1. Introduction
2. Physical model
Figure 1. The experimental scheme. A 133Cs atom is placed inside a cavity that couples 1359 nm and 1470 nm output lights (red arrows) with a 459 nm pump light (blue arrow). The upper part of the diagram shows the energy levels corresponding to the clock transitions in the Cs active optical clock. The system consists of five levels, labeled ∣1〉 to ∣5〉, with their respective spontaneous emission rates denoted as γij, represented by yellow wavy lines. The Rabi frequency is denoted by Ω, and the coupling strengths are represented by g1,2. |
3. Results
3.1. Cavity output characteristics
Figure 2. The output powers versus κ1/γ in different environments. The output powers are analyzed as a function of κ1/γ across nine different conditions, where the ratio of the two fields’decay rates κ1/κ2 and the coupling strength g1/γ are set to 0.1, 1, and 10. In the plots, the black line represents field 1, while the red line corresponds to field 2. |
3.2. Dynamics of the optical field
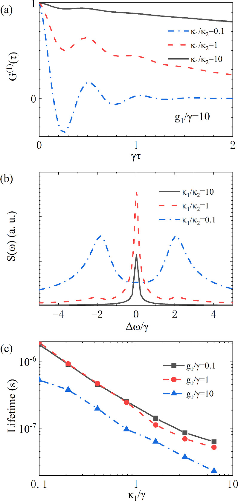
Figure 3. First-order correlations, power spectra, and lifetimes. (a) The first-order correlation function for field 2 under different values of κ1/κ2, with the coupling strength fixed at g1/γ = 10 and the field 1 cavity decay rate κ1/γ = 1. Black line: κ1/κ2 = 10, red dashed line: κ1/κ2 = 1, blue dash-dotted line: κ1/κ2 = 0.1. (b) Normalized spectrum obtained by applying the Fourier transform to the first-order correlation function in (a). (c) Lifetime of field 1 as a function of κ1/γ for different coupling strengths, while keeping κ1/κ2 = 1. Black line: g1/γ = 0.1, red dashed line: g1/γ = 1, blue dash-dotted line: g1/γ = 10. |
3.3. Nonclassical behaviors of single fields and cross field
Figure 4. Nonclassical behaviors of the system in nine environments. Second-order correlation functions at τ = 0 of the two fields and their cross field, along with the violation factor R, plotted against κ1/γ under nine cavity environments. These environments include combinations of g1/γ > 1, g1/γ = 1, and g1/γ < 1 with κ1/κ2 > 1, κ1/κ2 = 1, and κ1/κ2 < 1. The black line represents ${G}_{1,1}^{(2)}(0)$, the red line ${G}_{2,2}^{(2)}(0)$, the blue line ${G}_{1,2}^{(2)}(0)$, and the green line represents the violation factor R. |
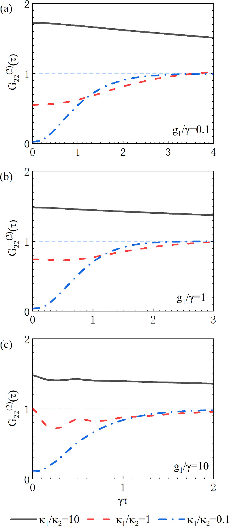
Figure 5. The second-order correlation function of field 2. The second-order correlation function ${G}_{2,2}^{(2)}(\tau )$ of field 2 under g1/γ = 0.1, g1/γ = 1, and g1/γ = 10 with κ1/κ2 = 0.1, κ1/κ2 = 1, and κ1/κ2 = 10, while keeping κ1/γ = 1 fixed. (a) g1/γ = 0.1, (b) g1/γ = 1, (c) g1/γ = 10. The black solid line represents κ1/κ2 = 10, the red dashed line represents κ1/κ2 = 1, and the blue dash-dotted line represents κ1/κ2 = 0.1. |


