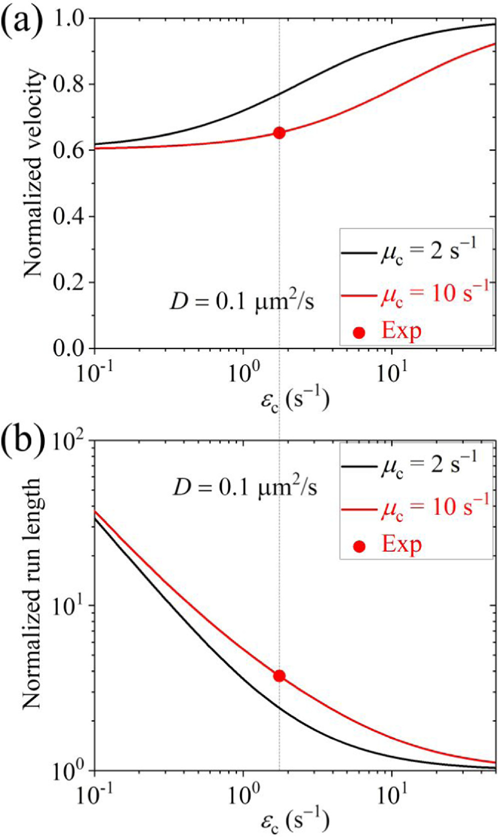
Figure 8. Normalized velocity (a) and normalized run length (b) versus ${\varepsilon }_{{\rm{c}}}$ for the cargo-kinesin-6 complex under different values of ${\mu }_{{\rm{c}}}$ and fixed D=0.1 μm2 s-1, where ${\varepsilon }_{{\rm{c}}}$ is the detachment rate of the cargo when the cargo-motor complex is in the equilibrium state with no force on the cargo, ${\mu }_{{\rm{c}}}$ is the rebinding rate of the cargo when the motor is bound to the track and D is the diffusion constant of the single cargo. Filled dots are experimental data from Adriaans et al [32], with the data in (a) being calculated from the average velocity of 0.15 μm s-1 for the kinesin-6 MKLP2 alone (figure 2(d) in [32]) and the average velocities of 0.11 μm s-1 and 0.07 μm s-1 for the MKLP2 plus coreCPC and plus miniCPC(WT), respectively (figure 2(L) in [32]) while the data (red dot) in (b) being calculated from the average run length of 1.1 μm for the MKLP2 alone and the average run length of 1.5 μm for the MKLP2 plus coreCPC (figure 2(c) in [32]). The unfilled triangle is the predicted normalized run length of the miniCPC-MKLP2 complex. |
Figure 9. Normalized velocity and run length versus D for the cargo-kinesin complex with the kinesin motor having E0=0 under different values of ${\varepsilon }_{{\rm{c}}}$ and ${\mu }_{{\rm{c}}}$, where ${\varepsilon }_{{\rm{c}}}$ is the detachment rate of the cargo when the cargo-motor complex is in the equilibrium state with no force on the cargo, ${\mu }_{{\rm{c}}}$ is the rebinding rate of the cargo when the motor is bound to the track and D is the diffusion constant of the single cargo. The other parameters are the same as those shown in table 1. (a) Normalized velocity under ${\varepsilon }_{{\rm{c}}}$=1 ${{\rm{s}}}^{-1}$ and ${\mu }_{{\rm{c}}}$=1 ${{\rm{s}}}^{-1}$ (black line) and under ${\varepsilon }_{{\rm{c}}}$=10 ${{\rm{s}}}^{-1}$ and ${\mu }_{{\rm{c}}}$=10 ${{\rm{s}}}^{-1}$ (red line). Note that the two lines are identical. (b) Normalized run length under ${\varepsilon }_{{\rm{c}}}$=1 ${{\rm{s}}}^{-1}$ and ${\mu }_{{\rm{c}}}$=1 ${{\rm{s}}}^{-1}$ (black line) and under ${\varepsilon }_{{\rm{c}}}$=10 ${{\rm{s}}}^{-1}$ and ${\mu }_{{\rm{c}}}$=10 ${{\rm{s}}}^{-1}$ (red line). (c) Normalized velocity under ${\varepsilon }_{{\rm{c}}}$=1 ${{\rm{s}}}^{-1}$ and ${\mu }_{{\rm{c}}}$=5 ${{\rm{s}}}^{-1}$ (black line) and under ${\varepsilon }_{{\rm{c}}}$=10 ${{\rm{s}}}^{-1}$ and ${\mu }_{{\rm{c}}}$=5 ${{\rm{s}}}^{-1}$ (red line). (d) Normalized run length under ${\varepsilon }_{{\rm{c}}}$=1 ${{\rm{s}}}^{-1}$ and ${\mu }_{{\rm{c}}}$=5 ${{\rm{s}}}^{-1}$ (black line) and under ${\varepsilon }_{{\rm{c}}}$=10 ${{\rm{s}}}^{-1}$ and ${\mu }_{{\rm{c}}}$=5 ${{\rm{s}}}^{-1}$ (red line). (e) Normalized velocity under ${\varepsilon }_{{\rm{c}}}$=5 ${{\rm{s}}}^{-1}$ and ${\mu }_{{\rm{c}}}$=1 ${{\rm{s}}}^{-1}$ (black line) and under ${\varepsilon }_{{\rm{c}}}$=5 ${{\rm{s}}}^{-1}$ and ${\mu }_{{\rm{c}}}$=10 ${{\rm{s}}}^{-1}$ (red line). (f) Normalized run length under ${\varepsilon }_{{\rm{c}}}$=5 ${{\rm{s}}}^{-1}$ and ${\mu }_{{\rm{c}}}$=1 ${{\rm{s}}}^{-1}$ (black line) and under ${\varepsilon }_{{\rm{c}}}$=5 ${{\rm{s}}}^{-1}$ and ${\mu }_{{\rm{c}}}$=10 ${{\rm{s}}}^{-1}$ (red line). |


