1. Introduction
Figure 1. The complex nature of the study of glass physics. Homogeneous systems exhibit regularities and symmetries that greatly facilitate understanding and analysis. However, in glass and other systems characterized by randomness and disorder, these simplifying regularities are absent. The inherent complexity of amorphous matter calls for innovative approaches and interdisciplinary collaboration to drive meaningful progress in the field. |
2. A presentation of the intermediate scattering function
Figure 2. The typical intermediate scattering function of a supercooled liquid as a function of time (adapted from [47]). Rather than following a simple exponential decay, the function exhibits multiple temporal regimes, as detailed in the text. The data is plotted on a logarithmic scale to clearly highlight the distinctions among these regimes. Note that the origin of the ‘bump' signal (red arc) can vary significantly between different systems; please refer to the listed literature for further detail. |
Figure 3. A more specific case: CuZr metallic glass-forming liquids. The self-intermediate scattering function for q=2.8 Å-1 at T=1100 K. The different curves correspond to particles with different local coordinated arrangements characterized by the corresponding index of Voronoi analysis [23]. Also included is the data for all atoms. |
3. Graph-ensemble and relaxation dynamics of ico-atoms
3.1. From MD-generated configurations to graph-ensemble
Figure 4. Graph-represented structures of a disordered system. A schematic diagram. G-ensemble is a graph-representation of an ensemble of MD-generated configurations. Here, we are not dealing with dynamics on a graph with static topology but rather with ensemble-averaged physical dynamics that reflect realistic, evolving liquid structures. Degree: in graph theory, the degree of a vertex is the number of edges connected to it. Although, in some cases, multiple edges may exist between two vertices, here we restrict our set to undirected, unweighted graphs, where the degree corresponds directly to the number of adjacent vertices. (Adapted from [34-36]). |
3.2. Long-time relaxation and transport behaviors
Figure 5. Time dependence of Fs(q, t) for particles that have different local connectivity k. The wave-vector is 2.8 Å-1 which corresponds to the main peak in the static structure factor and T=1000 K. It has been recognized in [35] that this peak show basically no T-dependence. The main peak for the Cu-Cu correlation is around 2.8 Å-1, the wave-vector we often focus on in our studies. The inset in panel (a) illustrates the definition of particles with different local connectivities k: particles in blue are the center of an icosahedral-like cluster. The straight line in the upper inset of panel (b) is an exponential fit to the data of relaxation time τ. (Adapted from [34,35]). |
Figure 6. k-dependent transport behavior. (a) Fs(q, t) at wave-vector q=2.8 Å-1 for different values of connectivity k of the Cu atoms. T=1000 K. The solid lines are fits to the data with the KWW equation. (b) k-dependence of the KWW exponent β at q=2.8 Å-1. (c) q-dependence of relaxation time τ for particles with different values of k. The lower and upper two insets in panel (c) illustrate diffusive (Particles are scattered) and ballistic-like (behaved like no scattering anymore) motion of particles, respectively. (Adapted from [35]). |
3.3. Short-time damping valley
Figure 7. Relaxation dynamics of the ico-atoms at short times. Short time behavior of the Fs(q, t) of particles with different local connectivity k (symbols). The wave-vector is q=2.8 Å-1 and T=1000 K. With increasing k, the height of the peak at around 0.2 ps increases showing that the motion becomes less damped. The solid lines are fit to the data with equation ( |
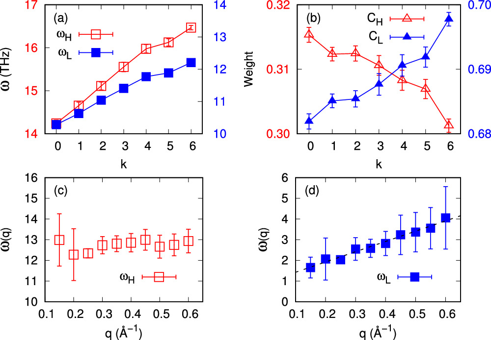
Figure 8. The dependence of dynamic features on connectivity k and dispersion relations. (a) Both the high and low frequency modes, ωH and ωL, increase with increasing k. q=2.8 Å-1. (b) The fraction of motion CH/L increases for ωL and decreases for ωH. (c) The high-frequency mode ωH(q) is approximately q-independent, characteristic of localization of the vibrational modes. (d) The low frequency mode ωL(q) increases monotonically with increasing q, characteristic of collective motions. Error bars in these panels have been obtained from the fit of the scattering function with equation ( |
Figure 9. Local-linking topology integrates the information of ‘length' and ‘angle'. Recent studies have shown that variations in the local connectivity k are linked to corresponding changes in the volume [63] and symmetry [34,75] of local icosahedra. As such, for typical metallic liquids connectivity k serves as an order parameter that effectively captures two key physical characteristics, i.e. length and angle, encapsulating changes in both spatial scale and orientational metric. (Adapted from [34,63]). |
4. Topologically non-trivial network and graph-dynamics correspondence
4.1. Parallel comparative study of CuZr and NiAl
Figure 10. Voronoi short-range order. The population of Voronoi polyhedra in liquid Cu50Zr50 at 1000 K (a) and Ni50Al50 at 900 K (b), in which both systems share the same degree of supercooling. One clear difference is that, under similar degrees of supercooling, the fraction of ico atoms is higher in CuZr than in NiAl. |
Figure 11. k-dependent relaxation dynamics. (a)-(d) Fs(q, t) at wave-vector q=2.8 Å-1 for different values of connectivity k of the Cu atoms coordinated by four different types of Voronoi polyhedron in liquid Cu50Zr50. T=1000 K. (e)-(i) Fs(q, t) at wave-vector q=3.04 Å-1 for different values of connectivity k of the Ni atoms coordinated by five different types of Voronoi polyhedron in liquid Ni50Al50. T=900 K. |
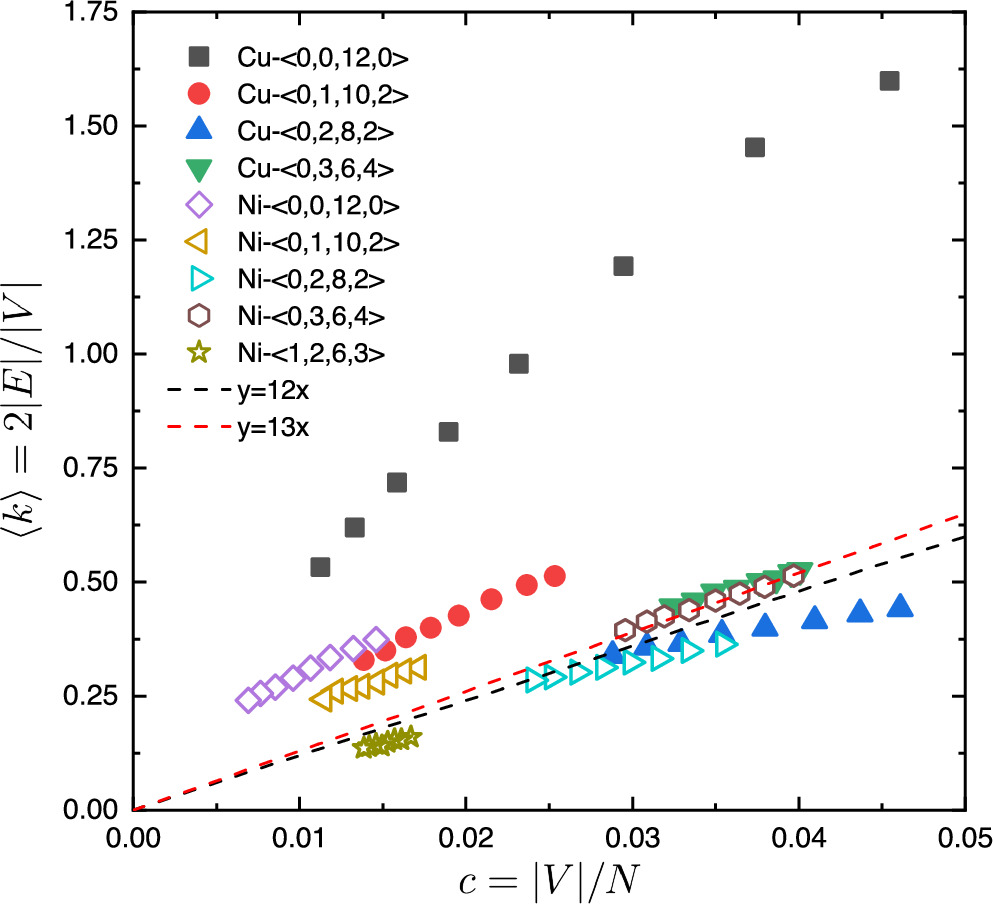
Figure 12. Complex versus random graph net. Average local connectivity 〈k〉=2∣E∣/∣V∣ for the major Cu-centered (solid symbols) and Ni-centered (open symbols) atomic cluster types in CuZr and NiAl respectively, plotted as a function of their concentration c=∣V∣/N. The dashed lines indicate the expected average local connectivity from a random distribution of atomic clusters with two different coordination numbers [75]. The data points cover temperatures ranging from 950 K to 1300 K, in a step of 50 K. ∣E∣=#edges, ∣V∣=#nodes, in sense of graph theory. N is the total number of particles in the MD simulation box. |
4.2. Graph-dynamics correspondence
4.3. Thermal fluctuation
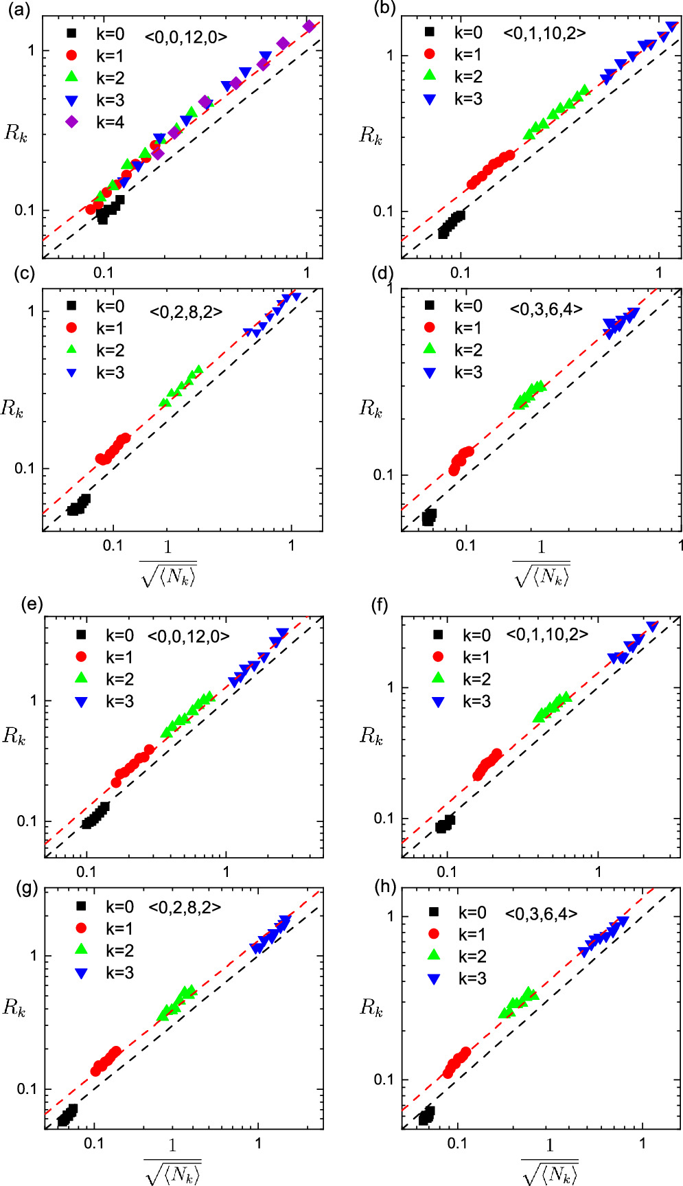
Figure 13. Particle number fluctuations. The relationship between the relative fluctuation Rk and the particle number Nk for clusters with different connectivity k in Cu50Zr50 (a-d) and Ni50Al50 (e-h), respectively. The data points for each k correspond to a temperature range of 950 K to 1300 K. The black dashed line indicates y=x, while the red dashed line corresponds to y=1.3x. |
Figure 14. Probability that an icosahedron (〈0, 0, 12, 0〉) is of type k. (a) Cu50Zr50, (b) Ni50Al50. In CuZr, when temperature decreases, the change in the relative proportions of particles with different k is very pronounced. |
5. Perspective and outlook
5.1. Open question
Figure 15. Graph-Dynamics correspondence. Recent studies have uncovered significant connections between the emergence of topological features in ico-networks and the local relaxation dynamics and transport behaviors of their constituent components. However, the fundamental origins and nature of some of the most prominent global topological features in ico-networks remain poorly understood. Notably, evidence suggests that the dynamic behavior of nodes within a network are closely linked to the sparsity of its overall topology (∣E∣ ∼ ∣V∣γ: γ=1, the dashed line in the left panel, is the ideal case [95]). This relationship indicates a deeper interplay between local node dynamics and global structural characteristics. Further exploration of this connection could provide valuable insights into the mechanisms governing the evolution of topological features in complex networks. |


