Welcome to visit Communications in Theoretical Physics,
Nuclear Physics

Implication of odd–even staggering in the charge radii of calcium isotopes

  • Rong An , 1, 2, 3, ,
  • Xiang Jiang 4 ,
  • Na Tang 1, 3 ,
  • Li-Gang Cao , 3, 5, ,
  • Feng-Shou Zhang , 3, 5, 6,
Expand
  • 1School of Physics, Ningxia University, Yinchuan 750021, China
  • 2Guangxi Key Laboratory of Nuclear Physics and Technology, Guangxi Normal University, Guilin, 541004, China
  • 3Key Laboratory of Beam Technology of Ministry of Education, School of Physics and Astronomy, Beijing Normal University, Beijing 100875, China
  • 4College of Physics and Optoelectronic Engineering, Shenzhen University, Shenzhen 518060, China
  • 5Institute of Radiation Technology, Beijing Academy of Science and Technology, Beijing 100875, China
  • 6Center of Theoretical Nuclear Physics, National Laboratory of Heavy Ion Accelerator of Lanzhou, Lanzhou 730000, China

Authors to whom any correspondence should be addressed.

Received date: 2024-11-16

  Revised date: 2025-03-19

  Accepted date: 2025-03-25

  Online published: 2025-06-13

Copyright

© 2025 Institute of Theoretical Physics CAS, Chinese Physical Society and IOP Publishing. All rights, including for text and data mining, AI training, and similar technologies, are reserved.
This article is available under the terms of the IOP-Standard License.

Abstract

Inspired by the profoundly observed odd–even staggering and the inverted parabolic-like shape in charge radii along calcium isotopic chain, the ground state properties of calcium isotopes are investigated by constraining the root-mean-square charge radii under the covariant energy density functionals with effective forces NL3 and PK1. In this work, the pairing correlations are tackled by solving the state-dependent Bardeen–Cooper–Schrieffer equations. The calculated results suggest that the binding energies obtained by the radius constraint method have been slightly changed by about 0.2%. But for charge radii, the corresponding results deriving from NL3 and PK1 forces have been increased by about 1.0% and 2.0%, respectively. This means that the charge radius is a more sensitive quantity in the calibrated protocol. Meanwhile, it is found that the reproduced charge radii of calcium isotopes are attributed to the rather strong isospin dependence of effective potential. The odd–even oscillation behavior can also be presented in the proton Fermi energies along calcium isotopic family, but keep opposite trends with respect to the corresponding binding energies and charge radii. As encountered in charge radii, the weakened odd–even oscillation behavior still emerged from the proton Fermi energies at the neutron numbers N = 20 and 28 as well, but not in binding energies.

Cite this article

Rong An , Xiang Jiang , Na Tang , Li-Gang Cao , Feng-Shou Zhang . Implication of odd–even staggering in the charge radii of calcium isotopes[J]. Communications in Theoretical Physics, 2025 , 77(10) : 105301 . DOI: 10.1088/1572-9494/adcc8b

1. Introduction

Accurate description of nuclear charge radii derived from charge density distributions plays an important role in theoretical studies. It is generally mentioned that the fine structure of nuclear size can encode the information about the shape-phase transition [19], halo structure [10, 11], and the emergence of magic numbers [12, 13], etc. Moreover, recent studies suggest that charge radii of mirror partner nuclei can provide an alternative access to probe the equation of state of isospin asymmetric nuclear matter [1424]. With the advent of radioactive beam facilities, more data about charge radii are accumulated over the past decades [25, 26]. Thus this challenges us to recognize the fine structure of atomic nuclei with high-precision charge radii data in nuclear models.
The global features of nuclear charge radii can be generally described by the A1/3 or Z1/3 law [27, 28], with A and Z the mass and proton numbers. However, these empirical formulae are not valid anymore for nuclei with larger neutron to proton ratios. In addition, it is difficult to inspect the microscopic implications, e.g. the proton and neutron density distributions. The same scenarios can also be encountered in the Bayesian neural networks [29, 30], in which the microscopic aspects cannot be completely captured and the extrapolating ability is restricted due to the limited databases. Along a long isotopic chain, the evolution of nuclear charge radii has performed regularity and irregularity behaviors [31, 32]. Especially in calcium isotopes, the inverted parabolic-like shape and strong odd–even oscillations in charge radii can be apparently observed between 40Ca and 48Ca isotopes [25]. Furthermore, such peculiar feature of the strong odd–even oscillations in charge radii persists toward the neutron-deficient region [33]. It should be also mentioned that the values of charge radii for 40Ca (3.4776 fm) and 48Ca (3.4777 fm) isotopes are almost equivalent, and the shell quenching effect in charge radii has been observed at the neutron number N = 28 but not at N = 20. Across the 48Ca isotope, the rapid increase of charge radii is performed until to 52Ca. The values of charge radii for 44Ca (3.5188 fm) and 50Ca (3.5192 fm) are almost identical [25, 26]. For 52Ca, as a candidate of doubly magic nuclei [3437], the shell closure effect of the charge radii cannot be expected naturally [38]. These particular features can provide insights into the fundamental interactions in theoretical researches.
Plenty of methods have been undertaken to elucidate the global trend of charge radii tentatively along calcium isotopes. Ab initio calculations with chiral effective field theory interactions, such as NNLOsat [39] with SRG1 and SRG2 interactions [40], cannot reproduce the discontinuous changes of the charge radii along calcium isotopes well [38]. The major classes of covariant energy density functionals (CEDFs) have made greatly success in describing the ground state properties of finite nuclei over the whole periotic table [4147]. However, the description and explanation for some fine structures, such as the odd–even staggering (OES) of charge radii in calcium isotopes, are still not adequate yet. As shown in [48], the effect of short-range correlations should be considered properly in describing the charge radii and the depletion of the nuclear Fermi surface. Miller, et al further point out that neutron–proton short-range correlations can have an influence on determining the nuclear charge radius [49]. The short-range correlation between neutrons and protons implies the fluctuation of the fractional occupation probabilities for the states around Fermi surface [50]. This suggests that the appropriate isospin-dependence interactions should be taken into account properly in describing the nuclear size [51].
The neutron–proton correlations derived from the Casten factor can reproduce the shell quenching phenomena in nuclear charge radii as well [5254]. In this method, the isospin-dependence interactions deduced from the valence neutrons and protons can actually improve the predicted validity of nuclear charge radii in the calibrated protocol [29, 30, 55]. A similar approach can also be shown in [56] where the correlation between the neutron and proton pairs around Fermi surface has been added into the root-mean-square (rms) charge radii formula. This modified expression can reproduce the trend of changes of nuclear charge radii and OES well [57, 58]. In the Fayans energy density functional model, the discontinuous behavior of charge radii in calcium isotopes can be described well [33]. These local variations are attributed to the additional gradient terms in its pairing part [59]. Shown in [60] that the abnormal changes of charge radii in the calcium isotopes can be described well in the shell model calculations by considering the proton excitation from the sd shell to the pf shell. A recent study has analyzed the radial and orbital contributions in reproducing the charge radii of calcium isotopes [61]. Meanwhile, it points out that charge radii in the whole region 36−48Ca cannot be reproduced perfectly through energy density functionals (EDFs). In order to inspect the anomalous behaviors in charge radii of calcium isotopes, further research should be performed at the relativistic mean-field level.
In this work, we focus on the underlying mechanisms of such enhancement OES and the inverted parabolic-like shape in charge radii of calcium isotopes through mean-field framework. To facilitate the underlying mechanism of OES in nuclear size, the constraint calculations on the rms charge radii are performed along calcium isotopes. The binding energies and two-neutron separation energies obtained by the radius constraint method are also examined. Moreover, the rather strong isospin dependence of effective potential is also shown. We further review the evolution of the neutron and proton Fermi energies with the increasing neutron numbers. The inverse odd–even oscillations of proton Fermi energies are shown against the OES in the charge radii of calcium isotopes.
The structure of the paper is organized as follows. Section 2 is devoted to presenting the theoretical framework briefly. In section 3, the numerical results and discussion are provided. Finally, a summary and outlook is given in section 4.

2. Theoretical framework

The CEDFs have been widely used to investigate various physical phenomena, such as halo structure [6266], pseudospin symmetry [6769], hypernuclei [70], resonant states [71, 72], collective excited states [7376], location of dripline [7779], nuclear fission [80, 81], low-lying states [82], and neutron drops [83], nuclear weak decay [84, 85], etc. In this work, the nonlinear self-coupling Lagrangian density is employed [86], where the constituent nucleons are described as Dirac particles which interact via the exchange of σ, ω and ρ mesons. The electromagnetic field is ruled by the exchange of photons. The effective Lagrangian density has been recalled as follows,
$\begin{eqnarray}\begin{array}{rcl}{ \mathcal L } & = & \bar{\psi }[i{\gamma }^{\mu }{{\rm{\partial }}}_{\mu }-M-{g}_{\sigma }\sigma -{\gamma }^{\mu }({g}_{\omega }{\omega }_{\mu }+{g}_{\rho }\overrightarrow{\tau }\cdot {\overrightarrow{\rho }}_{\mu }\\ & & +\,{\rm{e}}\frac{1-{\tau }_{3}}{2}{{\boldsymbol{A}}}_{\mu })]\psi \\ & & +\frac{1}{2}{{\rm{\partial }}}^{\mu }\sigma {{\rm{\partial }}}_{\mu }\sigma -\frac{1}{2}{m}_{\sigma }^{2}{\sigma }^{2}-\frac{1}{3}{g}_{2}{\sigma }^{3}-\frac{1}{4}{g}_{3}{\sigma }^{4}\\ & & -\frac{1}{4}{{\boldsymbol{\Omega }}}^{\mu \nu }{{\boldsymbol{\Omega }}}_{\mu \nu }+\frac{1}{2}{m}_{\omega }^{2}{\omega }_{\mu }{\omega }^{\mu }+\frac{1}{4}{c}_{3}{({\omega }^{\mu }{\omega }_{\mu })}^{2}\\ & & -\frac{1}{4}{\vec{{\boldsymbol{R}}}}_{\mu \nu }\cdot {\vec{{\boldsymbol{R}}}}^{\mu \nu }+\frac{1}{2}{m}_{\rho }^{2}{\overrightarrow{\rho }}^{\mu }\cdot {\overrightarrow{\rho }}_{\mu }+\frac{1}{4}{d}_{3}{({\overrightarrow{\rho }}^{\mu }{\overrightarrow{\rho }}_{\mu })}^{2}\\ & & -\frac{1}{4}{{\boldsymbol{F}}}^{\mu \nu }{{\boldsymbol{F}}}_{\mu \nu },\end{array}\end{eqnarray}$
where M is the mass of nucleon and mσ, mω, and mρ, are the masses of the σ, ω and ρ mesons, respectively. Here, gσ, gω, gρ, g2, g3, c3 and d3 are the coupling constants for σ, ω and ρ mesons, respectively, while e2/4π = 1/137 is the fine structure constant. The field tensors for the vector mesons and photon fields are defined as Ωμν = ∂μων − ∂νωμ, ${\overrightarrow{{\boldsymbol{R}}}}_{\mu \nu }={\partial }_{\mu }{\overrightarrow{\rho }}_{\nu }-{\partial }_{\nu }{\overrightarrow{\rho }}_{\mu }-{g}_{\rho }({\overrightarrow{\rho }}_{\mu }\times {\overrightarrow{\rho }}_{\nu })$ and Fμν = ∂μAν − ∂νAμ.
The Hamiltonian derived from the variational principle can be expressed as follows,
$\begin{eqnarray}\hat{{ \mathcal H }}={\boldsymbol{\alpha }}\cdot {\boldsymbol{p}}+V({\boldsymbol{r}})+\beta [M+S({\boldsymbol{r}})],\end{eqnarray}$
where S(r) and V(r) represent the effective fields [86]. The bulk properties of finite nuclei are calculated by the effective forces NL3 [87] and PK1 [88].
As mentioned above, the discontinuous behavior of charge radii along calcium isotopes cannot be reproduced well by the relativistic mean-field calculations. To further explore the microscopic mechanism in reproducing the abnormal behaviors in the charge radii of calcium isotopes, a radius constraint calculation is performed in this work. Therefore, the Hamiltonian can be rewritten as the following expression,
$\begin{eqnarray}\hat{{{ \mathcal H }}^{{\prime} }}=\hat{{ \mathcal H }}-\lambda \langle {R}_{{\rm{ch}}}\rangle ,\end{eqnarray}$
where λ is the spring constant. The quantity of ⟨Rch⟩ can be calculated through (in units of fm2)
$\begin{eqnarray}{R}_{{\rm{ch}}}^{2}=\langle {r}_{{\rm{p}}}^{2}\rangle +0.64\,{{\rm{fm}}}^{2}.\end{eqnarray}$
The first term represents the charge density distributions of point-like protons and the second one is that due to the finite size effect of protons [89]. The accuracy of the convergence is determined by the self-consistent iteration in binding energy, which is lower than 10−6 MeV.

3. Results and discussion

At the mean-field level, the bulk properties of finite nuclei can be described well [90, 91]. However, for charge radii of calcium isotopes, the abnormal behaviors cannot be reproduced well, especially in relativistic mean-field model [4144]. This is attributed to the underlying mechanism which is not clear to comprehend these anomalous behaviors in nuclear charge radii. In this work, the global trend of nuclear charge radii along calcium isotopic chain is discussed by radius constraint calculation. The pairing correlations can be treated by solving the state-dependent Bardeen–Cooper–Schrieffer (BCS) equations which can describe the ground state properties of finite nuclei well [41]. The pairing strength is chosen to be V0 = 350 MeV fm3 for NL3 force, but V0 = 380 MeV fm3 for PK1 parametrization set. The calculated results show that the quadrupole deformation of calcium isotopes cannot be changed with and without considering radius constraint, namely keep almost spherical shape.
As shown in table 1, charge radii and binding energies of calcium isotopes are listed before and after the constrained calculations, respectively. Here, one should be mentioned that binding energies are slightly changed for the results obtained by the NL3 and PK1 effective forces. For the 44Ca isotope, the binding energies obtained by radius constraint method have been reduced less than 0.1% for NL3 set and about 0.2% for PK1 set. After making the constrained calculations, the binding energies for 40−48Ca isotopes are in closer agreement with the experimental data. However, the obvious deviations can be encountered in the charge radii. Such as the case in 44Ca isotope, the charge radius obtained by the NL3 effective force has been increased about 1%, but about 2% for the PK1 force. This difference attributes to the fact that the charge radii obtained by the PK1 set are systematically underestimated with respect to the results obtained by NL3 set if the radius constraint approach cannot be employed [56]. Especially the effective force NL3 can almost reproduce the charge radii of 40Ca (3.4692 fm) and 48Ca (3.4711 fm) isotopes, but apparent discrepancy occurs for PK1 set, namely 3.4445 fm for 40Ca and 3.4542 fm for 48Ca. Furthermore, these results suggest that charge radii are more sensitive quantities in the calibrated protocol. This seems to provide a guideline to the artificial neural networks in learning experimental data. Recent studies suggest that the structure of the input data can also influence the predicted quantities in the artificial neural networks [92, 93]. Meanwhile, it is worthwhile to mention that the nucleon’s intrinsic electromagnetic structure plays an indispensable role in reproducing the charge radii of finite nuclei [94].
Table 1. Charge radii (Rch) and binding energies (BE) of calcium isotopes obtained by the approaches with and without considering the charge radius constraint calculations are listed for NL3 and PK1 effective interactions, respectively. The experimental data for charge radii [25, 26] and binding energy [95] are also shown for comparison.
Rch (fm) BE (MeV)
N NL3 PK1 NL3 PK1 Exp. NL3 PK1 NL3 PK1 Exp.
Without With Without With
16 3.4596 3.4463 3.4493 3.4493 3.4493 279.44 280.15 279.43 280.15 281.37
17 3.4595 3.4428 3.4480 3.4480 3.4480 294.72 295.05 294.71 295.04 296.13
18 3.4624 3.4430 3.4661 3.4661 3.4661 311.11 312.41 311.11 312.32 313.12
19 3.4650 3.4431 3.4595 3.4595 3.4595 325.96 326.90 325.96 326.79 326.42
20 3.4692 3.4445 3.4776 3.4776 3.4776 341.91 342.79 341.90 342.62 342.05
21 3.4678 3.4438 3.4780 3.4780 3.4780 350.66 351.56 350.56 351.18 350.42
22 3.4663 3.4434 3.5081 3.5081 3.5081 361.32 363.04 361.03 362.33 361.90
23 3.4659 3.4438 3.4954 3.4954 3.4954 369.66 371.12 369.83 370.67 369.83
24 3.4661 3.4454 3.5179 3.5179 3.5179 379.98 381.87 380.09 380.90 380.96
25 3.4667 3.4468 3.4944 3.4944 3.4944 387.96 389.36 388.10 388.91 388.37
26 3.4678 3.4494 3.4953 3.4953 3.4953 397.88 399.40 398.18 398.97 398.77
27 3.4703 3.4522 3.4783 3.4783 3.4783 405.69 406.36 405.68 406.23 406.05
28 3.4711 3.4542 3.4771 3.4771 3.4771 415.07 415.63 415.06 415.53 416.00
29 3.4810 3.4640 3.4917 3.4917 3.4917 419.78 419.91 419.76 419.76 421.15
30 3.4912 3.4766 3.5186 3.5186 3.5186 425.33 425.53 425.34 425.20 427.51
31 3.5023 3.4870 3.5335 3.5335 3.5335 428.77 428.61 428.70 428.21 432.32
32 3.5082 3.4998 3.5531 3.5531 3.5531 435.18 434.66 434.94 434.16 438.33
The odd–even staggering behaviors in charge radii and nuclear masses are generally observed throughout the whole nuclide chart [25, 26, 95]. To facilitate the local variations of nuclear charge radii and binding energies, the three-point formula is recalled as follows,
$\begin{eqnarray}{{\rm{\Delta }}}_{{ \mathcal Y }}(N,Z)=\frac{1}{2}[2{ \mathcal Y }(N,Z)-{ \mathcal Y }(N-1,Z)-{ \mathcal Y }(N+1,Z)],\end{eqnarray}$
where ${ \mathcal Y }(N,Z)$ represents the specific physical quantity of a nucleus with neutron number N and proton number Z.
The OES of binding energies calculated by equation (5) are shown in figures 1(a) and (c) with the effective forces NL3 and PK1, respectively. Here one can find that the OES in the evaluated nuclear mass agrees with the experimental data very well. With and without considering the constraint on rms charge radii, the OES of binding energies obtained by both methods can give almost similar trend. In addition, one can find that the amplitudes of OES in binding energies are enlarged at the neutron numbers N = 20 and N = 28 with respect to the neighboring counterparts. This emerged signature in the empirical mass gap could be generally used to identify the magic numbers [95].
Figure 1. Odd–even staggering of binding energies and two-neutron separation energies of calcium isotopes as a function of neutron numbers are depicted by both NL3 (a), (b) and PK1 (c), (d) effective forces. The corresponding experimental data are taken from [95].
In figures 1(b) and (d), two-neutron separation energies of calcium isotopes are plotted as a function of neutron numbers with effective forces NL3 and PK1. The similar trend can be found with both of the effective forces NL3 and PK1, especially the sharp decreases of the two-neutron separation energies can also be reproduced well at the neutron numbers N = 20 and N = 28. As shown in figures 1(a) and (c), the enlarged OES in binding energies results from the strong shell closure. However, the odd–even oscillation amplitudes of charge radii are weakened at the N = 20 and N = 28 shell closure [56, 58]. As demonstrated in [57], this weakening OES behavior in nuclear charge radii can be observed generally at the fully filled shells. This may provide a signature to feature the magicity of a nucleus from the aspect of nuclear size. As a candidate of doubly magic nuclei, the unexpectedly larger charge radius has been observed in 52Ca [38]. Thus the charge radius of 53Ca isotope is urgently required. The latest study suggests that the abrupt increase of nuclear charge radii along Sc isotopic chain can be observed notably across neutron number N = 20 [96], but this phenomenon is absent in the neighboring Ca isotopes.
As demonstrated in [56], the local variations of charge radii along Ca isotopes cannot be reproduced well under the relativistic mean-field model with equation (4). Actually, before the constrained calculations, the results obtained by the NL3 and PK1 effective forces give the underestimated OES amplitudes. Based on the radius constraint calculations, the calculated results can cover the experimental charge radii. Thus the OES behavior of charge radii between the neutron numbers N = 20 and N = 28 are naturally predicted.
The range of proton and neutron matter distributions is related to the disparity of the Fermi energies between protons and neutrons in mean-field calculations [97]. In addition, charge radii can be influenced by the nuclear Fermi surface as well [48, 98]. Therefore, it is instructive to present the neutron (ϵFn) and proton (ϵFp) Fermi energies along calcium isotopes in figure 2. It is mentioned that the neutron Fermi energies obtained by effective forces NL3 and PK1 are almost not changed with the radius constraint calculations. For proton Fermi energies, the apparent divergence occurs between the fully filled N = 20 and N = 28 shells. Beyond N = 29, this divergence is also present. Meanwhile, it is notably mentioned that the trend of changes of charge radii is significantly influenced by the isospin-dependence interactions [99, 100]. This seems to suggest that the abnormal change in the charge radii can be reflected from the associated isospin-dependence interactions.
Figure 2. Fermi energies of neutrons (ϵFn) and protons (ϵFp) of calcium isotopes with and without making constraint on the rms charge radius are depicted as a function of neutron numbers through effective forces NL3 (a) and PK1 (b).
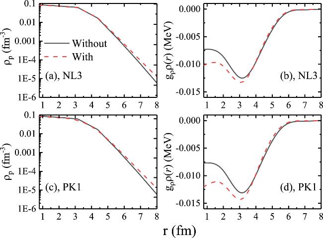
In figures 3(a) and (c), the proton density distributions ρp(r) of 44Ca are shown with effective forces NL3 and PK1. The constrained results give the relatively larger density distributions in the outer edge (r > 6 fm). This suggests that the corresponding central density is reduced. Shown in [49], it points out that the short-range neutron–proton correlation causes the increasing charge radius, namely exists more strong isospin-dependence interactions. Under the relativistic mean-field model, the ρ meson is employed to describe the isospin asymmetry degrees. In figures 3(b) and (d), the equivalent meson field gρρ(r) in 44Ca are also presented. It shows that the constrained calculations give more bound isospin-dependence interactions, namely rather strong isospin couplings. As demonstrated in [99], the entire isospin dependence of the spin–orbit field is rather small in relativistic calculations. Therefore, the isospin-dependence components in effective nuclear potentials should be considered appropriately.
Figure 3. Proton density ρp and equivalent ρ meson field gρρ(r) in 44Ca are depicted by the effective forces NL3 (a), (b) and PK1 (c), (d).
Actually, a strong coupling between neutron- and proton-pairing correlations leads to the anomalous behaviors in nuclear charge radii [101]. Furthermore, recent studies suggest that α-cluster structure has been performed in light or medium mass nuclei [102106]. This means the more strong isospin-dependence interactions deriving from the neutron and proton pairs condensation should be taken into account in describing the fine structures of finite nuclei size. Along calcium isotopic chain, the OES behavior in charge radii can be evidently observed [25, 26]. As shown in figure 2, these anomalous behaviors may be reflected from the changes of the proton Fermi surface.
With the increasing neutron numbers, the gradually deep proton single-particle levels are obtained along a long isotopic chain due to the strong isospin-dependence interactions [107, 108]. As encountered in proton Fermi energy, the constraint calculation makes the proton single-particle levels more bound. For 44Ca, the constraining result obtained by NL3 force gives the proton single-particle energy −14.54 MeV for 2s1/2 level and −14.98 MeV for 1d3/2 level. For results without making constraint, the proton single-particle energies are −12.65 MeV and −13.48 MeV for the corresponding 2s1/2 and 1d3/2 levels, respectively. However, the neutron single-particle levels are almost unchanged before and after the constrained calculations. The same scenario can also be encountered in the PK1 parameter set, namely the constrained approach gives deeper proton single-particle levels. Meanwhile, before and after making the charge radius constraint calculations, the proton and neutron occupation probabilities are almost unchanged for these NL3 and PK1 effective forces. As shown in figure 2, the proton Fermi energies are decreased with the increasing isospin asymmetry. The constrained results reproduce the enlarged rms charge radius between 40Ca and 48Ca. Meanwhile, the corresponding proton Fermi energies become lower in comparison to the cases without making constraint. This may suggest that the isospin-dependence interactions in the mean-field model cannot be captured adequately yet.
As shown in table 1, the binding energies of calcium isotopes are also changed by using the charge radius constraint approach. Large deviations of the proton Fermi energies can be observed apparently between the approaches with and without considering the constrained calculations. For 43Ca, the proton Fermi energy obtained by the charge radius constraint approach with PK1 set is −11.47 MeV, but the result obtained without constraining the charge radius is −9.45 MeV. For NL3 set, before and after the constrained calculations, the corresponding proton Fermi energies are −9.80 MeV and −10.53 MeV, respectively. The same scenario can also be encountered in 44Ca where the constrained calculation gives the proton Fermi energy is −13.27 MeV for the PK1 set and −12.48 MeV for the NL3 set. By contrast, the results obtained without constraining the charge radius give the values of −10.37 MeV for the PK1 set and −10.82 MeV for NL3 set.
Before and after the constrained calculations, the apparent differences can be found in the binding energies, charge radii, proton density distributions, and the proton Fermi surface, etc. Furthermore, it is necessary to analyze in detail the changes of the binding energy, neutron and proton Fermi surface, shape deformation, neutron and proton single-particle levels, and the corresponding occupation probabilities with respect to the constrained charge radii. As shown in figure 4, the binding energies, Fermi energies ϵF, neutron single-particle levels, and proton single-particle levels of 44Ca isotope are depicted as a function of the constrained charge radius with effective force PK1. From this figure, one can find that the binding energy of 44Ca is smoothly decreased with the increasing values of the constrained charge radii. Meanwhile, as shown in figures 4(b) and (c), the neutron Fermi energy ϵFn and neutron single-particle levels (SPLs) are almost not changed with the increasing values of the constrained charge radii. By contrast, as shown in figures 4(b) and (d), the proton Fermi energy ϵFp and proton SPLs are almost linearly decreased with respect to the target charge radius of the constrained calculations. With the increasing charge radii, the corresponding occupation probabilities are almost not changed. In addition, the absolute values of the deformation parameters β20 are less than 0.0005. This means the nucleus 44Ca is almost spherical shape with the increasing charge radii. That is why the spherical quantum numbers are used to remark the evolution of the neutron and proton single-particle levels in figure 4, respectively.
Figure 4. The binding energies (a), Fermi energies ϵF (b), neutron single-particle levels (c), and proton single-particle levels (d) of 44Ca isotope are depicted as a function of the constrained charge radius with effective force PK1. The experimental binding energy of 44Ca isotope is taken from [95].
In order to inspect these local variations of the proton Fermi energy, equation (5) is still employed to facilitate these discontinuous behaviors. In figure 5, the values of ΔϵF derived from the proton Fermi energies of 36−52Ca isotopes are depicted with NL3 and PK1 forces, respectively. The OES pattern of the proton Fermi energies is significantly observed along the calcium isotopes after the charge radius constraint is imposed. As shown in figure 5, we can find that the proton Fermi energies represent the inverse odd–even oscillations in comparison with the corresponding binding energies and charge radii. It should be mentioned that the OES behaviors of the proton Fermi energies are weakened at the neutron numbers N = 20 and 28 under the NL3 effective force. The same scenario can be encountered in the PK1 set as well. The emergence of neutron magic numbers can be revealed through the systematic evolution of nuclear charge radii along a long isotopic family [56, 58]. As demonstrated in [57], the weakened OES behaviors can be observed in nuclear charge radii due to the strong shell closure effect. This may result from the weakened OES of the proton Fermi energies at the completely filled shells. The OES behaviors of the proton Fermi energies may provide an alternative access to understand the anomalous behaviors in nuclear charge radii. Therefore, further investigation should be performed in the proceeding study.
Figure 5. The values of ΔϵF derived from the proton Fermi energies against calcium isotopes as a function of neutron numbers with effective forces NL3 (a) and PK1 (b).

4. Summary and outlook

Complementary to the anomalous behavior of the charge radii along calcium isotopes, the constraint calculations on rms charge radii are performed. The calculated results suggest that the amplitudes of odd–even staggering in the binding energies and two-neutron separation energies are almost similar with these two approaches, and agree with the experimental data well. The weakening OES of charge radii can be regarded as local irregularity along calcium isotopic chain at the neutron numbers N = 20 and 28. This provides a signature to identify the shell closure effect [31, 57]. However, the empirical energy gap shows the larger amplitudes in comparison with the adjacent counterparts.
The rather strong isospin-dependence interactions can be deduced from the reproduced charge radii. In order to review the OES behaviors in charge radii, the local variations of the proton Fermi energies for calcium isotopes are delineated by three-point formula equation (5). It is obviously mentioned that the OES in the proton Fermi energies show the inverse amplitudes with respect to binding energies and charge radii. Meanwhile, the weakening OES behaviors can also be found in the Fermi energies at N = 20 and 28. As demonstrated in [97, 98], the nuclear size can be affected by the Fermi surface or the single-particle levels near the Fermi surface. Hence this may offer an explanation why the enhanced odd–even oscillations of charge radii can be observed between 40Ca and 48Ca.
The calculated results suggest that the suitable isospin-dependence interactions should be supplied in relativistic mean-field model. Actually, nuclear charge radii are influenced by various mechanisms, such as high order moment [109, 110], isospin symmetry breaking [111, 112], quadrupole deformation [113], etc. Precision determination of charge radii plays a crucial role in nuclear physics. The linear correlations between the charge radii differences of mirror-pair nuclei and the slope parameter of symmetry energy have been built to ascertain the isospin components of asymmetric nuclear matter interactions. As shown in [18, 114116], the proton radii of mirror-pair nuclei can provide the opportunity to encode the information about neutron skin thickness. This suggests that neutron skin thickness and charge radii are mutually determined. Thus, this challenges us to perform high-precision descriptions in the charge radii of exotic nuclei.

This work was supported by the Natural Science Foundation of Ningxia Province, China (No. 2024AAC03015), the Open Project of Guangxi Key Laboratory of Nuclear Physics and Nuclear Technology, No. NLK2023-05, the Central Government Guidance Funds for Local Scientific and Technological Development, China (No. Guike ZY22096024), and the Key Laboratory of Beam Technology of Ministry of Education, China (No. BEAM2024G04). XJ is grateful for the support of the National Natural Science Foundation of China under Grants No. 11705118, No. 12175151, and the Major Project of the GuangDong Basic and Applied Basic Research Foundation (2021B0301030006). NT is grateful for the support of the key research and development project of Ningxia (Grant No. 2024BEH04090) and the Key Laboratory of Beam Technology of Ministry of Education, China (No. BEAM2024G05). L-GC is grateful for the support of the National Natural Science Foundation of China under Grants No. 12275025, No. 11975096 and the Fundamental Research Funds for the Central Universities (2020NTST06). F-SZ was supported by the National Key R&D Program of China under Grant No. 2023YFA1606401 and the National Natural Science Foundation of China under Grants No. 12135004, No. 11635003, No. 11961141004.

1
Jänecke J, Becchetti F D 1983 Shape transitions and isotope shifts of proton and neutron distributions in the samarium isotopes Phys. Rev. C 27 2282

DOI

2
Casten R F 1985 Possible unified interpretation of heavy nuclei Phys. Rev. Lett. 54 1991

DOI

3
Lalazissis G A, Sharma M M, Ring P 1996 Rare-earth nuclei: radii, isotope-shifts and deformation properties in the relativistic mean-field theory Nucl. Phys. A 597 35

DOI

4
Rodriguez-Guzman R, Sarriguren P, Robledo L M 2010 Signatures of shape transitions in odd-A neutron-rich rubidium isotopes Phys. Rev. C 82 061302(R)

DOI

5
Togashi T et al 2016 Quantum phase transition in the shape of Zr isotopes Phys. Rev. Lett. 117 172502

DOI

6
Marsh B A et al 2018 Characterization of the shape-staggering effect in mercury nuclei Nat. Phys. 14 1163

DOI

7
Barzakh A et al 2021 Large shape staggering in neutron-deficient Bi isotopes Phys. Rev. Lett. 127 192501

DOI

8
An R et al 2023 Local variations of charge radii for nuclei with even Z from 84 to 120 Commun. Theor. Phys. 75 035301

DOI

9
Mun M H et al 2023 Odd-even shape staggering and kink structure of charge radii of Hg isotopes by the deformed relativistic Hartree–Bogoliubov theory in continuum Phys. Lett. B 847 138298

DOI

10
Nörtershäuser W et al 2009 Nuclear charge radii of 7,9,10Be and the one-neutron halo nucleus 11Be Phys. Rev. Lett. 102 062503

DOI

11
Geithner W et al 2008 Masses and charge radii of 17−22Ne and the two-proton-halo candidate 17Ne Phys. Rev. Lett. 101 252502

DOI

12
Bagchi S et al 2019 Neutron skin and signature of the N = 14 shell gap found from measured proton radii of 17−22N Phys. Lett. B 790 251

DOI

13
Kaur S et al 2022 Proton distribution radii of 16−24O: signatures of new shell closures and neutron skin Phys. Rev. Lett. 129 142502

DOI

14
Wang N, Li T 2013 Shell and isospin effects in nuclear charge radii Phys. Rev. C 88 011301(R)

DOI

15
Brown B A 2017 Mirror charge radii and the neutron equation of state Phys. Rev. Lett. 119 122502

DOI

16
Brown B A et al 2020 Implications of the 36Ca−36S and 38Ca−38Ar difference in mirror charge radii on the neutron matter equation of state Phys. Rev. Res. 2 022035(R)

DOI

17
Pineda S V et al 2021 Charge radius of neutron-deficient 54Ni and symmetry energy constraints using the difference in mirror pair charge radii Phys. Rev. Lett. 127 182503

DOI

18
Novario S J et al 2023 Trends of neutron skins and radii of mirror nuclei from first principles Phys. Rev. Lett. 130 032501

DOI

19
Xu J Y et al 2022 Constraining equation of state of nuclear matter by charge-changing cross section measurements of mirror nuclei Phys. Lett. B 833 137333

DOI

20
Huang Y N, Li Z Z, Niu Y F 2023 Correlation between the difference of charge radii in mirror nuclei and the slope parameter of the symmetry energy Phys. Rev. C 107 034319

DOI

21
An R et al 2023 Constraining nuclear symmetry energy with the charge radii of mirror-pair nuclei Nucl. Sci. Tech. 34 119

DOI

22
Bano P et al 2023 Correlations between charge radii differences of mirror nuclei and stellar observables Phys. Rev. C 108 015802

DOI

23
König K et al 2024 Nuclear charge radii of silicon isotopes Phys. Rev. Lett 132 162502

DOI

König K et al 2024 Nuclear charge radii of silicon isotopes Phys. Rev. Lett. 133 059901

24
Gautam S et al 2024 Estimation of the slope of nuclear symmetry energy via charge radii of mirror nuclei Nucl. Phys. A 1043 122832

DOI

25
Angeli I, Marinova K 2013 Table of experimental nuclear ground state charge radii: an update At. Data Nucl. Data Tables 99 69

DOI

26
Li T, Luo Y, Wang N 2021 Compilation of recent nuclear ground state charge radius measurements and tests for models At. Data Nucl. Data Tables 140 101440

DOI

27
Bohr A, Mottelson B R 1998 Nuclear Structure World Scientific

28
Zhang S Q et al 2002 Isospin and Z1/3 dependence of the nuclear charge radii Eur. Phys. J. A 13 285

DOI

29
Dong X X et al 2022 Novel Bayesian neural network based approach for nuclear charge radii Phys. Rev. C 105 014308

DOI

30
Dong X X et al 2023 Nuclear charge radii in Bayesian neural networks revisited Phys. Lett. B 838 137726

DOI

31
Nakada H 2019 Irregularities in nuclear radii at magic numbers Phys. Rev. C 100 044310

DOI

32
Garcia R R, Vernon A 2020 Emergence of simple patterns in many-body systems: from macroscopic objects to the atomic nucleus Eur. Phys. J. A 56 136

DOI

33
Miller A J et al 2019 Proton superfluidity and charge radii in proton-rich calcium isotopes Nat. Phys. 15 432

DOI

34
Huck A et al 1985 Beta decay of the new isotopes 52K, 52Ca, and 52Sc; a test of the shell model far from stability Phys. Rev. C 31 2226

DOI

35
Gade A et al 2006 Cross-shell excitation in two-proton knockout: structure of 52Ca Phys. Rev. C 74 021302(R)

DOI

36
Gallant A T et al 2012 New precision mass measurements of neutron-rich calcium and potassium isotopes and three-nucleon forces Phys. Rev. Lett. 109 032506

DOI

37
Wienholtz F et al 2013 Masses of exotic calcium isotopes pin down nuclear forces Nature 498 346

DOI

38
Garcia Ruiz R F et al 2016 Unexpectedly large charge radii of neutron-rich calcium isotopes Nat. Phys. 12 594

DOI

39
Ekström A et al 2015 Accurate nuclear radii and binding energies from a chiral interaction Phys. Rev. C 91 051301(R)

DOI

40
Hebeler K et al 2011 Improved nuclear matter calculations from chiral low-momentum interactions Phys. Rev. C 83 031301(R)

DOI

41
Geng L S et al 2003 Relativistic mean field theory for deformed nuclei with the pairing correlations Prog. Theor. Phys. 110 921

DOI

42
Xia X W et al 2018 The limits of the nuclear landscape explored by the relativistic continuum Hartree–Bogoliubov theory At. Data Nucl. Data Tables 121–122 1

DOI

43
Zhang K Y et al 2022 Nuclear mass table in deformed relativistic Hartree-Bogoliubov theory in continuum: I. Even–even nuclei At. Data Nucl. Data Tables 144 101488

DOI

44
Perera U C, Afanasjev A V, Ring P 2021 Charge radii in covariant density functional theory: a global view Phys. Rev. C 104 064313

DOI

45
Guo P et al 2024 Nuclear mass table in deformed relativistic Hartree–Bogoliubov theory in continuum: II. Even-Z nuclei At. Data Nucl. Data Tables 158 101661

DOI

46
Yang Y L et al 2021 Nuclear landscape in a mapped collective Hamiltonian from covariant density functional theory Phys. Rev. C 104 054312

DOI

47
Liu Z X et al 2024 Nuclear ground-state properties probed by the relativistic Hartree–Bogoliubov approach At. Data Nucl. Data Tables 156 101635

DOI

48
Lalazissis G A, Massen S E 1996 Effects of short-range correlations on Ca isotopes Phys. Rev. C 53 1599

DOI

49
Miller G et al 2019 Can long-range nuclear properties Be influenced by short range interactions? A chiral dynamics estimate Phys. Lett. B 793 360

DOI

50
Souza L A et al 2020 Effects of short-range nuclear correlations on the deformability of neutron stars Phys. Rev. C 101 065202

DOI

51
Cosyn W, Ryckebusch J 2021 Phase-space distributions of nuclear short-range correlations Phys. Lett. B 820 136526

DOI

52
Casten R F, Brenner D S, Haustein P E 1987 Valence pn interactions and the development of collectivity in heavy nuclei Phys. Rev. Lett. 58 658

DOI

53
Angeli I 1991 Effect of valence nucleons on rms charge radii and surface thickness J. Phys. G 17 439

DOI

54
Sheng Z Q et al 2015 An effective formula for nuclear charge radii Eur. Phys. J. A 51 40

DOI

55
Xian Z Y, Ya Y, An R 2024 Shell quenching in nuclear charge radii based on Monte Carlo dropout Bayesian neural network arXiv:2410.15784

56
An R, Geng L S, Zhang S S 2020 Novel ansatz for charge radii in density functional theories Phys. Rev. C 102 024307

DOI

57
An R et al 2022 Odd-even staggering and shell effects of charge radii for nuclei with even Z from 36 to 38 and from 52 to 62 Phys. Rev. C 105 014325

DOI

58
An R et al 2024 Improved description of nuclear charge radii: global trends beyond N = 28 shell closure Phys. Rev. C 109 064302

DOI

59
Reinhard P G, Nazarewicz W 2017 Toward a global description of nuclear charge radii: exploring the Fayans energy density functional Phys. Rev. C 95 064328

DOI

60
Caurier E et al 2001 Shell model description of isotope shifts in calcium Phys. Lett. B 522 240

DOI

61
Inakura T, Hinohara N, Nakada H 2024 Radial and orbital decomposition of charge radii of Ca nuclei: comparative study of Skyrme and Fayans functionals Phys. Rev. C 110 054315

DOI

62
Zhou S G, Meng J, Ring P 2003 Spherical relativistic Hartree theory in a Woods–Saxon basis Phys. Rev. C 68 034323

DOI

63
Zhou S G et al 2010 Neutron halo in deformed nuclei Phys. Rev. C 82 011301(R)

DOI

64
Sun X X, Zhao J, Zhou S G 2018 Shrunk halo and quenched shell gap at N = 16 in 22C: inversion of sd states and deformation effects Phys. Lett. B 785 530

DOI

65
Zhang K Y et al 2023 Collapse of the N = 28 shell closure in the newly discovered 39Na nucleus and the development of deformed halos towards the neutron dripline Phys. Rev. C 107 L041303

DOI

66
Zhang K Y et al 2023 Missed prediction of the neutron halo in 37Mg Phys. Lett. B 844 138112

DOI

67
Liang H Z, Meng J, Zhou S G 2015 Hidden pseudospin and spin symmetries and their origins in atomic nuclei Phys. Rept. 570 1

DOI

68
Lisboa R et al 2017 Temperature effects on nuclear pseudospin symmetry in the Dirac–Hartree–Bogoliubov formalism Phys. Rev. C 96 054306

DOI

69
Geng J et al 2019 Pseudospin symmetry restoration and the in-medium balance between nuclear attractive and repulsive interactions Phys. Rev. C 100 051301(R)

DOI

70
Rong Y T, Zhao P W, Zhou S G 2020 Strength of pairing interaction for hyperons in multistrangeness hypernuclei Phys. Lett. B 807 135533

DOI

71
Zhang S S et al 2007 Relativistic wave functions for single-proton resonant states Eur. Phys. J. A 32 43

DOI

72
Cao L G, Ma Z Y 2004 Effect of resonant continuum on pairing correlations in the relativistic approach Eur. Phys. J. A 22 189

DOI

73
Paar N et al 2003 Quasiparticle random phase approximation based on the relativistic Hartree–Bogoliubov model Phys. Rev. C 67 034312

DOI

74
Paar N et al 2004 Quasiparticle random phase approximation based on the relativistic Hartree–Bogoliubov model: II. Nuclear spin and isospin excitations Phys. Rev. C 69 054303

DOI

75
Chang S Y et al 2022 Relativistic random-phase-approximation description of M1 excitations with the inclusion of π mesons Phys. Rev. C 105 034330

DOI

76
Lu Z W et al 2023 Manipulation of giant multipole resonances via vortex γ photons Phys. Rev. Lett. 131 202502

DOI

77
An R et al 2020 Neutron drip line of Z = 9−11 isotopic chains Chin. Phys. C 44 074101

DOI

78
Pan C et al 2021 Possible bound nuclei beyond the two-neutron drip line in the 50 ≤ Z ≤ 70 region Phys. Rev. C 104 024331

DOI

79
Ravlić A et al 2023 Influence of the symmetry energy on the nuclear binding energies and the neutron drip line position Phys. Rev. C 108 054305

DOI

80
Li Z Y et al 2024 Covariant density functional theory for nuclear fission based on a two-center harmonic oscillator basis Phys. Rev. C 109 064310

DOI

81
Zhang D D et al 2024 Ternary quasifission in collisions of actinide nuclei Phys. Rev. C 109 024316

DOI

82
Wang K, Lu B N 2022 The angular momentum and parity projected multidimensionally constrained relativistic Hartree–Bogoliubov model Commun. Theo. Phys. 74 015303

DOI

83
Zhao P W, Gandolfi S 2016 Radii of neutron drops probed via the neutron skin thickness of nuclei Phys. Rev. C 94 041302(R)

DOI

84
Wang Y K, Zhao P W, Meng J 2024 Relativistic configuration-interaction density functional theory: nonaxial effects on nuclear decay Sci. Bull. 69 2017

DOI

85
Wang Y K, Zhao P W, Meng J 2024 Correlation between neutrinoless double-β decay and double Gamow–Teller transitions Phys. Lett. B 855 138796

DOI

86
Ring P, Gambhir Y K, Lalazissis G A 1997 Computer program for the relativistic mean field description of the ground state properties of even even axially deformed nuclei Comput. Phys. Commun. 105 77

DOI

87
Lalazissis G A, König J, Ring P 1997 New parametrization for the Lagrangian density of relativistic mean field theory Phys. Rev. C 55 540

DOI

88
Long W H et al 2004 New effective interactions in relativistic mean field theory with nonlinear terms and density-dependent meson-nucleon coupling Phys. Rev. C 69 034319

DOI

89
Gambhir Y K, Ring P, Thimet A 1990 Relativistic mean field theory for finite nuclei Ann. Phys. 198 132

DOI

90
Bender M, Heenen P H, Reinhard P G 2003 Self-consistent mean-field models for nuclear structure Rev. Mod. Phys. 75 121

DOI

91
Vretenar D et al 2005 Relativistic Hartree–Bogoliubov theory: static and dynamic aspects of exotic nuclear structure Phys. Rept. 409 101

DOI

92
Mumpower M R et al 2022 Physically interpretable machine learning for nuclear masses Phys.Rev. C 106 L021301

DOI

93
Shang T S, Li J, Niu Z M 2022 Prediction of nuclear charge density distribution with feedback neural network Nucl. Sci. Tech. 33 153

DOI

94
Xie H H, Li J 2024 Impact of intrinsic electromagnetic structure on the nuclear charge radius in relativistic density functional theory Phys. Rev. C 110 064319

DOI

95
Huang W J et al 2021 The AME 2020 atomic mass evaluation: I. Evaluation of input data, and adjustment procedures Chin. Phys. C 45 030002

DOI

96
König K et al 2023 Surprising charge-radius kink in the Sc isotopes at N = 20 Phys. Rev. Lett. 131 102501

DOI

97
Yoshida S, Sagawa H 2004 Neutron skin thickness and equation of state in asymmetric nuclear matter Phys. Rev. C 69 024318

DOI

98
Naito T et al 2023 Comparative study on charge radii and their kinks at magic numbers Phys. Rev. C 107 054307

DOI

99
Sharma M M et al 1995 Isospin dependence of the spin–orbit force and effective nuclear potentials Phys. Rev. Lett. 74 3744

DOI

100
Ebran J P et al 2016 Spin–orbit interaction in relativistic nuclear structure models Phys. Rev. C 94 024304

DOI

101
Zawischa D 1985 On the origin of odd-even-staggering of nuclear charge radii Phys. Lett. B 155 309

DOI

102
Bishop J et al 2019 Experimental investigation of α condensation in light nuclei Phys. Rev. C 100 034320

DOI

103
Adachi S, Fujikawa Y, Kawabata T 2021 Candidates for the 5α condensed state in 20Ne Phys. Lett. B 819 136411

DOI

104
Yang Z H et al 2023 Observation of the exotic ${0}_{2}^{+}$ cluster state in 8He Phys. Rev. Lett. 131 242501

DOI

105
Dassie A C, Betan R M I 2023 α -decay from 44Ti: a study of microscopic clusterization Phys. Rev. C 108 044314

DOI

106
Zhou B et al 2023 The 5α condensate state in 20Ne Nat. Commun. 14 8206

DOI

107
Im S, Meng J 2000 Particles in classically forbidden areas, neutron skin and halo, and pure neutron matter in Ca isotopes Phys. Rev. C 61 047302

DOI

108
Nakada H 2010 Shell structure in neutron-rich Ca and Ni nuclei under semi-realistic mean fields Phys. Rev. C 81 051302(R)

DOI

109
Reinhard P G, Nazarewicz W, Garcia Ruiz R F 2020 Beyond the charge radius: The information content of the fourth radial moment Phys. Rev. C 101 021301(R)

DOI

110
Naito T et al 2021 Second and fourth moments of the charge density and neutron-skin thickness of atomic nuclei Phys. Rev. C 104 024316

DOI

111
Naito T et al 2022 Isospin symmetry breaking in the charge radius difference of mirror nuclei Phys. Rev. C 106 L061306

DOI

112
Naito T et al 2023 Effects of Coulomb and isospin symmetry breaking interactions on neutron-skin thickness Phys. Rev. C 107 064302

DOI

113
An R et al 2022 Charge radii of potassium isotopes in the RMF (BCS)* approach Chin. Phys. C 46 054101

DOI

114
Gaidarov M et al 2020 Proton and neutron skins and symmetry energy of mirror nuclei Nucl. Phys. A 1004 122061

DOI

115
Yang J, Piekarewicz J 2018 Difference in proton radii of mirror nuclei as a possible surrogate for the neutron skin Phys. Rev. C 97 014314

DOI

116
An R et al 2024 New quantification of symmetry energy from neutron skin thicknesses of 48Ca and 208Pb Nucl. Sci. Tech. 35 182

DOI

Outlines

/