Welcome to visit Communications in Theoretical Physics,
Mathematical Physics

Lax integrability and superposition wave solutions of (3+1)- dimensional generalized Calogero–Bogoyavlenskii–Schiff equation

  • Taogetusang Bao , 1, 2, 3, 4, ,
  • Xiaole Zhang , 1
Expand
  • 1College of Mathematics Science, Inner Mongolia Normal University, Hohhot 010022, China
  • 2Laboratory of Infinite-Dimensional Hamiltonian System and Its Algorithm Application, Inner Mongolia, Hohhot 010022, China
  • 3Center for Applied Mathematical Science, Inner Mongolia, Hohhot 010022, China

4These authors contributed equally to this work.

Author to whom any correspondence should be addressed.

Received date: 2025-02-19

  Revised date: 2025-03-18

  Accepted date: 2025-03-31

  Online published: 2025-06-20

Copyright

© 2025 Institute of Theoretical Physics CAS, Chinese Physical Society and IOP Publishing. All rights, including for text and data mining, AI training, and similar technologies, are reserved.
This article is available under the terms of the IOP-Standard License.

Abstract

In this article, a Generalized Calogero–Bogoyavlenskii–Schiff (CBS) equation is studied, serving as an extended shallow water wave model in higher dimensions. Firstly, utilizing the Bell polynomial method, the bilinear form of the equation, bilinear Bäcklund transformation, Lax pair and infinite conservation laws are derived, confirming the equation’s complete integrability in the context of the Lax pair. Subsequently, the nonlinear superposition formula of the equation is constructed based on the derived bilinear Bäcklund transformation and an array of infinite superposition soliton solutions of the equation are formulated using this nonlinear superposition formula. Lastly, leveraging the obtained bilinear equation, infinite superposition solutions of various functional types are constructed. Their dynamic characteristics are analyzed through illustrated solution images. It is noteworthy that this paper not only uncovers a multitude of properties through the Bell polynomial method but also derives both infinite linear and nonlinear superposition solutions, enriching the diversity of solutions, these aspects have not been previously explored in existing literature.

Cite this article

Taogetusang Bao , Xiaole Zhang . Lax integrability and superposition wave solutions of (3+1)- dimensional generalized Calogero–Bogoyavlenskii–Schiff equation[J]. Communications in Theoretical Physics, 2025 , 77(10) : 105007 . DOI: 10.1088/1572-9494/adc6f2

1. Introduction

Nonlinear science [1, 2] encompasses a broad spectrum of research fields within both natural and social sciences, encompassing disciplines such as mathematics [3, 4], chemistry [5], biology [6], earth science [7], physics [8, 9], economics [10] and other pivotal areas. Its core mission is to establish bridges between mathematics and these various disciplines. Linear systems typically adhere to the principles of homogeneity and superposition, where the latter allows for straightforward analysis by considering the cumulative effect of individual stimuli as the sum of their separate responses. Conversely, nonlinear systems generally do not conform to the principle of superposition. The essence of linearity often represents an idealization of the complex real world, where multiple influencing factors must be taken into account. Consequently, there is a pressing need to delve into the development of nonlinear science to better understand and model the intricate phenomena observed in nature and society.
The quest for exact solutions to high-dimensional nonlinear evolution equations has long been a focal point for researchers, as these solutions provide invaluable insights into the underlying physical phenomena. A multitude of methods exist for tackling nonlinear systems, including the Darboux transformation method [11, 12], the variable separation approach [13], the auxiliary equation technique [14], the bilinear neural network method [15], the bilinear residual network method [16], the nonlinear superposition formula [17], the (G/G)-expansion method [18] and the weighted residual method [19]. Each of these methodologies offers a unique perspective and set of tools for deriving precise analytical solutions to complex nonlinear equations.
Transforming nonlinear evolution equations into a bilinear form constitutes a powerful approach for studying nonlinear problems. In the realm of bilinear methods for nonlinear evolution equations, two notable techniques are the Bell polynomial method [2022] and the Hirota bilinear method [2330]. The Hirota bilinear method achieves the bilinear form of nonlinear evolution equations through the introduction of transformations. In contrast, the Bell polynomial method not only yields the bilinear form of these equations but also derives corresponding bilinear Bäcklund transformations, Lax pairs, conservation laws, and more, thereby facilitating the analysis of the integrability of the nonlinear system. Furthermore, by leveraging the bilinear Bäcklund transformation of the equation, one can obtain the nonlinear superposition formula for the solution of the equation, which in turn enables the derivation of infinite superposition solutions using this formula.
In this paper, we will study a (3+1)-dimensional Calogero–Bogoyavlenskii–Schiff (CBS) equation
$\begin{eqnarray}\begin{array}{rcl} & & {u}_{t}-{l}_{1}(u{u}_{y}+{u}_{x}{\partial }_{x}^{-1}{u}_{y})-{l}_{2}u{u}_{z}-{l}_{3}{u}_{xxy}-{l}_{4}{u}_{xxz}+{l}_{5}{u}_{x}\\ & & +{\partial }_{x}^{-1}{u}_{yy}+{l}_{7}{\partial }_{x}^{-1}{u}_{zz}-{l}_{8}{u}_{x}{\partial }_{x}^{-1}{u}_{z}=0,\end{array}\end{eqnarray}$
where l1l2, …, l8 are nonzero constants and u is a function of variables x, y, z and t. The lump, mixed lump-stripe, mixed rogue wave-stripe and breather wave solutions of equation (1) through the the Hirota method and symbolic computation [31]. The N-soliton solutions composed of the higher-order breather, periodic line wave and the mixed forms were studied by the Hirota bilinear method and the rational and semi-rational solutions of the equation were acquired by using complex conjugate parameter relations and the long-wave limit method [32].
If the parameters l1 = a = bl2 = l8 = − cl3 =l4 = − 1, l5 = l6 = l7 = 0, then equation (1) will be turned out (2) given as
$\begin{eqnarray}\begin{array}{rcl} & & {u}_{t}-au{u}_{y}+b{u}_{x}{\partial }_{x}^{-1}{u}_{y}\\ & & +cu{u}_{z}+{u}_{xxy}+{u}_{xxz}+c{u}_{x}{\partial }_{x}^{-1}{u}_{z}=0,\end{array}\end{eqnarray}$
based on the Cole–Hopf transformation and the Hirota bilinear method to derive multiple soliton solutions and multiple singular soliton solutions for these equations [33]. We obtain commutator table of through Lie brackets and symmetry groups for the CBS equation and obtain closed-form solutions of the CBS equation by using the invariance property of Lie group transformations [34].
If the parameters ${l}_{1}=1,{l}_{4}=\frac{1}{4}$,${l}_{8}=\frac{1}{2}$,l1 = l3 = l5 =l7 = 0, then equation (1) will be turned out (2+1)-dimensional potential Yu–Toda–Sa–Fukuyama (YTSF) equation,
$\begin{eqnarray}{u}_{t}-u{u}_{z}-\frac{1}{4}{u}_{xxz}-\frac{3}{4}{\partial }_{x}^{-1}{u}_{yy}-\frac{1}{2}{u}_{x}{\partial }_{x}^{-1}{u}_{z}=0.\end{eqnarray}$
Weierstrass elliptic function solutions are investigated by applying the traveling wave transformation and auxiliary equations to a (2+1)-dimensional potential (YTSF) equation [35].
Compared to the existing literature, it is essential to consider both the equation and its compatibility conditions concurrently when utilizing the Bell polynomial method. It is noteworthy that our work transcends merely obtaining the bilinear form of equation (1) using the Bell polynomial method. We also deduce several crucial properties, including the bilinear Bäcklund transformation, Lax pair, infinite conservation laws and the nonlinear superposition formula. Furthermore, we have demonstrated that equation (1) is completely integrable in the sense of the Lax pair.
It is emphasized that this paper not only extracts a multitude of properties via the Bell polynomial method but also constructs a nonlinear superposition formula for the CBS equation. By applying this nonlinear superposition principle, we obtain infinite superposition solutions for the equation. Through this research, we not only deepen our understanding of nonlinear wave phenomena but also offer new perspectives and methodologies for future scientific endeavors.
The structure of the paper will be organized as follows: in section 2, we will present the definition and properties of Bell polynomials. In section 3, we will derive the bilinear form of equation (1). In section 4, we will discuss the bilinear Bäcklund transformation, Lax pairs, and the integrability of equation (1) in the sense of the Lax pair. In section 5, we will obtain infinite conservation laws for equation (1). In section 6, we will derive the nonlinear superposition formula for equation (1). In section 7, we will explore superposition wave solutions and utilize the symbolic calculation system Mathematica to draw three-dimensional maps, contour maps, and line plots in order to analyze their dynamic characteristics.

2. Definition and properties of Bell polynomials

First, the concept and properties of Bell polynomials are briefly introduced.
The first type of Bell polynomial is defined as
$\begin{eqnarray}{\xi }_{0}(x,t,r)={{\rm{e}}}^{-t{x}^{r}}{\partial }_{x}^{n}{{\rm{e}}}^{t{x}^{r}},\end{eqnarray}$
which r is a constant, n is any integer, x and t are independent variables.
The second type of Bell polynomial φn is a polynomial about α1, · · · , αn, which is defined as
$\begin{eqnarray}{\phi }_{n}=\phi ({\alpha }_{1},\cdot \cdot \cdot ,{\alpha }_{n}),{\phi }_{0}=1,{\phi }_{n+1}\displaystyle \sum _{s=1}^{n}\left(\frac{n}{s}\right){\alpha }_{s+1}{\phi }_{n-s},\end{eqnarray}$
where (α1, · · · , αn) is an infinite sequence of variables independent.
The third type of Bell polynomial is a generalization of the first and second type of Bell polynomials, which are defined as
$\begin{eqnarray}{Y}_{n}={Y}_{n}({y}_{t},\cdot \cdot \cdot ,{y}_{nt})={{\rm{e}}}^{-y}{\partial }_{t}^{n}{{\rm{e}}}^{y},\end{eqnarray}$
including $y={{\rm{e}}}^{\alpha t}-{\alpha }_{0}\equiv {\alpha }_{1}t+\frac{{\alpha }_{2}{t}^{2}}{2!}+\cdot \cdot \cdot $, and the third type of Bell polynomial is the function of y and the first few low-order polynomials of the third type of Bell polynomial are given below
$\begin{eqnarray}{Y}_{0}={f}_{x},{Y}_{1}={y}_{t},{Y}_{2}={y}_{y}^{2}+{y}_{2t},{Y}_{3}={f}_{t}^{3}+3{y}_{t}{y}_{2t}+{y}_{3t},\cdot \cdot \cdot \end{eqnarray}$
The third type of Bell polynomial is extended to multidimensionality, which is closely related to bilinear equations, and its definition and correlation properties are introduced next.

Definition 1.Assuming that f = f(x1x2, · · · , xn) is a function on ${{\mathbb{C}}}^{\infty }$,

$\begin{eqnarray}\begin{array}{l}{Y}_{{n}_{1}{x}_{1},{n}_{2}{x}_{2},\cdot \cdot \cdot ,{n}_{r}{x}_{r}}(f)\\ \equiv {Y}_{{n}_{1}{x}_{1},{n}_{2}{x}_{2},\cdot \cdot \cdot ,{n}_{r}{x}_{r}}({f}_{{l}_{1}{x}_{1}},{f}_{{l}_{2}{x}_{2}},\cdot \cdot \cdot ,{f}_{{l}_{r}{x}_{r}})={{\rm{e}}}^{-f}{\partial }_{{x}_{1}}^{{n}_{1}}\cdot \cdot \cdot {\partial }_{{x}_{r}}^{{n}_{r}}{{\rm{e}}}^{f},\end{array}\end{eqnarray}$
is called the Bell polynomial, which is simply denoted as the Y-polynomial.

Eg1: we can calculate the initial explicit expressions by the definition as follows
$\begin{eqnarray}\begin{array}{rcl}{Y}_{1x}(f) & = & {f}_{x},{Y}_{2x}(f)={f}_{2x}+{f}_{x}^{2},\\ {Y}_{3x}(f) & = & {f}_{3x}+3{f}_{x}{f}_{2x}+{f}_{x}^{3},\cdot \cdot \cdot \end{array}\end{eqnarray}$
Eg2: as for a special function f with the variables x, y, we give rise to the following several initial values under the definition of the Bell polynomial.
$\begin{eqnarray}{Y}_{x,t}(f)={f}_{x,t}+{f}_{x}{f}_{t},{Y}_{2x,t}(f)={f}_{2x,y}+{f}_{2x}{f}_{t}+{f}_{x}^{2}{f}_{t},\cdot \cdot \cdot \end{eqnarray}$
​​​​​​

Definition 2.In the view of the multivariables Bell polynomial, the Bell polynomial can be defined as follows

$\begin{eqnarray}{{ \mathcal Y }}_{{n}_{1}{x}_{1},\cdot \cdot \cdot ,{n}_{l}{x}_{l}}(v,w)={Y}_{{n}_{1}\cdot \cdot \cdot ,{n}_{l}}({f}_{{n}_{1}{x}_{1},\cdot \cdot \cdot ,{n}_{l}{x}_{l}}),\end{eqnarray}$
where w and v both are the ${{\mathbb{C}}}^{\infty }$ function with the variables x1, · · · , xl

$\begin{eqnarray}{f}_{{r}_{1}{x}_{1},\cdot \cdot \cdot ,{r}_{l}{x}_{l}}=\left\{\begin{array}{l}{v}_{{n}_{1}{x}_{1}},{l}_{1}{x}_{1},{l}_{1}+\cdot \cdot \cdot +{l}_{r}=\mathrm{odd},\\ {w}_{{n}_{1}{x}_{1}},{l}_{1}{x}_{1},{l}_{1}+\cdot \cdot \cdot +{l}_{r}=\mathrm{even}.\end{array}\right..\end{eqnarray}$
The first few low-order double Bell polynomials
$\begin{eqnarray}\begin{array}{rcl}{{ \mathcal Y }}_{x}(v,w) & = & {v}_{x},{{ \mathcal Y }}_{2x}(v,w)={v}_{x}^{2}+{w}_{2x},{{ \mathcal Y }}_{3x}(v,w)={v}_{x}^{3}+3{v}_{x}{w}_{2x}+{v}_{3x},\\ {{ \mathcal Y }}_{x,t}(v,w) & = & {v}_{x}{v}_{y}+{w}_{xt}{{ \mathcal Y }}_{4x}(v,w)={w}_{4x}+4{v}_{x}{v}_{3x}+6{v}_{x}^{2}{w}_{2x}+{v}_{x}^{4},\cdot \cdot \cdot \end{array}\end{eqnarray}$
​​

Theorem 1.Bell polynomial (12) can be written as the Hirota D-operator through a transformation identity

$\begin{eqnarray}{{ \mathcal Y }}_{{n}_{1}{x}_{1},\cdot \cdot \cdot ,{n}_{r}{x}_{x}}({\mathrm{ln}}\,\frac{F}{G},FG)={(FG)}^{-1}{D}_{{x}_{1}}^{{n}_{1}}\cdot \cdot \cdot {D}_{{x}_{r}}^{{n}_{r}}F\cdot G,\end{eqnarray}$
which is n1 + n2 + n3 + · · · nr≥1.

When F = G the relation (14) can use the following formula to redefine
$\begin{eqnarray}\begin{array}{rcl} & & {(FG)}^{-1}{D}_{{x}_{1}}^{{n}_{1}}\cdot \cdot \cdot {D}_{{x}_{r}}^{{n}_{r}}F\cdot G\\ & = & \left\{\begin{array}{l}0,{n}_{1}+\cdot \cdot \cdot +{n}_{r}=\mathrm{odd},\\ {P}_{{n}_{1}{x}_{1},\cdot \cdot \cdot ,{n}_{r}{x}_{r}}(q),{n}_{1}+\cdot \cdot \cdot +{n}_{r}=\mathrm{even}.\end{array}\right.\end{array}\end{eqnarray}$
The following equation is called the P-polynomial
$\begin{eqnarray}{P}_{{n}_{1}{x}_{1},\cdot \cdot \cdot ,{n}_{l}{x}_{l}}(q)={{ \mathcal Y }}_{{n}_{1}{x}_{1},\cdot \cdot \cdot ,{n}_{l}{x}_{l}}(0,q=2\,{\mathrm{ln}}\,F),\end{eqnarray}$
only if n1 + n2 + , · · · , + nl is an even number.

3. Bilinear form

By transforming nonlinear partial differential equations into a bilinear form, by solving bilinear equations, exact solutions can be generated. In this section, we will use Bell polynomial method to obtain the bilinear form of the equation (1).
Make transformation
$\begin{eqnarray}u=c{q}_{xx},\end{eqnarray}$
where c is an arbitrary constant.
Substituting equation (17) into equation (1), taking c = 1, with l1 = 3l3l2 = l8 = 3l4,
$\begin{eqnarray}\begin{array}{rcl} & & {q}_{xxt}-3{l}_{3}({q}_{xx}{q}_{xxy}+{q}_{xxx}{q}_{xy})\\ & & -3{l}_{4}{q}_{xx}{q}_{xxz}-{l}_{3}{q}_{xxxxy}-{l}_{4}{q}_{xxxxz}\\ & & +{l}_{5}{q}_{xxx}+{l}_{6}{q}_{xyy}+{l}_{7}{q}_{xzz}-3{l}_{4}{q}_{xxx}{q}_{zx}=0,\end{array}\end{eqnarray}$
integrate equation with variable x once and make the integral constants as zero to obtain
$\begin{eqnarray}\begin{array}{rcl} & & {q}_{xt}-3{l}_{3}{q}_{xx}{q}_{xy}-3{l}_{4}{q}_{xx}{q}_{xz}-{l}_{3}{q}_{xxxy}-{l}_{4}{q}_{xxxz}\\ & & +{l}_{5}{q}_{xx}+{l}_{6}{q}_{yy}+{l}_{7}{q}_{zz}=0.\end{array}\end{eqnarray}$
According to the correlation properties of the P-polynomial,
$\begin{eqnarray}\begin{array}{rcl}{P}_{2x}(q) & = & {q}_{2x},{P}_{xt}(q)={q}_{xt},{P}_{4x}(q)\\ & = & {q}_{4x}+3{q}_{2x}^{2},{P}_{3t,x}(q)={q}_{3t,x}+3{q}_{2t}{q}_{xt}.\end{array}\end{eqnarray}$
Equation (19) can be expressed by the P-polynomial as
$\begin{eqnarray}{P}_{xt}-{l}_{3}{P}_{3x,y}-{l}_{4}{P}_{3x,z}+{l}_{5}{P}_{xx}+{l}_{6}{P}_{yy}+{l}_{7}{P}_{zz}=0.\end{eqnarray}$
From the relationship between the double Bell polynomial and the Hirota linear term, the bilinear form of equation (1) is obtained
$\begin{eqnarray}({D}_{x}{D}_{t}-{l}_{3}{D}_{x}^{3}{D}_{y}-{l}_{4}{D}_{x}^{3}{D}_{z}+{l}_{5}{D}_{x}^{2}+{l}_{6}{D}_{y}^{2}+{l}_{7}{D}_{z}^{2})f\cdot f=0.\end{eqnarray}$

4. Bilinear Bäcklund transformation and Lax pair

In order to obtain the Bäcklund transformation of the equation, let and be two different solutions of equation (19), respectively, and substitute the two solutions into the equation and perform algebraic operations, as follows
$\begin{eqnarray}\begin{array}{rcl} & & E(\bar{q})-E(q)\\ & = & -2{l}_{3}[3({\bar{q}}_{xx}{\bar{q}}_{xy}-{q}_{xx}{q}_{xy})+{(\bar{q}-q)}_{xxxy}]\\ & & -2{l}_{4}[3({\bar{q}}_{xx}{\bar{q}}_{xz}-{q}_{xx}{q}_{xz})\\ & & +{(\bar{q}-q)}_{xxxz}]2{(\bar{q}-q)}_{xt}+2{l}_{5}{(\bar{q}-q)}_{xx}\\ & & +2{l}_{6}{(\bar{q}-q)}_{yy}+2{l}_{7}{(\bar{q}-q)}_{zz}=0.\end{array}\end{eqnarray}$
Two new variables have been introduced
$\begin{eqnarray}v=\frac{(\bar{q}-q)}{2}={\mathrm{ln}}\,F/G,w=\frac{(\bar{q}+q)}{2}={\mathrm{ln}}\,FG.\end{eqnarray}$
Then (23) can be rewritten as follows
$\begin{eqnarray}\begin{array}{rcl}E(w+v)-E(w-v) & = & 2\{-{l}_{3}[3({v}_{yx}{w}_{xx}-{w}_{yx}{v}_{xx})+{v}_{xxxy}]\\ & & -{l}_{4}[3({v}_{zx}{w}_{xx}-{w}_{zx}{v}_{xx})+{v}_{xxxz}]+{v}_{xt}+{l}_{5}{v}_{xx}+{l}_{6}{v}_{yy}+{l}_{7}{v}_{zz}\}\\ & = & 2[{\partial }_{x}({l}_{5}{{ \mathcal Y }}_{x}+{{ \mathcal Y }}_{t})-{\partial }_{y}({l}_{3}{{ \mathcal Y }}_{3x}-{l}_{6}{{ \mathcal Y }}_{y})+{\partial }_{z}({l}_{4}{{ \mathcal Y }}_{3x}-{l}_{7}{{ \mathcal Y }}_{z})]\\ & & +{Q}_{1}(v,w)+{Q}_{2}(v\,\rm{,w}\,)=0.\end{array}\end{eqnarray}$
where ${Q}_{1}(v,w)\,=\,6W[{{ \mathcal Y }}_{x}(v,\,w),\,{{ \mathcal Y }}_{x,y}(v,\,w)],{Q}_{2}(v,w)\,=6W[{{ \mathcal Y }}_{x}(v,w),{{ \mathcal Y }}_{x,z}(v,w)].$ In order to make equation (25) constant zero, the Bäcklund transform of the Bell polynomial of the equation is obtained by combining the correlation method
$\begin{eqnarray}\begin{array}{c}\left\{\begin{array}{c}{{ \mathcal Y }}_{{xy}}=\lambda {{ \mathcal Y }}_{x},\\ {{ \mathcal Y }}_{{xz}}=\lambda {{ \mathcal Y }}_{x,}\\ {l}_{3}{{ \mathcal Y }}_{3x}-{l}_{6}{{ \mathcal Y }}_{y}-\lambda =0,\\ {l}_{4}{{ \mathcal Y }}_{3x}-{l}_{7}{{ \mathcal Y }}_{z}-\lambda =0,\\ {{ \mathcal Y }}_{t}+{l}_{5}{{ \mathcal Y }}_{x}-\lambda =0,\end{array}\right.\end{array}\end{eqnarray}$
where λ is an arbitrary constant.
From the relationship between polynomial and bilinear operator, the bilinear Bäcklund transform of equation (1) is obtained,
$\begin{eqnarray}\left\{\begin{array}{l}({D}_{x}{D}_{y}-\lambda {D}_{x})F\cdot G=0,\\ ({D}_{x}{D}_{z}-\lambda {D}_{x})F\cdot G=0,\\ ({l}_{3}{D}_{x}^{3}-{l}_{6}{D}_{y}-\lambda )F\cdot G=0,\\ ({l}_{4}{D}_{x}^{3}-{l}_{7}{D}_{z}-\lambda )F\cdot G=0,\\ ({D}_{t}+{l}_{5}{D}_{x}-\lambda )F\cdot G=0.\end{array}\right.\end{eqnarray}$
Based on the Hopf–Cole transformation, making v = lnψ, derives the following expression from the properties of the ${ \mathcal Y }-$ polynomial:
$\begin{eqnarray}\begin{array}{rcl}{{ \mathcal Y }}_{x}(v) & = & \frac{{\psi }_{x}}{\psi },{{ \mathcal Y }}_{t}(v)=\frac{{\psi }_{t}}{\psi },{{ \mathcal Y }}_{y}(v)=\frac{{\psi }_{y}}{\psi },{{ \mathcal Y }}_{2x}(v,w)={q}_{2x}+\frac{{\psi }_{2x}}{\psi },\\ {{ \mathcal Y }}_{x,y}(v,w) & = & \frac{{\psi }_{x,y}}{\psi }+{q}_{xy},{{ \mathcal Y }}_{3x}(v,w)=\frac{{\psi }_{3x}}{\psi }+3{q}_{2x}\frac{{\psi }_{x}}{\psi }.\end{array}\end{eqnarray}$
Substituting equation (28) into equation (26) gets
$\begin{eqnarray}\left\{\begin{array}{l}\lambda {\psi }_{x}={\psi }_{xy}+{q}_{xy}\psi ,\\ \lambda {\psi }_{x}={\psi }_{xz}+{q}_{xz}\psi ,\\ {l}_{3}{\psi }_{3x}+3{l}_{3}{q}_{2x}{\psi }_{x}-{l}_{6}{\psi }_{y}=\lambda \psi ,\\ {l}_{4}{\psi }_{3x}+3{l}_{4}{q}_{2x}{\psi }_{x}-{l}_{7}{\psi }_{z}=\lambda \psi ,\\ {\psi }_{t}+{l}_{5}{\psi }_{x}=\lambda \psi .\end{array}\right.\end{eqnarray}$
The first and second sub-formulas in (29) are substituted into the other formulas, we can get
$\begin{eqnarray}\left\{\begin{array}{l} {\left[\partial_{t}+L_{1}\right] \psi=\left[\partial_{t}+l_{3} \partial_{x}^{3}+3 l_{3} q_{2 x} \frac{\partial_{x} \partial_{y}+q_{x y}}{\lambda}-l_{6} \partial_{y}+l_{5} \partial_{x}-2 \lambda\right] \psi,} \\ {\left[L_{2}-\lambda\right] \psi=\left[l_{4} \partial_{x}^{3}+3 l_{4} q_{2 x} \frac{\partial_{x} \partial_{z}+q_{x z}}{\lambda}-l_{7} \partial_{z}-\lambda\right] \psi .} \end{array}\right.\end{eqnarray}$
The Lax pair of equations satisfies [∂t + L1L2 − λ] = 0, where ${L}_{2}={l}_{4}{\partial }_{x}^{3}+3{l}_{4}{q}_{2x}\frac{{\partial }_{x}{\partial }_{z}+{q}_{xz}}{\lambda }-{l}_{7}{\partial }_{z},{L}_{1}={l}_{3}{\partial }_{x}^{3}+3{l}_{3}{q}_{2x}\frac{{\partial }_{x}{\partial }_{y}+{q}_{xy}}{\lambda }-{l}_{6}{\partial }_{y}+{l}_{5}{\partial }_{x}-2\lambda .$
In the transformation of bilinear representation, the product is satisfied by replacing u with which happens to be equation (1).

5. Infinite conservation laws

From the relation ${\partial }_{x}{{ \mathcal Y }}_{y}={\partial }_{y}{{ \mathcal Y }}_{x}={v}_{xy}$, then the formula (26) can be rewritten as
$\begin{eqnarray}\left\{\begin{array}{l}{w}_{xy}+{v}_{x}{v}_{y}-\lambda {v}_{x}=0,\\ {w}_{xz}+{v}_{x}{v}_{z}-\lambda {v}_{x}=0,\\ {\partial }_{x}[({l}_{3}+{l}_{4})({v}_{3x}+3{v}_{x}{w}_{2x}+{v}_{x}^{3})+{v}_{t}+{l}_{5}{v}_{x}+{l}_{6}{v}_{y}-{l}_{7}{v}_{z}]=0.\end{array}\right.\end{eqnarray}$
Introducing potential function $\eta =\frac{{q}_{x}^{{}^{{\prime} }}-{q}_{x}}{2}$, according to the transformation (24), we get
$\begin{eqnarray}{v}_{x}=\eta ,{w}_{x}={q}_{x}+\eta .\end{eqnarray}$
Substituting formulas (32) into equation (31), we get
$\begin{eqnarray}{\eta }_{y}+\eta {\partial }_{x}^{-1}{\eta }_{y}+{q}_{xy}-\lambda \eta =0,\end{eqnarray}$
and a discrete equation
$\begin{eqnarray}\begin{array}{rcl} & & ({l}_{3}+{l}_{4}){\partial }_{x}({\eta }_{xx}+3\eta {q}_{xx}+3\eta {\eta }_{x}+{\eta }^{3})+{\eta }_{t}\\ & & +{l}_{5}{\eta }_{x}+{l}_{6}{\eta }_{y}-{l}_{7}{\eta }_{z}=0.\end{array}\end{eqnarray}$
To balance equations (33) and (34), we expand the function into the following series
$\begin{eqnarray}\eta =\varepsilon +\displaystyle \sum _{n=1}^{\infty }{I}_{n}(q,{q}_{x},\cdots \,){\varepsilon }^{-n}.\end{eqnarray}$
Substituting equation (35) compares the power coefficient of ϵ to obtain the recursive relation of the conserved density In
$\begin{eqnarray}\begin{array}{rcl}{I}_{1} & = & -u,\\ {I}_{2} & = & -{\partial }_{x}^{-1}{I}_{1,yy}+\lambda {I}_{1,y},\cdots \,{,}\\ {I}_{n} & = & -{\partial }_{x}^{-1}({I}_{n-1,yy}+\lambda {I}_{n-1,y}-\displaystyle \sum _{i=1}^{n-2}{I}_{i}{I}_{n-i-1}),n=3,4\cdots \,.\end{array}\end{eqnarray}$
Then substitute the series (35) into the (34) formula
$\begin{eqnarray}\begin{array}{l}({l}_{3}+{l}_{4}){\partial }_{x}\left[\displaystyle \sum _{n=1}^{\infty }{I}_{n,2x}{\varepsilon }^{-n}+3\left(\varepsilon +\displaystyle \sum _{n=1}^{\infty }{I}_{n}{\varepsilon }^{-n}\right){q}_{xx}\right.\\ \left.+3\left(\varepsilon +\displaystyle \sum _{n=1}^{\infty }{I}_{n}{\varepsilon }^{-n}\right)\displaystyle \sum _{n=1}^{\infty }{I}_{n,x}{\varepsilon }^{-n}+{\left(\varepsilon +\displaystyle \sum _{n=1}^{\infty }{I}_{n}{\varepsilon }^{-n}\right)}^{3}\right]\\ +{l}_{5}\displaystyle \sum _{n=1}^{\infty }{I}_{n,x}{\varepsilon }^{-n}+{l}_{6}\displaystyle \sum _{n=1}^{\infty }{I}_{n,y}{\varepsilon }^{-n}-{l}_{7}\displaystyle \sum _{n=1}^{\infty }{I}_{n,z}{\varepsilon }^{-n}=0.\end{array}\end{eqnarray}$
Comparing the power coefficient of ϵ, the law of conservation of infinity is obtained
$\begin{eqnarray}{I}_{n,z}+{I}_{n,t}+{I}_{n,y}+{F}_{n,x}=0.\end{eqnarray}$
Concatenated flow Fn satisfies the following recursive relationship
$\begin{eqnarray}\begin{array}{rcl}{F}_{1} & = & ({l}_{3}+{l}_{4})({I}_{1,xx}+3{q}_{xx}{I}_{1}+3{I}_{2,x}+{I}_{1})+{l}_{5}{I}_{1},\\ {F}_{2} & = & ({l}_{3}+{l}_{4})({I}_{2,xx}+3{q}_{xx}{I}_{2}+3{I}_{3,x}+3{I}_{1}^{2}+{I}_{2})]+{l}_{5}{I}_{2},\cdots \,{,}\\ {F}_{n} & = & ({l}_{3}+{l}_{4})[{I}_{n,xx}+3{q}_{xx}{I}_{n}+3{I}_{n+1,x}\\ & & +3\displaystyle \sum _{i+j+k=n}{I}_{i}{I}_{j}{I}_{k}+{I}_{n}+{l}_{5}{I}_{n},n=3,4,...\end{array}\end{eqnarray}$

6. Nonlinear superposition formula

In what follows, let f0 be a solution of the CBS equation (1) and f0 ≠ 0. Suppose that fi(i = 1, 2), is a solution of (1) which is related by f0 under BT (22) which λi and that f12 is defined by
$\begin{eqnarray}{D}_{x}{f}_{0}\cdot {f}_{12}=k{D}_{x}{f}_{1}\cdot {f}_{2}(k\ne 0),\end{eqnarray}$
From (35) is known [(DxDy − λ1Dx)f0 · f1]f2 = 0, [DxDy − λ2Dx)f0 · f2]f1 = 0, so we can prove
$\begin{eqnarray}\begin{array}{rcl} & & -{D}_{y}{f}_{1}\cdot {f}_{2}-({\lambda }_{1}-{\lambda }_{2}){f}_{1}{f}_{2}-\frac{1}{k}{D}_{y}{f}_{0}\cdot {f}_{12}\\ & & +\frac{1}{k}({\lambda }_{1}+{\lambda }_{2}){f}_{0}{f}_{12}={c}_{1}(t){f}_{0}^{2},\end{array}\end{eqnarray}$
where c1(t) is some function of t.
From these assumptions, using (90) in this order, then we have the following
$\begin{eqnarray}\begin{array}{c}0=[({D}_{x}{D}_{y}-{\lambda }_{1}{D}_{x}){f}_{0}\cdot {f}_{1}]{f}_{2}-[{D}_{x}{D}_{y}-{\lambda }_{2}{D}_{x}){f}_{0}\cdot {f}_{2}]{f}_{1}\\ =\,-{f}_{0x}{D}_{y}{f}_{1}\cdot {f}_{2}-{f}_{0y}{D}_{x}{f}_{1}\cdot {f}_{2}+\frac{1}{2}{f}_{0}[{({D}_{x}{f}_{1}\cdot {f}_{2})}_{y}\\ +\,{({D}_{y}{f}_{1}\cdot {f}_{2})}_{x}]\\ -\,({\lambda }_{1}-{\lambda }_{2}){f}_{0x}{f}_{1}{f}_{2}+\frac{1}{2}{f}_{0}[({\lambda }_{1}+{\lambda }_{2}){D}_{x}{f}_{1}\cdot {f}_{2}\\ +\,({\lambda }_{1}-{\lambda }_{2}){({f}_{1}{f}_{2})}_{x}]\\ =\,{f}_{0x}[-{D}_{y}{f}_{1}\cdot {f}_{2}-({\lambda }_{1}-{\lambda }_{2}){f}_{1}{f}_{2}]-\frac{1}{k}{f}_{0y}{D}_{x}{f}_{0}\cdot {f}_{12}\\ +\,\frac{1}{2k}{f}_{0}{({D}_{x}{f}_{0}\cdot {f}_{12})}_{y}\\ +\,\frac{1}{2k}({\lambda }_{1}+{\lambda }_{2}){f}_{0}{D}_{x}{f}_{0}\cdot {f}_{12}+\frac{1}{2}{f}_{0}{[{D}_{y}{f}_{1}\cdot {f}_{2}+({\lambda }_{1}-{\lambda }_{2}){f}_{1}{f}_{2}]}_{x}\\ =\,{f}_{0x}(-{D}_{t}{f}_{1}\cdot {f}_{2}-({\lambda }_{1}-{\lambda }_{2}){f}_{1}{f}_{2}-\frac{1}{k}{D}_{t}{f}_{0}\cdot {f}_{12}+\frac{1}{k}({\lambda }_{1}+{\lambda }_{2}){f}_{0}{f}_{12})\\ +\,\frac{1}{2}{f}_{0}{\left(-{D}_{y}{f}_{1}\cdot {f}_{2}-({\lambda }_{1}-{\lambda }_{2}){f}_{1}{f}_{2}-\frac{1}{k}{D}_{y}{f}_{0}\cdot {f}_{12}+\frac{1}{k}({\lambda }_{1}+{\lambda }_{2}){f}_{0}{f}_{12}\right)}_{x}.\end{array}\end{eqnarray}$
Similarly, we can show that
$\begin{eqnarray}\begin{array}{rcl} & & -{D}_{z}{f}_{1}\cdot {f}_{2}-({\lambda }_{1}-{\lambda }_{2}){f}_{1}{f}_{2}-\frac{1}{k}{D}_{z}{f}_{0}\cdot {f}_{12}\\ & & +\frac{1}{k}({\lambda }_{1}+{\lambda }_{2}){f}_{0}{f}_{12}={c}_{2}(t){f}_{0}^{2},\end{array}\end{eqnarray}$
where c2(t) is some function of t. Next, using (79), (80), (81) and (82) in this order, then we have the following
$\begin{eqnarray}\begin{array}{rcl}0 & = & [({l}_{3}{D}_{x}^{3}-{l}_{6}{D}_{y}-{\lambda }_{1}){f}_{0}\cdot {f}_{1}]{f}_{2}\\ & & -[({l}_{3}{D}_{x}^{3}-{l}_{6}{D}_{y}-{\lambda }_{2}){f}_{0}\cdot {f}_{2}]{f}_{1}\\ & = & {l}_{3}\{3{f}_{0x}{({D}_{x}{f}_{1}\cdot {f}_{2})}_{x}-3{f}_{0xx}{D}_{x}{f}_{1}\cdot {f}_{2}\\ & & -\frac{1}{4}{f}_{0}[{D}_{x}^{2}{f}_{1}\cdot {f}_{2}+3{({D}_{x}{f}_{1}\cdot {f}_{2})}_{xx}]\}\\ & & +{l}_{6}{D}_{y}({f}_{1}\cdot {f}_{2}){f}_{0}+({\lambda }_{2}-{\lambda }_{1}){f}_{0}{f}_{1}{f}_{2}\\ & = & {l}_{3}\{\frac{3}{k}{f}_{0x}{({D}_{x}{f}_{0}\cdot {f}_{12})}_{x}-\frac{3}{k}{f}_{0xx}{D}_{x}{f}_{0}\cdot {f}_{12}\\ & & -\frac{1}{4}{f}_{0}[{D}_{x}^{2}{f}_{1}\cdot {f}_{2}+\frac{3}{k}{({D}_{x}{f}_{0}\cdot {f}_{12})}_{xx}]\}\\ & & +{l}_{6}{D}_{y}({f}_{1}\cdot {f}_{2}){f}_{0}+({\lambda }_{2}-{\lambda }_{1}){f}_{0}{f}_{1}{f}_{2}\\ & = & {f}_{0}\{{l}_{3}[-\frac{3}{4k}{D}_{x}^{3}{f}_{0}\cdot {f}_{12}]\\ & & -\frac{1}{4}{D}_{x}^{3}{f}_{1}\cdot {f}_{2}]\\ & & +{l}_{6}{D}_{y}({f}_{1}\cdot {f}_{2})+({\lambda }_{2}-{\lambda }_{1}){f}_{1}{f}_{2}\},\end{array}\end{eqnarray}$
which implies that
$\begin{eqnarray}{l}_{3}[-\frac{3}{4k}{D}_{x}^{3}({f}_{0}\cdot {f}_{12})-\frac{1}{4}{D}_{x}^{3}{f}_{1}\cdot {f}_{2}]+{l}_{6}{D}_{y}({f}_{1}\cdot {f}_{2})+({\lambda }_{2}-{\lambda }_{1}){f}_{1}{f}_{2}={c}_{3}{f}_{0}^{2},\end{eqnarray}$
and using (83) and (84) in this order, then we have the following
$\begin{eqnarray}\begin{array}{rcl}0 & = & {[({l}_{3}{D}_{x}^{3}-{l}_{6}{D}_{y}-{\lambda }_{1})({f}_{0}\cdot {f}_{1})]}_{x}{f}_{2}-{[({l}_{3}{D}_{x}^{3}-{l}_{6}{D}_{y}-{\lambda }_{2})({f}_{0}\cdot {f}_{2})]}_{x}{f}_{1}\\ & = & {l}_{3}\{-2{f}_{0xxx}{D}_{x}{f}_{1}\cdot {f}_{2}+{f}_{0x}[\frac{1}{2}{D}_{x}^{3}{f}_{1}\cdot {f}_{2}+3{D}_{x}{f}_{1}\cdot {f}_{2}\\ & & +3{D}_{x}{{f}_{1}\cdot {f}_{2}}_{xx}]\\ & & -\frac{1}{2}{f}_{0}[{D}_{x}^{3}{{f}_{1}\cdot {f}_{2}}_{x}\\ & & +{D}_{x}{{f}_{1}\cdot {f}_{2}}_{xxx}]\}-{l}_{6}{f}_{0}{[{D}_{y}{f}_{1}\cdot {f}_{2}]}_{x}\\ & & +{f}_{0x}({\lambda }_{2}-{\lambda }_{1}){f}_{1}{f}_{2}\\ & & -\frac{1}{2}{f}_{0}[({\lambda }_{2}+{\lambda }_{1}){D}_{x}{f}_{1}\cdot {f}_{2}+({\lambda }_{2}-{\lambda }_{1}){{({f}_{1}{f}_{2})}_{x}}_{x}\\ & = & -\frac{2{l}_{3}}{k}{f}_{0xxx}{D}_{x}{f}_{0}\cdot {f}_{12}+{f}_{0x}\{\frac{{l}_{3}}{2}{D}_{x}^{3}{f}_{1}\cdot {f}_{2}+\frac{1}{2}({\lambda }_{2}-{\lambda }_{1}){f}_{1}{f}_{2}\\ & & +\frac{{l}_{3}}{2k}[{D}_{x}{{f}_{0}\cdot {f}_{12}}_{xx}]\}+{f}_{0}{\left\{-\frac{{l}_{3}}{2}{D}_{x}^{3}{f}_{1}\cdot {f}_{2}-\frac{{l}_{3}}{2k}{[{D}_{x}{f}_{0}\cdot {f}_{12}]}_{xx}+\frac{1}{2}({\lambda }_{2}-{\lambda }_{1}){f}_{1}{f}_{2}\right\}}_{x}\\ & & -\frac{1}{2k}{f}_{0}({\lambda }_{2}+{\lambda }_{1}){D}_{x}({f}_{0}\cdot {f}_{12})+\frac{1}{2}{l}_{6}{f}_{0}[{({D}_{x}{f}_{1}\cdot {f}_{2})}_{y}+{({\gamma }_{3}{D}_{y}{f}_{1}\cdot {f}_{2})}_{x}]\\ & = & {f}_{0x}[{l}_{6}{D}_{y}{f}_{1}\cdot {f}_{2}+\frac{{l}_{3}}{2}{D}_{x}^{3}{f}_{1}\cdot {f}_{2}+\frac{1}{2}({\lambda }_{2}-{\lambda }_{1}){f}_{1}{f}_{2}-\frac{{l}_{3}}{2k}{D}_{x}^{3}{f}_{0}\cdot {f}_{12}\\ & & -\frac{1}{k}({\lambda }_{2}+{\lambda }_{1}){f}_{0}{f}_{12}]+{f}_{0}\left[\frac{{l}_{6}}{2}{D}_{y}{f}_{1}\cdot {f}_{2}+\frac{{l}_{3}}{4}{D}_{x}^{3}{f}_{1}\cdot {f}_{2}+\frac{1}{4}({\lambda }_{2}-{\lambda }_{1}){f}_{1}{f}_{2}\right.\\ & & {\left.-\frac{{l}_{3}}{4k}{D}_{x}^{3}{f}_{0}\cdot {f}_{12}-\frac{1}{2k}({\lambda }_{2}+{\lambda }_{1}){f}_{0}{f}_{12}\right]}_{x}\\ & = & {f}_{0x}\{-\frac{{l}_{6}}{k}{D}_{y}{f}_{0}\cdot {f}_{12}+{l}_{3}[\frac{3}{4}{D}_{x}^{3}{f}_{1}\cdot {f}_{2}+\frac{1}{4k}{D}_{x}^{3}{f}_{0}\cdot {f}_{12}]-\frac{1}{k}({\lambda }_{2}+{\lambda }_{1}){f}_{0}{f}_{12}\}\\ & & -\frac{1}{2}{f}_{0}{\left\{-\frac{{l}_{6}}{k}{D}_{t}{f}_{0}\cdot {f}_{12}+{l}_{3}[\frac{3}{4}{D}_{x}^{3}{f}_{0}\cdot {f}_{12}+\frac{1}{4k}{D}_{x}^{3}{f}_{1}\cdot {f}_{2}]-\frac{1}{k}({\lambda }_{2}+{\lambda }_{1}){f}_{0}{f}_{12}\right\}}_{x},\end{array}\end{eqnarray}$
which implies that
$\begin{eqnarray}\begin{array}{rcl} & & -\frac{{l}_{6}}{k}{D}_{t}{f}_{0}\cdot {f}_{12}+{l}_{3}\left[\frac{3}{4}{D}_{x}^{3}({f}_{0}\cdot {f}_{12})+\frac{1}{4k}{D}_{x}^{3}{f}_{1}\cdot {f}_{2}\right]\\ & & -\frac{1}{k}({\lambda }_{2}+{\lambda }_{1}){f}_{0}{f}_{12}={c}_{4}(t){f}_{0}^{2},\end{array}\end{eqnarray}$
where c4(t) is some function of t.
Finally,
$\begin{eqnarray}\begin{array}{rcl}0 & = & [({D}_{t}+{l}_{5}{D}_{x}-{\lambda }_{1}){f}_{0}\cdot {f}_{1}]{f}_{2}-[({D}_{t}+{l}_{5}{D}_{x}-{\lambda }_{2}){f}_{0}\cdot {f}_{2}]{f}_{1}\\ & = & -{f}_{0}{D}_{t}{f}_{1}\cdot {f}_{2}-{l}_{5}{f}_{0}({D}_{x}{f}_{1}\cdot {f}_{2})+({\lambda }_{2}-{\lambda }_{1}){f}_{0}{f}_{1}{f}_{2}\\ & = & -{f}_{0}[{D}_{t}{f}_{1}\cdot {f}_{2}+{l}_{5}{D}_{x}{f}_{1}\cdot {f}_{2}-({\lambda }_{2}-{\lambda }_{1}){f}_{1}{f}_{2}],\end{array}\end{eqnarray}$
which implies that
$\begin{eqnarray}{D}_{t}{f}_{1}\cdot {f}_{2}+{l}_{5}{D}_{x}{f}_{1}\cdot {f}_{2}-({\lambda }_{2}-{\lambda }_{1}){f}_{1}{f}_{2}=0,\end{eqnarray}$
and
$\begin{eqnarray}\begin{array}{rcl}0 & = & {[({D}_{t}+{l}_{5}{D}_{x}-{\lambda }_{1}){f}_{0}\cdot {f}_{1}]}_{x}{f}_{2}-{[({D}_{t}+{l}_{5}{D}_{x}-{\lambda }_{2}){f}_{0}\cdot {f}_{2}]}_{x}{f}_{1}\\ & = & {f}_{0t}{D}_{x}{f}_{1}\cdot {f}_{2}+{f}_{0x}{D}_{t}{f}_{1}\cdot {f}_{2}-\frac{1}{2}{({D}_{x}{f}_{1}\cdot {f}_{2})}_{t}+{({D}_{t}{f}_{1}\cdot {f}_{2})}_{x}+{l}_{5}{f}_{0}{({D}_{x}{f}_{1}\cdot {f}_{2})}_{x}\\ & & -{f}_{0x}({\lambda }_{1}-{\lambda }_{2}){f}_{1}{f}_{2}-\frac{1}{2}{f}_{0}({\lambda }_{1}+{\lambda }_{2}){D}_{x}{f}_{1}\cdot {f}_{2}+({\lambda }_{1}-{\lambda }_{2}){({f}_{1}{f}_{2})}_{x}\\ & = & {f}_{0x}\left[-{D}_{t}{f}_{1}\cdot {f}_{2}+\frac{1}{k}{D}_{t}{f}_{0}\cdot {f}_{12}-\frac{2{l}_{5}}{k}{f}_{0}{f}_{12}+({\lambda }_{2}-{\lambda }_{1}){f}_{1}{f}_{2}\right.\\ & & \left.-\frac{1}{k}({\lambda }_{1}+{\lambda }_{2}){f}_{0}{f}_{12}\right]\\ & & -\frac{1}{2}{f}_{0}[-{D}_{t}{f}_{1}\cdot {f}_{2}\\ & & +\frac{1}{k}{D}_{t}{f}_{0}\cdot {f}_{12}-\frac{2{l}_{5}}{k}{f}_{0}{f}_{12}+({\lambda }_{2}-{\lambda }_{1}){f}_{1}{f}_{2}-\frac{1}{k}({\lambda }_{1}+{\lambda }_{2}){f}_{0}{f}_{12}]\\ & = & {f}_{0x}[\frac{1}{k}{D}_{t}{f}_{0}\cdot {f}_{12}-\frac{2{l}_{5}}{k}{f}_{0}{f}_{12}\\ & & -\frac{1}{k}({\lambda }_{1}+{\lambda }_{2}){f}_{0}{f}_{12}]\\ & & -\frac{1}{2}f[\frac{1}{k}{D}_{t}{f}_{0}\cdot {f}_{12}-\frac{2{l}_{5}}{k}{f}_{0}{f}_{12}\\ & & -\frac{1}{k}({\lambda }_{1}+{\lambda }_{2}){f}_{0}{f}_{12}{]}_{x},\end{array}\end{eqnarray}$
which implies that
$\begin{eqnarray}\frac{1}{k}{D}_{t}{f}_{0}\cdot {f}_{12}-\frac{2{l}_{5}}{k}{f}_{0}{f}_{12}-\frac{1}{k}({\lambda }_{1}+{\lambda }_{2}){f}_{0}{f}_{12}={c}_{5}(t){f}_{0}^{2},\end{eqnarray}$
where c5(t) is some function of t. We assume that there exists a f12 determined by (40) such that c1(t) = c2(t) =c3(t) = c4(t) = c5(t) = 0, 
$\begin{eqnarray}\begin{array}{rcl} & & -{D}_{y}{f}_{1}\cdot {f}_{2}-({\lambda }_{1}-{\lambda }_{2}){f}_{1}{f}_{2}-\frac{1}{k}{D}_{y}{f}_{0}\cdot {f}_{12}\\ & & +\frac{1}{k}({\lambda }_{1}+{\lambda }_{2}){f}_{0}{f}_{12}=0,\end{array}\end{eqnarray}$
$\begin{eqnarray}\begin{array}{rcl} & & -{D}_{z}{f}_{1}\cdot {f}_{2}-({\lambda }_{1}-{\lambda }_{2}){f}_{1}{f}_{2}-\frac{1}{k}{D}_{z}{f}_{0}\cdot {f}_{12}\\ & & +\frac{1}{k}({\lambda }_{1}+{\lambda }_{2}){f}_{0}{f}_{12}=0,\end{array}\end{eqnarray}$
$\begin{eqnarray}\begin{array}{rcl} & & {l}_{3}[-\frac{3}{4k}{D}_{x}^{3}({f}_{0}\cdot {f}_{12})-\frac{1}{4}{D}_{x}^{3}{f}_{1}\cdot {f}_{2}]\\ & & +{l}_{6}{D}_{y}({f}_{1}\cdot {f}_{2})+({\lambda }_{2}-{\lambda }_{1}){f}_{1}{f}_{2}=0,\end{array}\end{eqnarray}$
$\begin{eqnarray}\begin{array}{rcl} & & -\frac{{l}_{6}}{k}{D}_{t}{f}_{0}\cdot {f}_{12}+{l}_{3}[\frac{3}{4}{D}_{x}^{3}({f}_{0}\cdot {f}_{12})\\ & & +\frac{1}{4k}{D}_{x}^{3}{f}_{1}\cdot {f}_{2}]-\frac{1}{k}({\lambda }_{2}+{\lambda }_{1}){f}_{0}{f}_{12}=0,\end{array}\end{eqnarray}$
$\begin{eqnarray}\begin{array}{rcl} & & \frac{1}{k}{D}_{t}{f}_{0}\cdot {f}_{12}-\frac{2{l}_{5}}{k}{f}_{0}{f}_{12}\\ & & -\frac{1}{k}({\lambda }_{1}+{\lambda }_{2}){f}_{0}{f}_{12}=0.\end{array}\end{eqnarray}$
Now we can show that the corresponding f12 is a new solution of (9) which is related to and under BT(35). In fact, we have
$\begin{eqnarray}\begin{array}{l}-\,[({D}_{x}{D}_{y}-{\lambda }_{2}{D}_{x}){f}_{1}\cdot {f}_{12}]{f}_{0}\\ =\,[({D}_{x}{D}_{y}-{\lambda }_{1}{D}_{x}){f}_{1}\cdot {f}_{0}]{f}_{12}-[[({D}_{x}{D}_{y}-{\lambda }_{2}{D}_{x}){f}_{1}\cdot {f}_{12}]{f}_{0}\\ =\,-{f}_{1x}{D}_{y}{f}_{0}\cdot {f}_{12}-{f}_{1y}{D}_{x}{f}_{0}\cdot {f}_{12}+\frac{1}{2}{f}_{1}[{({D}_{x}{f}_{0}\cdot {f}_{12})}_{t}\\ +\,{({D}_{y}{f}_{0}\cdot {f}_{12})}_{x}]\\ +\,({\lambda }_{1}+{\lambda }_{2}){f}_{1x}{f}_{0}{f}_{12}-\frac{1}{2}{f}_{1}[({\lambda }_{1}-{\lambda }_{2}){D}_{x}{f}_{0}\cdot {f}_{12}\\ +\,({\lambda }_{1}+{\lambda }_{2}){({f}_{0}{f}_{12})}_{x}]\\ =\,{f}_{1x}[-{D}_{y}{f}_{0}\cdot {f}_{12}+({\lambda }_{1}+{\lambda }_{2}){f}_{0}{f}_{12}]-k{f}_{1y}{D}_{x}{f}_{1}\cdot {f}_{2}\\ +\,\frac{k}{2}{f}_{1}{({D}_{x}{f}_{1}\cdot {f}_{2})}_{t}\\ -\,\frac{k}{2}({\lambda }_{1}-{\lambda }_{2}){f}_{1}{D}_{x}{f}_{1}\cdot {f}_{2}+\frac{1}{2}{f}_{1}{[{D}_{y}{f}_{0}\cdot {f}_{12}-({\lambda }_{1}+{\lambda }_{2}){f}_{0}{f}_{12}]}_{x}\\ =\,0.\end{array}\end{eqnarray}$
Thus (DxDy − λ2Dx)f1 · f12 = 0.  And we can show that (DxDy − λ1Dx)f2 · f12 = 0, (DxDz − λ2Dx)f2 · f12 = 0, (DxDz − λ2Dx)f1 · f12 = 0.  Besides, we have
$\begin{eqnarray}\begin{array}{l}-\,[({l}_{3}{D}_{x}^{3}-{l}_{6}{D}_{y}-{\lambda }_{2}){f}_{1}\cdot {f}_{12}]{f}_{0}\\ =\,[({l}_{3}{D}_{x}^{3}-{l}_{6}{D}_{y}-{\lambda }_{1}){f}_{1}\cdot {f}_{0}]{f}_{12}-[({l}_{3}{D}_{x}^{3}-{l}_{6}{D}_{y}-{\lambda }_{2}){f}_{1}\cdot {f}_{12}]{f}_{0}\\ =\,-{l}_{6}{f}_{1}{D}_{y}{f}_{0}\cdot {f}_{12}-{l}_{3}\{3{f}_{1xx}{D}_{x}{f}_{0}\cdot {f}_{12}+3{f}_{1x}{({D}_{x}{f}_{0}\cdot {f}_{12})}_{x}+3k{f}_{1x}{({D}_{x}{f}_{1}\cdot {f}_{2})}_{x}\\ -\,\frac{3k}{4}{f}_{1}{({D}_{x}{f}_{1}\cdot {f}_{2})}_{xx}\}+({\lambda }_{2}-{\lambda }_{1}){f}_{1}{f}_{0}{f}_{12}\\ =\,-{f}_{1}({l}_{6}{D}_{y}{f}_{0}\cdot {f}_{12}+{l}_{3}\frac{1}{4}{D}_{x}^{3}{f}_{0}\cdot {f}_{12})+({\lambda }_{2}-{\lambda }_{1}){f}_{1}{f}_{0}{f}_{12}+3k{l}_{3}{f}_{1xx}{D}_{x}{f}_{1}\cdot {f}_{2}\\ +\,3k{l}_{3}{f}_{1x}{({D}_{x}{f}_{1}\cdot {f}_{2})}_{x}-\frac{3k}{4}{l}_{3}{f}_{1}{({D}_{x}{f}_{1}\cdot {f}_{2})}_{xx}\\ =\,-{f}_{1}\{\frac{{l}_{6}}{k}{D}_{t}{f}_{0}\cdot {f}_{12}+{l}_{3}[\frac{3}{4}{D}_{x}^{3}({f}_{1}\cdot {f}_{2})+\frac{1}{4k}{D}_{x}^{3}{f}_{0}\cdot {f}_{12}]-\frac{1}{k}({\lambda }_{2}+{\lambda }_{1}){f}_{0}{f}_{12}\}\\ =\,0,\end{array}\end{eqnarray}$
which implies that
$\begin{eqnarray}({l}_{3}{D}_{x}^{3}-{l}_{6}{D}_{y}-{\lambda }_{2}){f}_{1}\cdot {f}_{12}=0.\end{eqnarray}$
Similarly, we can get $({l}_{3}{D}_{x}^{3}-{l}_{6}{D}_{y}-{\lambda }_{1}){f}_{1}\cdot {f}_{12}=0,({l}_{4}{D}_{x}^{3}-{l}_{7}{D}_{z}-{\lambda }_{2}){f}_{1}\cdot {f}_{12}=0,({l}_{4}{D}_{x}^{3}-{l}_{7}{D}_{z}-{\lambda }_{2}){f}_{2}\cdot {f}_{12}=0$. Finally,
$\begin{eqnarray}\begin{array}{c}-[({D}_{t}+{l}_{5}{D}_{x}-{\lambda }_{2}){f}_{1}\cdot {f}_{12}]{f}_{0}\\ =[({D}_{t}+{l}_{5}{D}_{x}-{\lambda }_{1}){f}_{1}\cdot {f}_{0}]{f}_{12}-[({D}_{t}+{l}_{5}{D}_{x}-{\lambda }_{2}){f}_{1}\cdot {f}_{12}]{f}_{0}\\ =-{f}_{1}{D}_{t}{f}_{0}\cdot {f}_{12}+2{l}_{5}{f}_{1}{D}_{x}{f}_{0}\cdot {f}_{12}-({\lambda }_{1}-{\lambda }_{2}){f}_{1}{f}_{0}{f}_{12}\\ =-{f}_{1}[{D}_{t}{f}_{0}\cdot {f}_{12}-2{l}_{5}{f}_{0}{f}_{12}+({\lambda }_{1}-{\lambda }_{2}){f}_{0}{f}_{12}]=0.\end{array}\end{eqnarray}$
Thus −(Dt + l5Dx − λ2)f1 · f12 = 0. Similarly, we can show that −(Dt + l5Dx − λ1)f1 · f12 = 0 Thus, formula (40) gives the nonlinear superposition formula between the four solutions f0f1f2 and f12 of equation (1).

7. Superposition wave solutions

7.1. Single soliton superposition solution

We will derive some exact solution of the equation (22) from BT (35) and the nonlinear superposition formula (40). We seek particular solutions f0 of the equation (22) according to the following steps. First, choose a given solution of (22). Secondly, from BT (22), we find out f1 and f2 such that f0 → fi(i = 1, 2) and, further, get a particular solution f12 from (40). Finally, the corresponding f12 is a new solution of the equation (22). In what follows, we will give illustrative examples.
We assume that
$\begin{eqnarray}\begin{array}{rcl}{f}_{0} & = & 1,\\ {f}_{1} & = & 1+h{\,\rm{e}\,}^{d+x{a}_{1}+t{a}_{4}+y{a}_{2}+z{a}_{3}},\\ {f}_{2} & = & 1+k{\,\rm{e}\,}^{c+x{b}_{1}+t{b}_{4}+y{b}_{2}+z{b}_{3}},\end{array}\end{eqnarray}$
where hkaibid (i = 1, 2, 3) are constants and fj(xtyz) (j = 0, 1, l = 2) are the functions of the variables x, y, z and t. Then, we take f1f1f2 into the equation (35), we get
$\begin{eqnarray}{a}_{2}={a}_{3}=\frac{-\left({a}_{4}-2{a}_{1}^{3}{l}_{3}+{a}_{1}^{3}{l}_{4}+{a}_{1}{l}_{5}\right)}{2{l}_{6}-{l}_{7}}.\end{eqnarray}$
Then, substitute expressions (62) into formula (40) to get
$\begin{eqnarray}{f}_{12}=h{{\rm{e}}}^{{A}_{1}}-k{{\rm{e}}}^{{A}_{2}}+hk{a}_{1}\frac{1}{{a}_{1}+{b}_{1}}{{\rm{e}}}^{{A}_{1}+{A}_{2}}-hk\frac{1}{{a}_{1}+{b}_{1}}{{\rm{e}}}^{{A}_{1}+{A}_{2}}{b}_{1}.\end{eqnarray}$
By plugging the expressions (63) together into the formula (17), we can obtain the parameters, l4 = − 1, l5 = 5, b1 = 2, l3 = 3, h = − 7, d = l6 = 2, l7 = a1 = a4 = d = l6 = l7 = 1.
With the help of the symbolic calculation system Mathematica, we get the three-dimensional map, contour map and line plots of the superposition wave solution obtained from the expressions (63) by selecting the parameters as, which are shown in figure 1. It can be seen that there are two bell waves in the graph of the superposition wave solution. The two solitons in figure 1 are of the same type and in the same direction, as the time variable t increases, the two solitons maintain parallel motion.
Figure 1. The superposition wave solution u1 for the expression (62). (a)(b) is u1 with t = 11.9, (c) is with y = 3.7.
Based on the dynamic characteristics presented in the above graphs, we find that the velocity at the top of the wave is consistent with the velocity at the bottom of the wave. Therefore, the solitary wave discussed above can propagate without changing its shape. The parameters are related to the pulse width. Solitons remain unchanged in shape during their motion and remain undamaged. If they are applied in the field of communication, we can achieve the goal of controlling pulse width by changing the value of parameters.
Secondary superposition, from (61) and (63), we can assume that
$\begin{eqnarray}\begin{array}{rcl}{f}_{0} & = & 1,\\ {f}_{1} & = & 1+h{\,\rm{e}\,}^{1+d+x{a}_{1}+t{a}_{4}-\frac{y\left({a}_{4}-2{a}_{1}^{3}{l}_{3}+{a}_{1}^{3}{l}_{4}+{a}_{1}{l}_{5}\right)}{2{l}_{6}-{l}_{7}}}\\ & & -\frac{z\left({a}_{4}-2{a}_{1}^{3}{l}_{3}+{a}_{1}^{3}{l}_{4}+{a}_{1}{l}_{5}\right)}{2{l}_{6}-{l}_{7}},\\ {f}_{2} & = & {f}_{12}=h{{\rm{e}}}^{{A}_{1}}-k{{\rm{e}}}^{{A}_{2}}+hk\frac{1}{{a}_{1}+{b}_{1}}{{\rm{e}}}^{{A}_{1}+{A}_{2}}{a}_{1}\\ & & -hk\frac{1}{{a}_{1}+{b}_{1}}{{\rm{e}}}^{{A}_{1}+{A}_{2}}{b}_{1},\end{array}\end{eqnarray}$
where hkaibid (i = 1, 2, 3) are constants and fj(xtyz) (j = 0, 1, 2) are the functions of the variables x, y, z and t. In order to facilitate the calculation, the values of and parameters are taken, then (65) into (64) we get the. First, select the following parameters
$\begin{eqnarray}\begin{array}{c}{f}_{1}:{a}_{1}={l}_{6}={l}_{7}={a}_{4}=z=h={l}_{3}=1,d=2,{l}_{4}=-1,{l}_{5}=5\\ {f}_{2}:{a}_{1}=1,d={l}_{6}=-2,{l}_{7}=d={l}_{6}={l}_{7}={a}_{4}=1,h=-7,\\ {l}_{3}=3,{l}_{4}=-1,{l}_{5}=5,{b}_{1}=2,{b}_{4}=6.\end{array}\end{eqnarray}$
We get
$\begin{eqnarray}\begin{array}{rcl}{f}_{1} & = & 1+{\rm{e}}^{t+x-3y},{f}_{2}=-7{\rm{e}}^{-2-\frac{41y}{5}}7{\rm{e}}^{7t+3x}\\ & & -2{\rm{e}}^{\frac{1}{5}(5+30t+10x+y)}+{\rm{e}}^{1+t+x+8y}\\ {f}_{12} & = & 7{\rm{e}}^{-2-\frac{56y}{5}}+\frac{7}{2}{\rm{e}}^{8t+4x}\\ & & -\frac{2}{3}{\rm{e}}^{1+7t+3x+\frac{y}{5}}+7{\rm{e}}^{7t+3x+3y}\\ & & -2{\rm{e}}^{1+6t+2x+\frac{16y}{5}}+{\rm{e}}^{1+t+x+11y}.\end{array}\end{eqnarray}$
We get the three-dimensional map, a contour map of the superposition wave solution obtained from the expressions (2) by selecting the parameters, which are shown in figure 2. It can be seen that there are two bell waves in the graph of the superposition wave solution. The two solitons in figure 2 are of the same type, and in the same direction, as the time variable t increases, the two solitons maintain parallel motion.
Figure 2. The superposition wave solution u2 for the expression (68), (a) is u2 with t = 8, (a) is u2 with t = 6.4, (c) is u2 with t = 5.95.

7.2. Double soliton superposition solution

In order to obtain the superposition solution of the equation two solitons, the assumption is made
$\begin{eqnarray}\begin{array}{rcl}{f}_{0} & = & 1,\\ {f}_{1} & = & {f}_{2}=h{{\rm{e}}}^{{A}_{1}}-k{{\rm{e}}}^{{A}_{2}}+hk{a}_{1}\frac{1}{{a}_{1}+{b}_{1}}{{\rm{e}}}^{{A}_{1}+{A}_{2}}\\ & & -hk\frac{1}{{a}_{1}+{b}_{1}}{{\rm{e}}}^{{A}_{1}+{A}_{2}}{b}_{1},\\ {A}_{1} & = & 1+x{a}_{1}+\frac{{A}_{3}}{2{l}_{6}-{l}_{7}},{A}_{2}=1+x{b}_{1}+\frac{{A}_{4}}{2{l}_{6}-{l}_{7}}.\\ {A}_{3} & = & -y{a}_{4}-z{a}_{4}+2y{a}_{1}^{3}{l}_{3}+2z{a}_{1}^{3}{l}_{3}-y{a}_{1}^{3}{l}_{4}-z{a}_{1}^{3}{l}_{4}\\ & & -y{a}_{1}{l}_{5}-z{a}_{1}{l}_{5}+2d{l}_{6}+2t{a}_{4}{l}_{6}-d{l}_{7}-t{a}_{4}{l}_{7}\\ {A}_{4} & = & -y{b}_{4}-z{b}_{4}+2y{b}_{1}^{3}{l}_{3}+2z{b}_{1}^{3}{l}_{3}-y{b}_{1}^{3}{l}_{4}-z{b}_{1}^{3}{l}_{4}\\ & & -y{b}_{1}{l}_{5}-z{b}_{1}{l}_{5}+2d{l}_{6}+2t{b}_{4}{l}_{6}-d{l}_{7}-t{b}_{4}{l}_{7}\end{array}\end{eqnarray}$
Then, substitute expressions (67) into formula (40), when we select the parameters d = l6 = − 2, h = − 7, l3 = 3, l4 =− 1, l5 = 5, b1 = 2, b4 = 6, d = a1 = l6 = l7 = a4 = 1. We obtain
$\begin{eqnarray}\begin{array}{rcl}{f}_{12} & = & -7{{\rm{e}}}^{-2-\frac{41y}{5}-\frac{41z}{5}}\left(\frac{7}{3}{{\rm{e}}}^{7t+3x}\right.\\ & & \left.+{{\rm{e}}}^{1+t+8y+8z}-{{\rm{e}}}^{2x+\frac{1}{5}(5+30t+y+z)}\right).\end{array}\end{eqnarray}$
In figure 3, we can see that the image of the superposition solution moves with the change of t, and the shape remains unchanged, the velocity depends on the shape of the wave and the depth of the water surface, the two waves meet and remain the same shape, which happens to be an important characteristic of solitary waves.
Figure 3. The superposition wave solution u3 for the expression (68). The parameters are (a)(d) t = − 3.4, (b)(e) t = 2, (c)(f) t = 11.

7.3. Breath soliton superposition solution

Suppose there is a respirator solution of the equation in the form of
$\begin{eqnarray}\begin{array}{rcl}{f}_{0} & = & 1\\ {f}_{1} & = & {k}_{1}{\rm{e}\,}^{x{a}_{1}+y{a}_{2}+z{a}_{3}+t{a}_{4}}+{k}_{1}{\,\rm{e}}^{-\left(x{a}_{1}+y{a}_{2}+z{a}_{3}+t{a}_{4}\right)}\\ & & +{k}_{3}\cos (x{a}_{5}+y{a}_{6}+t{a}_{8}+{a}_{7}z),\\ {f}_{2} & = & {h}_{1}{\rm{e}\,}^{x{b}_{1}+y{b}_{2}+z{b}_{3}+t{b}_{4}}+{h}_{1}{\,\rm{e}}^{-\left(x{b}_{1}+y{b}_{2}+z{b}_{3}+t{b}_{4}\right)}\\ & & +{h}_{3}\cos (x{b}_{5}+y{b}_{6}+t{b}_{8}+{b}_{7}z),\end{array}\end{eqnarray}$
where hikiaibi (i = 1, 2, 3, …, 8) are constants, and fj(xyzt) are the functions of the variables x, y, z and t. Substitute expressions (71) into formula (35) to get
$\begin{eqnarray}\begin{array}{rcl}{a}_{8} & = & \frac{1}{2}(-{a}_{5}^{3}{l}_{3}-{a}_{5}^{3}{l}_{4}-2{a}_{5}{l}_{5}-{a}_{6}{l}_{6}-{a}_{6}{l}_{7}),\\ {a}_{2} & = & {a}_{3}=\frac{-2{a}_{4}+{a}_{1}^{3}{l}_{3}+{a}_{1}^{3}{l}_{4}-2{a}_{1}{l}_{5}}{{\,}_{6}+{l}_{7}},{a}_{7}={a}_{6}.\end{array}\end{eqnarray}$
Substitute (70) into (69), and then substitute the new (69) obtained into (40). Thus we can obtain a3 = a4 = b1 = a7=b4 = b5 = l6=h3 = l4 = 2, b2=k1 = k2 = a5=a1 = h1 = h2=z = l5 = b6 = 1, k3 = b3 = l3 =− 1, b7 = − 2, b8 = 2, l7 = 3. 
The three-dimensional diagram and contour plot of the superposition solution of the breathing solution are shown in figure 4, and the unused t is selected to obtain the image of the superposition solution as a function of t. The superposition solution is obtained by the collision of two breathing waves, and the shape of the wave does not change with the change of t, which is stable.
Figure 4. The superposition wave solution u3 for expression (70). The parameters are (a)(d) t = − 0.65, (b)(e) t = 1, (c)(f) t = 7.8.
The quadratic superposition of the respiratory wave solution of the equation, in the same way we assume
$\begin{eqnarray}\begin{array}{rcl}{f}_{0} & = & 1,\\ {f}_{1} & = & {\rm{e}\,}^{-x{a}_{1}-t{a}_{4}-{B}_{1}}{k}_{1}+{\,\rm{e}}^{x{a}_{1}+t{a}_{4}+{B}_{1}}{k}_{1}\\ & & +\cos (x{a}_{5}+y{a}_{6}+z{a}_{6}+\frac{t}{2}{B}_{3}){k}_{3},\\ {f}_{2} & = & {\rm{e}\,}^{-x{b}_{1}-t{b}_{4}-{B}_{2}}{h}_{1}+{\,\rm{e}}^{x{b}_{1}+t{b}_{4}+{B}_{2}}{h}_{1}\\ & & +\cos (x{b}_{5}+y{b}_{6}+z{b}_{6}+\frac{t}{2}{B}_{4}){h}_{3},\\ {B}_{1} & = & \frac{y(-2{a}_{4}+{a}_{1}^{3}{l}_{3}+{a}_{1}^{3}{l}_{4}-2{a}_{1}{l}_{5})}{{l}_{6}+{l}_{7}}\\ & & -\frac{z(-2{a}_{4}+{a}_{1}^{3}{l}_{3}+{a}_{1}^{3}{l}_{4}-2{a}_{1}{l}_{5})}{{l}_{6}+{l}_{7}},\\ {B}_{2} & = & \frac{y(-2{b}_{4}+{b}_{1}^{3}{l}_{3}+{b}_{1}^{3}{l}_{4}-2{b}_{1}{l}_{5})}{{l}_{6}+{l}_{7}}\\ & & -\frac{z(-2{b}_{4}+{b}_{1}^{3}{l}_{3}+{b}_{1}^{3}{l}_{4}-2{b}_{1}{l}_{5})}{{l}_{6}+{l}_{7}},\\ {B}_{3} & = & -{a}_{5}^{3}{l}_{3}-{a}_{5}^{3}{l}_{4}-2{a}_{5}{l}_{5}-{a}_{6}{l}_{6}-{a}_{6}{l}_{7},\\ {B}_{4} & = & -{b}_{5}^{3}{l}_{3}-{b}_{5}^{3}{l}_{4}-2{b}_{5}{l}_{5}-{b}_{6}{l}_{6}-{b}_{6}{l}_{7}.\end{array}\end{eqnarray}$
Taking (71) into (40), for the convenience of calculation, we select the suitable parameters before calculating
$\begin{eqnarray}\begin{array}{rcl}{a}_{1} & = & {a}_{5}={a}_{8}={k}_{1}={k}_{2}={b}_{6}={l}_{5}={h}_{1}={h}_{2}=z=1,{l}_{7}=3,\\ & & {a}_{6}={k}_{3}={l}_{3}=-1,\\ {b}_{1} & = & {a}_{4}={a}_{7}={b}_{4}={b}_{5}={b}_{8}={l}_{4}={l}_{6}={h}_{3}=2,{b}_{7}=-2.\end{array}\end{eqnarray}$
Taking (72) into (71), we can get
$\begin{eqnarray}\begin{array}{rcl}{f}_{0} & = & 1,\\ {f}_{1} & = & {\rm{e}\,}^{-1+2t+x-y}+{\,\rm{e}}^{1-2t-x+y}-\cos (1-t-x+y),\\ {f}_{2} & = & {\rm{e}\,}^{-\frac{3}{5}+t+x-\frac{3y}{5}}+{\,\rm{e}}^{\frac{3}{5}-t-x+\frac{3y}{5}}+2\cos (1-4t+x+y),\\ {f}_{12} & = & {\,\rm{e}\,}^{-1-2t-x-y}(-{\,\rm{e}\,}^{t+\frac{8(1+y)}{5}}+{\,\rm{e}\,}^{3t+\frac{2}{5}(1+5x+y)})\sin (1-t-x+y)\\ & & +2(-{\,\rm{e}\,}^{3t+x+\frac{3(1+y)}{5}}x+{\,\rm{e}\,}^{t+x+\frac{7(1+y)}{5}}x\\ & & +(-{\rm{e}\,}^{4t+2x}+{\,\rm{e}}^{2+2y})\\ & & \times \sin (1-4t+x+y)+{\,\rm{e}\,}^{1+2t+x+y}x\sin (2-5t+2y)).\end{array}\end{eqnarray}$
We can get the three-dimensional map, contour map and line plots. When we perform a quadratic superposition of the breathing solution, we find that the resulting superposition solution is periodic and the width between waves is the same, which means that the solution contains trigonometric and exponential functions.

7.4. Rogue waves superposition solution

In order to obtain the superposition solution of the rogue wave solution of the equation, we assume that
$\begin{eqnarray}\begin{array}{rcl}{f}_{0} & = & 1,\\ {f}_{1} & = & {(x{a}_{1}+y{a}_{2}+z{a}_{3}+t{a}_{4})}^{2}+{k}_{1}{(x{a}_{5}+y{a}_{6}+z{a}_{7}+t{a}_{8})}^{2}\\ & & +k\cos ({a}_{9}x+y{a}_{10}+t{a}_{11}+{a}_{12}z),\\ & & \times {f}_{2}={(x{b}_{1}+y{b}_{2}+z{b}_{3}+t{b}_{4})}^{2}+{h}_{1}{(x{b}_{5}+y{b}_{6}+z{b}_{7}+t{b}_{8})}^{2}\\ & & +h\cos ({b}_{9}x+y{b}_{10}+t{b}_{11}+{b}_{12}z).\end{array}\end{eqnarray}$
Substitute expressions (76) into formula (35) to get
$\begin{eqnarray}\begin{array}{rcl}{a}_{12} & = & \frac{{tC}}{2(-{a}_{3}{a}_{5}+{a}_{1}{a}_{7})},{a}_{6}={a}_{7},{a}_{10}={a}_{11},{a}_{2}={a}_{3},\\ {l}_{5} & = & \frac{-{a}_{4}{a}_{7}+{a}_{3}{a}_{8}}{-{a}_{3}{a}_{5}+{a}_{1}{a}_{7}},{l}_{7}=\frac{2{a}_{4}{a}_{5}-2{a}_{1}{a}_{8}+{a}_{3}{a}_{5}{l}_{6}-{a}_{1}{a}_{7}{l}_{6}}{-{a}_{3}{a}_{5}+{a}_{1}{a}_{7}},\\ C & = & 2{a}_{4}{a}_{7}{a}_{9}-2{a}_{3}{a}_{8}{a}_{9}-2{a}_{4}{a}_{5}{a}_{11}+2{a}_{1}{a}_{8}{a}_{11}+{a}_{3}{a}_{5}{a}_{9}^{3}{l}_{3}\\ & & -{a}_{1}{a}_{7}{a}_{9}^{3}{l}_{3}+{a}_{3}{a}_{5}{a}_{9}^{3}{l}_{4}-{a}_{1}{a}_{7}{a}_{9}^{3}{l}_{4}.\end{array}\end{eqnarray}$
Taking (75) into (74), then taking (74) into (40), we can obtain f12. When we take the suitable parameters
$\begin{eqnarray}\begin{array}{c}{a}_{1}={b}_{1}={a}_{3}={a}_{5}={a}_{8}={b}_{2}={k}_{1}={b}_{4}={b}_{6}={b}_{8}={l}_{3}={l}_{4}\\ =\,{l}_{5}={l}_{6}={l}_{7}=z={a}_{9}={a}_{10}={b}_{9}={b}_{11}=k=1\\ {a}_{2}={a}_{6}={b}_{3}={b}_{5}=-1,{a}_{4}={a}_{7}=2,{a}_{11}=3,{b}_{7}=-2,\end{array}\end{eqnarray}$
we can obtain
$\begin{eqnarray}\begin{array}{c}{\,f}_{12}=-({(-1+t+3x-y)}^{2}+{(1+t+x+y)}^{2}+\cos (3+t+x+3y))\\ (2(-1+t+x-y)+2(1+t+x+y)-\sin (2+x+2y))\\ +\,({(-1+t+x-y)}^{2}+{(1+t+x+y)}^{2}+\cos (2+x+2y))\\ (6(-1+t+3x-y)+2(1+t+x+y)-\sin (3+t+x+3y)).\end{array}\end{eqnarray}$
By choosing different values of t, the superposition solution of the equation and the relationship between the solution and t can be obtained. From figure 6, we can see that the superimposed wave consists of two waves and they collide with the transformation of t, but the overall shape does not change.
Figure 5. The superposition wave solution u5 for the expression (75). (a)(b) are u5 with t = 13.4, (c) is u5 with y = 2.
Figure 6. The superposition wave solution u3 for the expression (77). The parameters are (a)(d) t = − 10, (b)(e) t = − 7.5, (c)(f) t = − 4.45.
The quadratic superposition of the respiratory wave solution of the equation, in the same way we assume
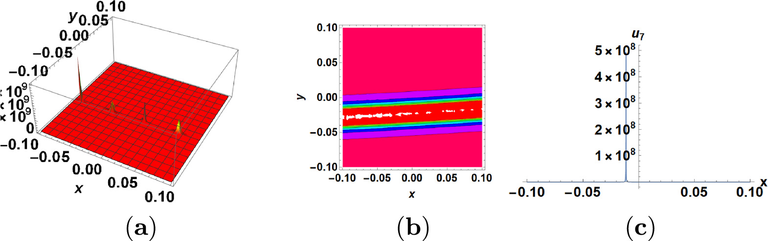
$\begin{eqnarray}\begin{array}{rcl}{f}_{0} & = & 1,\\ {f}_{1} & = & {\left(-1+t+3x-y\right)}^{2}+{\left(1+t+x+y\right)}^{2}\\ & & +\cos (3+t+x+3y),\\ {f}_{2} & = & -[{(1+t+x-y)}^{2}+{(1+t+x+y)}^{2}\\ & & +\cos (3+t+x+3y)]\\ & & \times [2(-1+t+x-y)+2(1+t+x+y)\\ & & -\sin (2+x+2y)]\\ & & +[{(-1+t+x-y)}^{2}+{(1+t+x+y)}^{2}\\ & & +\cos (2+x+2y)]\\ & & \times [6(-1+t+3x-y)+2(1+t+x+y)\\ & & -\sin (3+t+x+3y)].\end{array}\end{eqnarray}$
Then by taking (78) into (40), we can get the three-dimensional map, contour map and line plots.
As can be seen from the diagram, the rouge superposition wave solution consists of multiple strange waves, which do not collide and are located in the same straight line. It can also be seen that the maximum value of the superimposed wave solution is from figure 5(c).

8. Conclusion

In this paper, we investigate a (3+1)-dimensional generalized CBS equation. Initially, employing the symbolic calculation system and Bell polynomial approach, we derive the bilinear form of the equation, bilinear Bäcklund transformation, Lax pair, and infinite conservation laws. This derivation confirms the complete integrability of the CBS equation in the context of the Lax pair.
Furthermore, utilizing the derived bilinear Bäcklund transformation, we construct a nonlinear superposition formula for the CBS equation. Based on this formula, we generate infinite superposition soliton solutions. Additionally, leveraging the bilinear equation, we obtain infinite superposition solutions encompassing various types of functions. The graphical representations of these solutions, as depicted in figures 17, illustrate distinct dynamic characteristics. Specifically, figures 13 showcase superposition solutions formed by an exponential function, exhibiting a continuous V-shape with increasing wave diversity as the number of superposed exponential functions rises. Figures 4 and 5 depict waves combining exponential and trigonometric functions, revealing periodic respiratory solutions. Figures 6 and 7 highlight the morphological features of primary and quadratic superposition wave solutions of unusual wave forms, demonstrating the properties and characteristics of different function types and their mixtures.
Figure 7. The superposition wave solution u7 for the expression (78). (a)(b) are u7 with t = − 9.1, (c) is u7 with y = 2.
Notably, this study not only extracts numerous properties through the Bell polynomial method but also formulates a nonlinear superposition formula for the CBS equation, enabling the derivation of infinite superposition solutions. Moreover, we construct linear infinite superposition solutions based on the bilinear form of the CBS equation, enriching the array of exact solutions. This research presents the first comprehensive examination of the CBS equation. Future work may explore the construction of interaction solutions among infinite superposition solutions of other function types to further expand the range of precise and insightful solutions.

Credit authors statement

XZ wrote the manuscript, analyzed the data, and wrote the code for the model. TB initiated the concept of the study, developed the model, and acted as the corresponding author.

Funding

The authors gratefully acknowledge the support of the Natural Science Foundation of Inner Mongolia Autonomous Region (Grant No. 2024MS01003), the First-Class Disciplines Project, Inner Mongolia Autonomous Region, China (Grant Nos. YLXKZX-NSD-001 and YLXKZX-NSD-009) and the Program for Innovative Research Team in Universities of Inner Mongolia Autonomous Region (Grant No. NMGIRT2414).

Appendix

$\begin{eqnarray}\begin{array}{rcl} & & {D}_{x}({D}_{x}^{3}a\cdot b)\cdot ab\\ & = & {D}_{x}^{3}({D}_{x}a\cdot b)\cdot ab+3{D}_{x}({D}_{x}^{2}a\cdot b)\cdot ({D}_{x}a\cdot b),\end{array}\end{eqnarray}$
$\begin{eqnarray}\begin{array}{rcl} & & ({D}_{x}a\cdot b)cd-ab{D}_{x}c\cdot d\\ & = & {D}_{x}ad\cdot cb,\end{array}\end{eqnarray}$
$\begin{eqnarray}\begin{array}{l}({D}_{x}^{5}a\cdot b)\cdot cd-ab{D}_{x}^{5}c\cdot d=\frac{5}{16}{D}_{x}[ad\cdot ({D}_{x}^{4}c\cdot d)+({D}_{x}^{4}a\cdot d)\cdot cd]\\ \quad +\,4({D}_{x}a\cdot d),\\ ({D}_{x}^{3}c\cdot b)+4({D}_{x}^{3}a\cdot d)\cdot ({D}_{x}c\cdot b)+6({D}_{x}^{2}a\cdot d)\cdot ({D}_{x}^{2}c\cdot b)]\\ \quad +\,\frac{5}{8}{D}_{x}^{3}[ad\cdot ({D}_{x}^{2}c\cdot b)\\ +\,2({D}_{x}a\cdot d)({D}_{x}c\cdot b)]+({D}_{x}^{2}a\cdot d)\cdot cb]+\frac{1}{16}{D}_{x}^{5}ad\cdot cb,\end{array}\end{eqnarray}$
$\begin{eqnarray}\begin{array}{l}9{D}_{x}({D}_{x}^{5}a\cdot b)\cdot ab+{D}_{x}^{5}({D}_{x}a\cdot b)\cdot ab+5{D}_{x}({D}_{x}a\cdot b)\cdot ({D}_{x}^{4}a\cdot b)-30{D}_{x}({D}_{x}^{3}a\cdot b),\\ ({D}_{x}^{2}a\cdot b)+10{D}_{x}^{3}({D}_{x}a\cdot b)+10{D}_{x}^{3}({D}_{x}a\cdot b)\cdot ({D}_{x}^{2}a\cdot b)-10{D}_{x}^{3}({D}_{x}^{3}a\cdot b)\cdot ab=0,\end{array}\end{eqnarray}$
$\begin{eqnarray}\begin{array}{l}({D}_{x}^{3}a\cdot b)c-({D}_{x}^{3}a\cdot c)b\\ =-3{a}_{xx}{D}_{x}b\cdot c+3{a}_{x}{({D}_{x}b\cdot c)}_{x}-\frac{1}{4}a[{D}_{x}^{3}b\cdot c+3{({D}_{x}b\cdot c)}_{xx}],\end{array}\end{eqnarray}$
$\begin{eqnarray}\begin{array}{l}{({D}_{x}^{3}a\cdot b)}_{x}c-{({D}_{x}^{3}a\cdot c)}_{x}b=-2{a}_{xxx}{D}_{x}b\cdot c\\ +\frac{1}{2}{a}_{x}[{D}_{x}^{3}b\cdot c+3{({D}_{x}b\cdot c)}_{xx}]-\frac{1}{2}a[{({D}_{x}^{3}b\cdot c)}_{x}+{({D}_{x}b\cdot c)}_{xx}],\end{array}\end{eqnarray}$
$\begin{eqnarray}({D}_{t}a\cdot b)c-({D}_{t}a\cdot c)b=-a{D}_{t}b\cdot c,\end{eqnarray}$
$\begin{eqnarray}({D}_{x}a\cdot b)cd-ab{D}_{x}c\cdot d={D}_{x}ad\cdot cb,\end{eqnarray}$
$\begin{eqnarray}\begin{array}{l}{({D}_{t}a\cdot b)}_{x}c-{({D}_{t}a\cdot c)}_{x}b\\ =\,{a}_{t}{D}_{x}b\cdot c+{a}_{x}{D}_{t}b\cdot c-\frac{1}{2}a[{({D}_{x}a\cdot c)}_{t}+{({D}_{t}b\cdot c)}_{x}],\end{array}\end{eqnarray}$
$\begin{eqnarray}\begin{array}{l}({D}_{x}{D}_{t}a\cdot b)c-({D}_{x}{D}_{t}a\cdot c)b\\ =\,-{a}_{x}{D}_{t}b\cdot c-{a}_{t}{D}_{x}b\cdot c+\frac{1}{2}a[{({D}_{x}b\cdot c)}_{t}+{({D}_{t}b\cdot c)}_{x}],\end{array}\end{eqnarray}$
$\begin{eqnarray}\begin{array}{l}{k}_{1}({D}_{x}a\cdot b)c-{k}_{2}({D}_{x}a\cdot c)b\\ =\,({k}_{1}-{k}_{2}){a}_{x}bc-\frac{1}{2}a[({k}_{1}+{k}_{2}){D}_{x}b\cdot c+({k}_{1}-{k}_{2}){(bc)}_{x}],\end{array}\end{eqnarray}$
$\begin{eqnarray}\begin{array}{l}{A}_{1}=1+x{a}_{1}\\ +\,\frac{-y{a}_{4}-z{a}_{4}+2y{a}_{1}^{3}{l}_{3}+2z{a}_{1}^{3}{l}_{3}-y{a}_{1}^{3}{l}_{4}-z{a}_{1}^{3}{l}_{4}-y{a}_{1}{l}_{5}-z{a}_{1}{l}_{5}+2d{l}_{6}+2t{a}_{4}{l}_{6}-d{l}_{7}-t{a}_{4}{l}_{7}}{2{l}_{6}-{l}_{7}},\\ {A}_{2}=1+x{b}_{1}\\ +\,\frac{-y{b}_{4}-z{b}_{4}+2y{b}_{1}^{3}{l}_{3}+2z{b}_{1}^{3}{l}_{3}-y{b}_{1}^{3}{l}_{4}-z{b}_{1}^{3}{l}_{4}-y{b}_{1}{l}_{5}-z{b}_{1}{l}_{5}+2d{l}_{6}+2t{b}_{4}{l}_{6}-d{l}_{7}-t{b}_{4}{l}_{7}}{2{l}_{6}-{l}_{7}}.\end{array}\end{eqnarray}$
1
Zhu H B 2019 A class of fractional nonlinear singularly perturbed problems with time delays Appl. Math. Mech. 40 1356 1364

DOI

2
Ma H, Li M 2023 Synthesis and characterization of photocrosslinked nonlinear optical polymers based on anthracene groups J. Funct. Polym. 36 1460152

DOI

3
Han P F, Zhang Y 2022 Linear superposition formula of solutions for the extended (3+1)-dimensional shallow water wave equation Nonlinear Dyn. 109 1019 1032

DOI

4
Han P F, Ma W X, Ye R S, Zhang Y 2025 Inverse scattering transform for the defocusing-defocusing coupled Hirota equations with non-zero boundary conditions: multiple double-pole solutions Phys. D 471 134434

DOI

5
Saguĺęs F, Epstein I R 2003 Nonlinear chemical dynamics Dalton Trans. 1201 1217

DOI

6
Han P F, Zhang Y 2024 Investigation of shallow water waves near the coast or in lake environments via the KdV-Calogero–Bogoyavlenskii–Schiff equation Chaos Solitons Fractals 184 115008

DOI

7
Keilis B 1990 The lithosphere of the Earth as a nonlinear system with implications for earthquake prediction Rev. Geophys. 28 19 35

DOI

8
Han P F, Zhang Y 2024 Superposition behavior of the lump solutions and multiple mixed function solutions for the (3+1)-dimensional Sharma–Tasso–Olver-like equation Eur. Phys. J. Plus 139 157

DOI

9
Han P F, Zhang Y, Jin C H 2023 Novel evolutionary behaviors of localized wave solutions and bilinear auto-Bäcklund transformations for the generalized (3+1)-dimensional Kadomtsev–Petviashvili equation Nonlinear Dyn. 111 8617 8636

DOI

10
Nijkamp P, Poot J 1993 Lessons from Nonlinear Dynamic Economics 25 Berlin Springer 57

11
Bruckner A M, Bruckner J B 1967 Darboux transformations Trans. Math. Soc. 128 103 111

DOI

12
Qiu D, He J, Zhang Y 2015 The Darboux transformation of the Kundu–Eckhaus equation Proc. Roy. Soc. A Math. Phys. 471 20150236

DOI

13
Vidal P, Gallimard L, Polit O 2019 Multiresolution strategies for the modeling of composite shell structures based on the variable separation method Int. J. Numer. Meth. Eng. 117 778 790

DOI

14
Jiong S 2003 Auxiliary equation method for solving nonlinear partial differential equations Phys. Lett. A 309 387 397

DOI

15
Zhang R, Bilige S 2021 Fractal solitons, arbitrary function solutions, exact periodic wave and breathers for a nonlinear partial differential equation by using bilinear neural network method J. Syst. Sci. Complex. 34 122 139

DOI

16
Han P F, Ye R S, Zhang Y 2025 Inverse scattering transform for the coupled Lakshmanan–Porsezian–Daniel equations with non-zero boundary conditions in optical fiber communications Math Comput. Simulat. 232 483 503

DOI

17
Musette M, Verhoeven C 2000 Nonlinear superposition formula for the Kaup–Kupershmidt partial differential equation Phys. D 144 211 220

DOI

18
Zhang J, Wei X, Lu Y 2008 A generalized (Gą/G)-expansion method and its applications Phys. Lett. A 372 3653 3658

DOI

19
Hao H Q, Zhang J W 2015 Integrability aspects and soliton solutions for the inhomogeneous reduced Maxwell–Bloch system in nonlinear optics with symbolic computation Commun. Nonlinear Sci. Numer. Simul. 22 1350

DOI

20
Zhang S J, Bao T 2022 Infinite conservation laws and new solutions of (3+1)-dimensional generalized Konopelchenko–Dubrovsky–Kaup–Kupershmidt equation Int. J. Mod. Phys. B 36 2250082

DOI

21
Han P F, Bao T 2021 Integrability aspects and some abundant solutions for a new (4+1)-dimensional KdV-like equation Int. J. Mod. Phys. B 35 2150079

DOI

22
Lambert F, Springael J 1997 Construction of Bäcklund transformations with binary Bell polynomials J. Phys. Soc. Japan 66 2211

DOI

23
Lĺź X, Chen S J 2021 Interaction solutions to nonlinear partial differential equations via Hirota bilinear forms: one-lump-multi-stripe and one-lump-multi-soliton types Nonlinear Dyn. 103 947

DOI

24
Fan L L, Bao T 2021 Lumps and interaction solutions to the (4+1)-dimensional variable-coefficient Kadomtsev–Petviashvili equation in fluid mechanics Int. J. Mod. Phys. B 35 2150234

DOI

25
Sinthuja N, Manikandan K, Senthilvelan M 2021 Rogue waves on the double-periodic background in Hirota equation Eur. Phys. J. Plus 136 1ĺC12

DOI

26
Wang T, Guo-Fu Y 2024 Rogue waves solutions on the elliptic background of an extended (3+1)-dimensional nonlinear Schrodinger equation Math. Meth. Appl. Sci. 47 7576

DOI

27
Raut S, Ma W X, Barman S, Roy S 2023 A non-autonomous gardner equation and its integrability: solitons, positons and breathers Chaos Soliton Fract. 176 114089

DOI

28
Raut S, Barman S, Sarkar S 2023 Integrability, breather, lump and quasi-periodic waves of non-autonomous Kadomtsev–Petviashvili equation based on Bell-polynomial approach Wave Motion 119 103126

DOI

29
Roy S, Raut S, Kairi R R, Chatterjee P 2023 Bilinear Bäcklund, Lax pairs, breather waves, lump waves and soliton interaction of (2+1)-dimensional non-autonomous Kadomtsev–Petviashvili equation Nonlinear Dyn. 111 5721 5741

DOI

30
Roy S, Raut S, Kairi R R, Chatterjee P 2022 Integrability and the multi-soliton interactions of non-autonomous Zakharov–Kuznetsov equation Eur. Phys. J. Plus 137 579

DOI

31
Liu S H, Tian B, Qu Q X 2020 Lump, mixed lump-stripe, mixed rogue wave-stripe and breather wave solutions for a (3+1)-dimensional generalized Calogero–Bogoyavlenskii–Schiff equation Phys. Lett. B 34 2050244

DOI

32
Qin C Y, Tian S F, Zou L 2018 Solitary wave and quasi-periodic wave solutions to a (3+1)-dimensional generalized Calogero–Bogoyavlenskii–Schiff equation Adv. Appl. Math. Mech. 10 948 977

DOI

33
Wazwaz A M 2010 The (2+1) and (3+1)-dimensional CBS equations: multiple soliton solutions and multiple singular soliton solutions Zeit. Nat. A 65 173 181

DOI

34
Singh S, Ray S S 2023 Painlevé integrability and analytical solutions of variable coefficients negative order KdV-Calogero–Bogoyavlenskii–Schiff equation using auto-Bäcklund transformation Opt. Quantum Electron. 55 196

DOI

35
Hu C C, Tian B, Zhao X 2021 Rogue and lump waves for the (3+1)-dimensional Yu–Toda–Sasa–Fukuyama equation in a liquid or lattice Int. J. Mod. Phys. B 35 2150320

DOI

Outlines

/