Welcome to visit Communications in Theoretical Physics,
Gravitation Theory, Astrophysics and Cosmology

Compact stars and modified TOV equation in Rastall gravity

  • Adnan Malik , 1, 2 ,
  • Zoya Asghar , 3 ,
  • M Farasat Shamir , 3 ,
  • Fatemah Mofarreh , 4,
Expand
  • 1School of Mathematical Sciences, Zhejiang Normal University, Jinhua, Zhejiang, China
  • 2Department of Mathematics, University of Management and Technology, Sialkot Campus, Pakistan
  • 3National University of Computer and Emerging Sciences, Lahore Campus, Pakistan
  • 4Mathematical Science Department, Faculty of Science Princess Nourah Bint Abdulrahman University Riyadh 11546, Saudi Arabia

Author to whom any correspondence should be addressed.

Received date: 2024-08-23

  Revised date: 2025-03-16

  Accepted date: 2025-03-26

  Online published: 2025-06-13

Copyright

© 2025 Institute of Theoretical Physics CAS, Chinese Physical Society and IOP Publishing. All rights, including for text and data mining, AI training, and similar technologies, are reserved.
This article is available under the terms of the IOP-Standard License.

Abstract

This study investigates the key characteristics of compact star configurations within the framework of Rastall’s theory of gravity, employing the Krori–Barua ansatz. By forming the field equations for a spherically symmetric line element with an isotropic matter source through Krori–Barua metric potentials, we derive the modified Tolman–Oppenheimer–Volkov equation. This equation is crucial for studying the mass–radius function, the compactness factor, and the surface redshift. Additionally, we examine various physical aspects, including energy density, pressure evolution, equation of state, adiabatic index, and stability analysis, to assess the model’s viability. Rastall’s theory, which extends general relativity by relaxing the conservation of energy and momentum, plays a central role in our analysis, particularly in understanding the enhanced stability of compact stars. Our results provide strong evidence that within Rastall’s gravitational framework, the proposed stellar structures exhibit significant stability, suggesting that this theory may offer new perspectives on the behavior of such stars.

Cite this article

Adnan Malik , Zoya Asghar , M Farasat Shamir , Fatemah Mofarreh . Compact stars and modified TOV equation in Rastall gravity[J]. Communications in Theoretical Physics, 2025 , 77(10) : 105401 . DOI: 10.1088/1572-9494/adcaa8

1. Introduction

The exploration of relativistic space science emphasizes the critical investigation of stellar structures and the nature of their energy content. This area of study has drawn the attention of the scientific community since the advent of general relativity (GR). Compact stars, as fundamental components of the Universe, play a crucial role in considering possible modifications to this theoretical framework. The conceptualization of neutron stars, black holes, and white dwarfs has been essential in outlining the ultimate fates of ordinary stars. The Einstein field equations (EFE) serve as a foundational tool in understanding the intricate nature of celestial bodies, with a major breakthrough being Schwarzschild’s pioneering exact solution of the EFE [1]. Subsequently, Tolman [2] and Oppenheimer [3] conducted a comprehensive analysis of cosmic structures, demonstrating that the physical characteristics of compact stars reflect a balance between gravitational forces and internal pressure. Additionally, Baade and Zwicky [4] explored the internal core of stellar configurations, providing insights into their composition and dynamics. Their contributions have significantly enhanced our understanding of the complex interaction between gravitational forces and internal processes within these stellar bodies. The Tolman–Oppenheimer–Volkoff (TOV) equation [2, 3] describes the equilibrium of spherically symmetric stars under GR, acting as the gravitational counterpart to the classical condition for hydrostatic equilibrium. Given the importance of spherical symmetry in extragalactic astronomy, numerous studies have been conducted to explore different solutions, applying various formalisms and methodologies to achieve meaningful results [519]. Furthermore, researchers have delved into extensions of the TOV equation within the context of modified gravity theories [2025]. Einstein’s theory stands as a cornerstone of our understanding of gravitational interactions. However, despite its remarkable success, it faces challenges in explaining certain cosmological mysteries, such as the late-time cosmic acceleration. Recognizing these limitations, the scientific community has increasingly explored modifications to the GR framework [2641].
Rastall’s theory can be effectively situated within the broader landscape of alternative gravity theories, such as Modified Newtonian Dynamics, f(R) gravity, and Scalar-Tensor theories. One of the unique features of Rastall’s theory is its modification of energy-momentum conservation, allowing for a non-zero divergence of the energy-momentum tensor. This characteristic introduces a direct coupling between matter and spacetime curvature, distinguishing it from other models that primarily focus on modifying the Einstein–Hilbert action. For instance, while f(R) gravity aims to explain cosmic acceleration through curvature modifications, Rastall’s framework provides a more direct approach to understanding gravitational interactions, particularly in dense matter scenarios like compact stars. This modification may enhance the stability of such stars and offer explanations for their observed properties that are difficult to reconcile with general relativity. By highlighting these unique aspects, Rastall’s theory presents significant potential advantages in addressing astrophysical observations, thereby enriching the discourse on modified gravity and its implications for our understanding of the Universe. Among these alternatives, RTG emerges as a compelling extension, offering a refined approach to address these cosmological enigmas. The RTG framework has been the subject of significant investigation in past literature [4250], providing key insights into cosmological questions. Researchers have rigorously analyzed RTG, exploring its implications across a range of astronomical phenomena. From the dynamics of rotating black holes to the simpler behavior of non-rotating black holes, each study has contributed to advancing our understanding of gravity [5154]. Furthermore, investigations into the thermodynamics of black holes within the RTG framework have yielded intriguing insights, revealing new aspects of their thermodynamic properties [55]. Fabris et al [49] have explored various influential aspects of stellar structures within the framework of RTG. Concurrently, Moradpour and Salako [56] have examined key parameters of RTG by studying its Newtonian limit. Their investigations into thermodynamic quantities such as energy and entropy provide valuable insights into the thermodynamic behavior of RTG. In another study [57], the existence of asymptotically flat wormholes within RTG was discussed. Hansraj et al [58] focused on perfect spheres, which are fundamental in modeling celestial bodies like neutron stars and cold-fluid stars. They analyzed the diverse properties of RTG and their effects on these stellar structures, offering evidence that RTG deviates considerably from the principles of GR. Some interesting work can be seen in [5973]. Hansraj and Banerjee [74] further investigated the influence of RTG on the structure of compact stars, examining key physical attributes such as the positivity of energy density and pressure, the core of the equation of state (EoS), and the implications of causality. Their research provided important insights into the interplay between RTG and the essential characteristics of stellar systems. Salako et al [75] studied anisotropic charged strange stars within the Rastall gravity framework, utilizing the modified TOV equation and a conformal Killing vector to derive solutions. In another study, Salako et al [76] investigated strange quark matter governed by the MIT bag model EoS in the context of Rastall’s theory. Additionally, the same author and collaborators [77] explored the Rastall–Maxwell theory in relation to strange quark matter by solving the modified TOV equation. In a further study [78], strange quark matter in the presence of a quintessence field and quintessence dark energy, using the MIT bag model in Rastall–Maxwell gravity, was examined. These investigations have significantly contributed to our understanding of how RTG impacts various stellar and cosmological systems.
The exploration of stellar structures utilizing the Krori–Barua (KB) ansatz has captivated the zeal of astronomers. Abbas and Shahzad [79] delved into the investigation of compact objects within the RGT system. Employing the KB ansatz, alongside the quintessence model, with or without its inclusion, they scrutinized the existence of these compact structures. Shamir and Malik [80] examined the characteristics of dense objects employing the KB ansatz which confirms the intrinsic structures of stars. They [81] used some matching condition of spherically symmetric space–time with Bardeen’s model as an exterior geometry and examined the physical behavior of anisotropic compact star in f(R) gravity using KB ansatz. Malik et al [82] studied the physical behavior of different stellar KB spheres in the presence of the MIT bag model. Bhar [83] introduced a novel hybrid star model incorporating both strange quark matter and conventional baryonic matter in the KB ansatz. Also, Rahaman et al [84] investigated the feasibility of utilizing the KB model to characterize ultra-stellar entities such as strange luminaries, analyzing the implications of employing expositions for modeling these exotic objects. Hossein et al [85] demonstrated the potential of generating compact formations from the cosmological constant, considering them as prime candidates for dark energy, while postulating the distinct configuration of KB geometry. Malik [86] investigated the behavior of charged compact stars in the modified f(Rφ) theory of gravity using KB ansatz. Salako et al [87] studied the existence of strange stars in the background of f(T, T) gravity in the Einstein spacetime geometry. Malik et al [88] explored the anisotropic stellar structures in the background of f(R) modified gravity using embedding approach. Salako et al [89] found solution sets by employing the methodology of conformal Killing vectors and MIT bag equation of state to the compact stars, considering that the stars are formed by strange quark. Malik et al [90] investigated the anisotropic compact objects within the framework of f(G) modified theory of gravity by utilizing KB ansatz. Naz et al [91] employed the well-famed Karmarkar condition along with the Finch–Skea ansatz for one of the metric potentials to observe the behavior of compact stars. Asghar et al [92] investigated a comprehensive analysis of relativistic embedded class-I exponential compact spheres in f(Rφ) gravity via the Karmarkar condition. Bhar et al [93] discussed the physical characteristics and maximum allowable mass of hybrid star in the context of f(Q) gravity. Asghar et al [94] explored some emerging properties of the stellar objects in the frame of the f(R, T) gravity by employing the well-known Karmarkar condition. Shamir et al [95] examined exponential-type models to investigate the pragmatic characteristics of different radiant entities by utilizing KB ansatz. Some related work on stellar objects and modified theories of gravity can be seen in [96104].
Motivated by the discussion in the above paragraphs, we aim to investigate key characteristics of compact star configurations within the framework of Rastall theory of gravity, employing the KB spacetime. The setup of our paper is as follows: section 2 provides detailed analysis of RGT structure, where we explicitly outline the field equations for a spherically symmetric spacetime. Section 3 is concerned with matching conditions for acquiring unknowns by evaluating the interior structure to Schwarzschild’s external geometry. In section 4, we derive the modified TOV for the RGT model. We provide the behavior of the compact spheres in section 5, which includes the equation of state, evolution of energy density and pressure, stability analysis, and adiabatic index. Lastly, we sum up the results in the concluding portion.

2. Formulation of Rastall’s theory of gravity

Rastall gravity provides a compelling framework for studying compact stars by relaxing the traditional energy-momentum conservation law of general relativity, which may not hold in the extreme gravitational fields present in such dense objects. This modification allows for a coupling between the matter distribution and spacetime geometry, leading to richer stellar models and insights into high-density physics. It is particularly useful in addressing phenomena like supermassive compact stars or deviations in mass–radius relationships that challenge standard theories. Moreover, Rastall’s gravity success in explaining certain cosmological phenomena, such as the accelerated expansion of the Universe, motivates its application to astrophysical systems, offering a unified perspective on deviations from general relativity across different scales. The EFE of RGT are defined as
$\begin{eqnarray}{R}_{\eta \zeta }-\frac{\xi }{2}{g}_{\eta \zeta }R=\kappa {T}_{\eta \zeta },\end{eqnarray}$
or it can also be written as
$\begin{eqnarray}{G}_{\eta \zeta }=8\pi \left[{T}_{\eta \zeta }-\frac{1-\xi }{16\pi }R{g}_{\eta \zeta }\right],\end{eqnarray}$
where κ represents the Newtons constant (we consider κ = 1 for our convenience), gηζ indicates the metric tensor, Rηζ represents the Ricci tensor, R signifies the Ricci scalar and ξ stands for the Rastall constant. As evident, the GR is recovered when ξ equals 1. By evaluating the trace of equation (2), we obtain $R=\frac{8\pi T}{1-2\xi },$ thus allowing us to express the EFE as follows:
$\begin{eqnarray}{G}_{\eta \zeta }=8\pi {T}_{\eta \zeta }-8\pi \omega T{g}_{\eta \zeta },\end{eqnarray}$
where $\omega =\frac{1-\xi }{2-4\xi }$ is known as the Rastall parameter. As a consequence of the Bianchi identity ∇ηGηζ = 0, the divergence to equation (3) results in
$\begin{eqnarray}{{\rm{\nabla }}}_{\eta }{T}^{\eta \zeta }=\omega {{\rm{\nabla }}}^{\zeta }T=\frac{1-\xi }{16\pi }{{\rm{\nabla }}}^{\zeta }\,R.\end{eqnarray}$
If ω equals 0, the conservation law of momentum is reinstated, returning RGT to GR. Since the Rastall parameter, ω is responsible for deviation from GR, it can vary depending on the specific astrophysical or cosmological context in which the theory is applied. In particular, this parameter can take different values in different situations, reflecting the theory’s flexibility in describing diverse gravitational phenomena [105, 106]. In General Relativity, the conservation of energy and momentum is strictly adhered to through the condition ∇ηTηζ = 0, which means that energy and momentum are locally conserved in all situations, without exception. In contrast, Rastall’s theory modifies this conservation law by allowing for a non-zero divergence of the energy-momentum tensor, expressed as: ∇ηTηζ = λRζ, where λ is the Rastall parameter. This modification implies that energy and momentum are not conserved in the traditional sense, but are instead linked to the curvature of spacetime. Essentially, the flux of energy-momentum can be ‘exchanged’with the geometry of spacetime, allowing for deviations from GR, particularly in high-energy or strong-field regimes. This adjustment introduces new dynamics, where matter and energy can behave differently, especially in astrophysical settings like compact stars. The theory offers a broader framework to explore gravitational phenomena, with the potential for different stability conditions in dense objects, such as neutron stars or other compact stellar structures. The energy-momentum tensor Tηζ is defined as
$\begin{eqnarray}{T}_{\eta \zeta }=(\rho +p){u}_{\eta }{u}_{\zeta }+p{g}_{\eta \zeta },\end{eqnarray}$
where ρ and p represent the energy density and the pressure component respectively. Also uη and ${{ \mathcal X }}_{\eta }$ are four velocity vectors. Rastall gravity differs from other modified gravity theories in the context of compact stars by directly altering the conservation law of the energy-momentum tensor rather than modifying the gravitational action or introducing additional fields. While many theories, such as f(R) gravity or scalar-tensor theories, modify Einstein’s field equations by adding higher-order curvature terms or scalar fields to the action, Rastall gravity keeps the field equations structurally similar to general relativity but introduces a non-zero divergence of the energy-momentum tensor that is proportional to the gradient of the Ricci scalar. This approach allows Rastall gravity to address strong gravitational effects and matter interactions in compact stars without requiring exotic fields or modifications to the standard energy conditions. Its simplicity and focus on energy-momentum conservation make it particularly suited for exploring the high-density regimes of compact stars, offering an alternative way to model deviations from general relativity. To examine the behavior of stellar structures, we consider a static spherically symmetric spacetime as
$\begin{eqnarray}{\rm{d}}{s}^{2}={{\rm{e}}}^{2\nu (r)}{{\rm{d}}t}^{2}-{{\rm{e}}}^{2\lambda (r)}{{\rm{d}}r}^{2}-{r}^{2}({{\rm{d}}\theta }^{2}+{\sin }^{2}\theta {{\rm{d}}\phi }^{2}).\end{eqnarray}$
Here ν and λ are only the functions of r. For our current work, we prefer the KB ansatz for formulating the field equations. The KB ansatz was selected due to its proven ability to yield exact solutions in general relativistic field equations, particularly for describing anisotropic stellar models. One key advantage of this ansatz is its capacity to provide physically meaningful and regular solutions that satisfy important conditions like finite central pressures and densities and match smoothly with the exterior Schwarzschild solution at the boundary. Moreover, the KB ansatz is known to avoid singularities at the center of the configuration, ensuring physical consistency in high-density regions, which is crucial for modeling compact objects like neutron stars. Compared to other approaches, which might rely on numerical methods or more complex analytical models, the KB ansatz balances mathematical tractability and physical realism. It allows for closed-form solutions that are useful for understanding the qualitative behavior of the system without the need for extensive computational resources. In contrast, while more generalized models may allow for a wider range of physical conditions, they often lack the simplicity and elegance of exact solutions provided by this ansatz. Hence, its application ensures both computational efficiency and the preservation of key physical characteristics, making it a robust choice for this study. Now, we define the KB ansatz [107] as
$\begin{eqnarray}\nu (r)=B{r}^{2}+C,\,\,\,\lambda (r)=A{r}^{2},\end{eqnarray}$
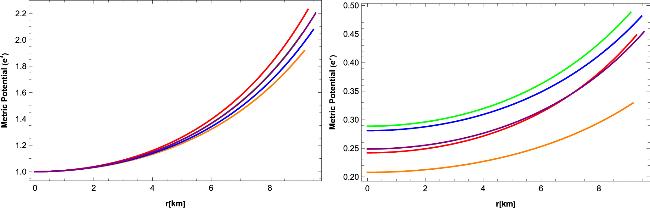
where A, B and C are unknowns. This ansatz provides a convenient framework for modeling the interior solutions of compact astrophysical objects, such as neutron stars or other dense stellar remnants. The KB ansatz is known for yielding exact, physically realistic solutions that respect the necessary conditions of causality and stability. By adopting this ansatz, one can obtain analytical solutions that facilitate the understanding of the properties and behavior of such compact objects under extreme conditions. Most importantly, KB ansatz involves well-behaved metric functions and is completely free from any singularity, this is the main reason behind the choice of the KB ansatz in the present work to study stellar structures in the framework of Rastall’s theory of gravity. Various investigators used this ansatz to classify stellar structures in GR and modified gravitational theories [8395]. Furthermore, the metric potential at the center is supposed to be realistic, i.e., eλr=0 = 1 and eνr=0 = eC,  also, ${({{\rm{e}}}^{\lambda })}^{{\prime} }=2A{{\rm{e}}}^{A{r}^{2}}r$ and ${({{\rm{e}}}^{\nu })}^{{\prime} }=2B{{\rm{e}}}^{C+B{r}^{2}}r.$
The graphical analysis of metric potentials can be seen in figure 1, revealing that the metric potentials exhibit physically stable behavior. Now, considering the spacetime (6) along with the energy-momentum tensor (5), RGT field equations (3) are as follows:
$\begin{eqnarray}-\displaystyle \frac{{{\rm{e}}}^{-2\lambda }}{{r}^{2}}+\displaystyle \frac{1}{{r}^{2}}+\displaystyle \frac{2{{\rm{e}}}^{-2\lambda }{\lambda }^{^{\prime} }}{r}=8\pi \omega (\rho -3p)+8\pi \rho ,\end{eqnarray}$
$\begin{eqnarray}-\displaystyle \frac{{{\rm{e}}}^{-2\lambda }}{{r}^{2}}+\displaystyle \frac{1}{{r}^{2}}-\displaystyle \frac{2{{\rm{e}}}^{-2\lambda }{\nu }^{^{\prime} }}{r}=8\pi \omega (\rho -3p)+8\pi p,\end{eqnarray}$
$\begin{eqnarray}\begin{array}{l}{{\rm{e}}}^{-2\lambda }{\lambda }^{{\prime} }{\nu }^{{\prime} }+\displaystyle \frac{{{\rm{e}}}^{-2\lambda }{\lambda }^{^{\prime} }}{r}-{{\rm{e}}}^{-2\lambda }{\nu }^{{\prime\prime} }\\ \quad \times -{{\rm{e}}}^{-2\lambda }{\nu {}^{^{\prime} }}^{2}-\displaystyle \frac{{{\rm{e}}}^{-2\lambda }{\nu }^{^{\prime} }}{r}=8\pi \omega (\rho -3p)+8\pi p.\end{array}\end{eqnarray}$
Moreover, after solving equations (8) and (9), we get
$\begin{eqnarray}\displaystyle \frac{2}{r}{{\rm{e}}}^{-2\lambda }({\nu }^{{\prime} }+{\lambda }^{{\prime} })=8\pi (\rho +p).\end{eqnarray}$
Rastall’s theory, which modifies the conservation laws of general relativity, provides a compelling framework for exploring alternative gravitational effects in compact star configurations. However, it is not without theoretical and astrophysical limitations. Theoretically, Rastall’s theory introduces an additional parameter, the Rastall parameter, which lacks a clear consensus on its physical interpretation. This makes it challenging to directly compare results with observations or other gravitational theories without constraining this parameter. Moreover, the non-conservation of energy-momentum in its traditional form could raise questions about the fundamental principles underlying the theory. Astrophysically, Rastall’s theory has limited observational constraints, which restricts its applicability to accurately model compact stars. While it can effectively describe modifications to stellar structures, the lack of direct astrophysical evidence for deviations from standard energy-momentum conservation creates uncertainty in its broader acceptance and applicability.
Figure 1. Plots of metric potentials (grr and gtt) from left to right for S1 (), S2 (), S3 (), S4 (), S5 ().
The initial assumptions of isotropic symmetry and the Krori–Barua ansatz may limit the general applicability of the results to certain types of compact stars. Isotropic symmetry assumes equal radial and tangential pressures, which may not hold in anisotropic stars where pressure anisotropy plays a significant role in their structure and stability. Similarly, the Krori–Barua ansatz provides a specific metric form for modeling the spacetime geometry, which, while effective for certain compact objects, might not capture the full range of physical scenarios or geometries associated with other stellar configurations. Therefore, while these assumptions allow for analytically tractable models, the results may need to be extended or modified to account for more general cases, such as anisotropic stars or stars with non-standard equations of state.

3. Matching conditions

The Schwarzschild geometry is regarded as the most important option for selecting multiple junction conditions while exploring stellar structures. When we come across modified TOV solutions [2, 3] having density and zero pressure, the exterior geometry results in modified gravitational systems that may deviate from the Schwarzschild geometry. The Schwarzschild configuration could be met in RGT gravity, although, by assuming a feasible RGT model for non-zero density and pressure. As a result, the Birkhoff theorem is not fulfilled in modified theories of gravity [108]. Many researchers have explored matching parameters and achieved acceptable results using the Schwarzchild geometry [109111]. To investigate the EFE with the limited constraint at r = R,  we can match the inner boundary with the exterior Schwarzschild geometry, defined by
$\begin{eqnarray}\begin{array}{rcl}{\rm{d}}{s}^{2} & = & \left(1-\frac{2M}{r}\right){{\rm{d}}t}^{2}-{\left(1-\frac{2M}{r}\right)}^{-1}{{\rm{d}}r}^{2}\\ & & -\,{r}^{2}({{\rm{d}}\theta }^{2}+{\sin }^{2}\theta {{\rm{d}}\phi }^{2}),\end{array}\end{eqnarray}$
where M exhibits the mass of the compact object. The model parameters can be calculated at r = R by imposing the following:
$\begin{eqnarray}{{g}_{rr}}^{+}={{g}_{rr}}^{-},\,\,{{g}_{tt}}^{+}={{g}_{tt}}^{-},\,\,\frac{\partial {{g}_{tt}}^{+}}{\partial r}=\frac{\partial {{g}_{tt}}^{-}}{\partial r}.\end{eqnarray}$
Here, (+) and (−) denote the exterior and interior geometry. Thus, the parameters of A, B and C, are obtained with the help of equations (6), (12) and (13) are as follows:
$\begin{eqnarray}\begin{array}{rcl}A & = & \displaystyle \frac{1}{{R}^{2}}\mathrm{ln}\left[\displaystyle \frac{R}{R-2M}\right],\\ B & = & \displaystyle \frac{M}{{R}^{2}(R-2M)},\,\,C=\mathrm{ln}\left[\displaystyle \frac{R-2M}{R{{\rm{e}}}^{B{R}^{2}}}\right].\end{array}\end{eqnarray}$
Table 1 yields the constants A, B, and C concerning the mass and radius of the selected stellar structures. For our current work, we have considered five distinct stellar structures, namely 4U 1820-30 (mass is approximately 1.58 times the mass of the Sun and radius estimated to be around 9 kilometers), Cen X-3 (mass is 1.49 times the mass of the Sun and radius is around 9 kilometers), 4U 1608-52 (roughly 1.74 times the mass of the Sun and radius of 9.3 kilometers), PSR J1903+327 (approximately 1.67 times the mass of the Sun and radius 9.4 kilometers), and Vela X-1 (around 1.77 times the mass of the Sun and radius 9.56 kilometers).
Table 1. The values of the unknowns of Krori–Barua ansatz for compact stars.
StarModel M(MΘ) R(km) A(km−2) B(km−2) C
4U1820 − 30 (S1) () 1.58 ± 0.06 [112] 9.1 ± 0.10 0.00866 0.00633 −1.24246

CenX − 3 (S2) () 1.49 ± 0.08 [113] 9.178 ± 0.13 0.00773 0.00545 −1.57043

4U1608 − 52 (S3) () 1.74 ± 0.14 [114] 9.3 ± 1.0 0.00927 0.00711 −1.41825

PSRJ1903 + 327 (S4) () 1.667 ± 0.021 [113] 9.438 ± 0.03 0.00813 0.00599 −1.26988

VelaX − 1 (S5) () 1.77 ± 0.08 [113] 9.56 ± 0.08 0.00864 0.00658 −1.39136

4. Modified TOV equation

In this section, we provide the modified TOV equation in the context of RTG. It is important to note that when the cosmic matter maintains hydrostatic equilibrium, the time coordinate doesn’t change, i.e. T00 = ρ0 and T11 = T22 = T33 = − p0.  The modified TOV equation in the context of Rastall gravity arises from the theory’s fundamental deviation from general relativity, where the energy-momentum tensor is not strictly conserved but instead exchanges energy with spacetime geometry through the Rastall parameter (λ). This modification introduces additional terms in the gravitational field equations, altering the interplay between matter and spacetime curvature. In stellar models, these changes affect the equilibrium conditions by modifying the gravitational pull, pressure gradient, and the role of matter contributions. The result is a TOV equation that incorporates corrections linked to the non-conservation of energy-momentum and the Ricci scalar, which depends on the matter distribution and the Rastall parameter. This modified equation reflects a more intricate balance of forces, influencing the internal structure, mass, and radius of stars while offering potential observational signatures that distinguish Rastall gravity from general relativity. With these settings and considering equation (4) with radial index, we get
$\begin{eqnarray}\displaystyle \frac{{\rm{d}}{p}_{0}}{{\rm{d}}r}=-({\rho }_{0}+{p}_{0}){\nu }_{0}^{{\prime} }-\omega ({\rho }_{0}^{{\prime} }-3{p}_{0}^{{\prime} }),\end{eqnarray}$
and equations (8), (9) and (11) provide
$\begin{eqnarray}\displaystyle \frac{{\rm{d}}}{{\rm{d}}r}(r{{\rm{e}}}^{-2{\lambda }_{0}})=1-8\pi {r}^{2}{\rho }_{0}+8\pi \omega {r}^{2}({\rho }_{0}-3{p}_{0}),\end{eqnarray}$
$\begin{eqnarray}\displaystyle \frac{2}{r}{{\rm{e}}}^{-2{\lambda }_{0}}{\nu }_{0}^{{\prime} }=\displaystyle \frac{1-{{\rm{e}}}^{-2{\lambda }_{0}}}{{r}^{2}}+8\pi {p}_{0}+8\pi \omega ({\rho }_{0}-3{p}_{0}),\end{eqnarray}$
$\begin{eqnarray}\frac{2}{r}({\nu }_{0}^{{\prime} }+{\lambda }_{0}^{{\prime} })=8\pi ({\rho }_{0}+{p}_{0}).\end{eqnarray}$
By integrating equation (16), we get
$\begin{eqnarray}{{\rm{e}}}^{-2{\lambda }_{0}}=1-\displaystyle \frac{2m}{r}.\end{eqnarray}$
Here m(r) represents the gravitational mass enclosed inside a spherical object of radius r, defined as
$\begin{eqnarray}m(r)=4\pi {\int }_{0}^{r}{\bar{r}}^{2}{\rho }_{0}(\bar{r}){\rm{d}}\bar{r}-4\pi \omega {\int }_{0}^{r}{\bar{r}}^{2}[{\rho }_{0}(\bar{r})-3{p}_{0}(\bar{r})]{\rm{d}}\bar{r},\end{eqnarray}$
where m(r) can be expressed as the sum of mρ and meff that represents the conventional mass well-known in GR, and an additional effective mass resulting from the refinement of EFE. It can be noticed that the RGT adds extra mass, ultimately revising the radial equilibrium of a compact configuration. As anticipated, when ω equals 0, we revert to the standard formulation derived in GR. Manipulating equations (17) and (19), we get
$\begin{eqnarray}\frac{{\rm{d}}{\nu }_{0}}{{\rm{d}}r}=\Space{0ex}{0.25ex}{0ex}[\frac{m}{{r}^{2}}+4\pi r{\rho }_{0}+4\pi \omega r\left({\rho }_{0}-3{p}_{0}\right)\Space{0ex}{0.25ex}{0ex}]{\left(1-\frac{2m}{r}\right)}^{-1}.\end{eqnarray}$
Therefore, assuming equations (15), (20), and (21), the modified TOV equations turn out to be
$\begin{eqnarray}\frac{{\rm{d}}m}{{\rm{d}}r}=4\pi {r}^{2}\rho -4\pi {r}^{2}(p-3p),\end{eqnarray}$
$\begin{eqnarray}\begin{array}{l}\frac{{\rm{d}}p}{{\rm{d}}r}=-\frac{\rho +p}{1-3\omega }\Space{0ex}{0.25ex}{0ex}[\frac{m}{{r}^{2}}+4\pi r\rho +4\pi \omega r(\rho -3p)\Space{0ex}{0.25ex}{0ex}]\\ \,\times {\left(1-\frac{2m}{r}\right)}^{-1}-\frac{\omega }{1-3\omega }\frac{{\rm{d}}\rho }{{\rm{d}}r},\end{array}\end{eqnarray}$
$\begin{eqnarray}\displaystyle \frac{{\rm{d}}\nu }{{\rm{d}}r}=-\displaystyle \frac{1-3\omega }{\rho +p}\displaystyle \frac{{\rm{d}}p}{{\rm{d}}r}-\displaystyle \frac{\omega }{\rho +p}\displaystyle \frac{{\rm{d}}\rho }{{\rm{d}}r}.\end{eqnarray}$
Here we have omitted the index zero as all factors pertaining to the condition of hydrostatic equilibrium. The modifications to the TOV equations in Rastall gravity have profound implications for compact stars. They suggest that compact stars could support larger masses and be more compact than in GR, potentially explaining observations of massive neutron stars and offering new insights into the nature of dense matter.

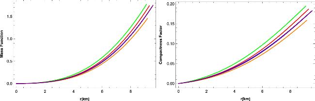
4.1. Mass–radius function, compactness factor and surface redshift

From equations (8)–(10), density and pressure can be framed as a function of radial coordinates. Now, replacing the reformulated density and pressure from (8)–(10) in equation (22), we evaluate the mass function of the compact star of the form
$\begin{eqnarray}\begin{array}{l}m(r)=\displaystyle \frac{1}{32{A}^{5/2}(2\beta -1)}\\ \,\times ({{\rm{e}}}^{-2A{r}^{2}}(4\sqrt{A}r\left(2{A}^{2}\left(2(\beta -1){{\rm{e}}}^{2A{r}^{2}}-5\beta +6\beta B{r}^{2}+2\right)\right.\\ \quad \left.\,-3A\beta B\left(4B{r}^{2}+5\right)-9\beta {B}^{2}\right)\\ \,+\,3\sqrt{2\pi }\beta (A+B)(2A+3B){{\rm{e}}}^{2A{r}^{2}}\,\rm{Erf}\,[\sqrt{2}\sqrt{A}r)]))+{\theta }_{1},\end{array}\end{eqnarray}$
where r is the upper limit of the integration and $\mathrm{Erf}\left[\sqrt{2}\sqrt{A}r\right)]$ is called an error function which is equal to $\tfrac{3}{\sqrt{\pi }}{\int }_{0}^{r}{{\rm{e}}}^{-{x}^{2}}$. For minimality, let θ1 describe the expression denoting the lower limit of integration in the determined integrating function i.e. θ1 = 4πr2ρ(0) − 4πr2(p(0) − 3p(0)).  It is important to mention here that the mass function given by equation (25) is obtained by imposing the KB ansatz. Also, the mathematical version of the compactness metric U(r) is provided as [115]
$\begin{eqnarray}{ \mathcal U }(r)=\frac{m(r)}{r}.\end{eqnarray}$
The surface redshift function Zs [116] is described as
$\begin{eqnarray}{Z}_{s}=\frac{1}{\sqrt{1-2U(r)}}-1.\end{eqnarray}$
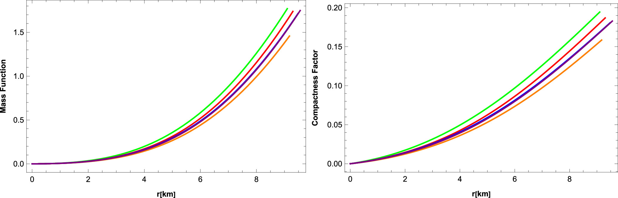
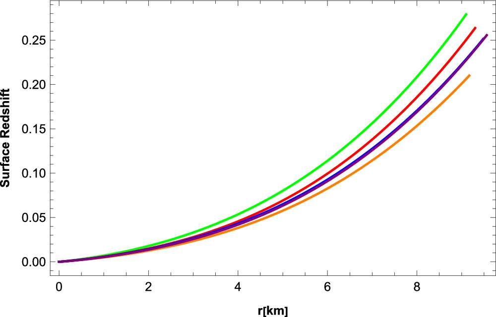
We choose the different values of ω for the behavior of the mass–radius function, compactness factor, and surface redshift such as ω = 0.1769 for S1, ω = 0.1869 for S2, ω = 0.177 for S3ω = 0.1799 for S4 and ω = 0.1784 for S5. It is worthwhile to mention here that for all these chosen values of ω, the mass remains positive. As shown in the left panel of figure 2, the graphical depiction of the mass function shows an increasing behavior as we approach the boundary, indicating uniform mass distribution at the center i.e., m(r) → 0. The right panel of figure 2 illustrates the evolution of compactness for the specific star models, showing a corresponding increase in compactness with varying radii. Also, figure 3 presents the surface redshift, demonstrating a similar increasing trend with changes in radii. While both the surface redshift Zs and compactness U(r) fall within acceptable ranges, the observed trend suggests accretion around the star model in this modified scenario. Here we have discussed the mass mass–radius function, compactness factor, and surface redshift. These fundamental parameters offer crucial insights into the physical properties of compact stars, but an expanded discussion of their implications could enhance the work. Comparing these theoretical results with observational data on compact objects like neutron stars and white dwarfs is essential for validating the model. For example, observed mass–radius relationships from pulsar timing, gravitational waves (as seen in neutron star mergers), or x-ray observations (such as x-ray bursters) could provide benchmarks for testing the accuracy of the model.
Figure 2. Plots of mass function m(r), and compactness factor U(r) for S1 (), S2 (), S3 (), S4 (), S5 ().
Figure 3. Plots of surface redshift function Zs for S1 (), S2 (), S3 (), S4 (), S5 ().
Incorporating the effects of Rastall gravity on the observational characteristics of compact stars, such as mass–radius relations, would significantly enhance the manuscript’s relevance to observational astrophysics. Rastall gravity introduces modifications to the stellar structure equations, particularly the TOV equation, through its coupling between the matter-energy distribution and spacetime geometry. These changes can alter the pressure and density profiles within compact stars, leading to deviations in their equilibrium configurations compared to predictions from general relativity. As a result, the maximum mass, radius, and compactness of objects like neutron stars and strange stars could shift, potentially aligning better with or diverging from astrophysical observations. Exploring these effects in detail and comparing the modified mass–radius relations with observational data from pulsars or gravitational wave detections would provide a deeper understanding of how Rastall gravity manifests in nature, thus bridging theoretical models with measurable phenomena.

5. Physical characteristics of Rastall’s theory of gravity

In this section, we will discuss the graphical analysis of energy density, pressure components, equation of state parameters, stability analysis, adiabatic index, and energy conditions, respectively.

5.1. Energy density and pressure progression

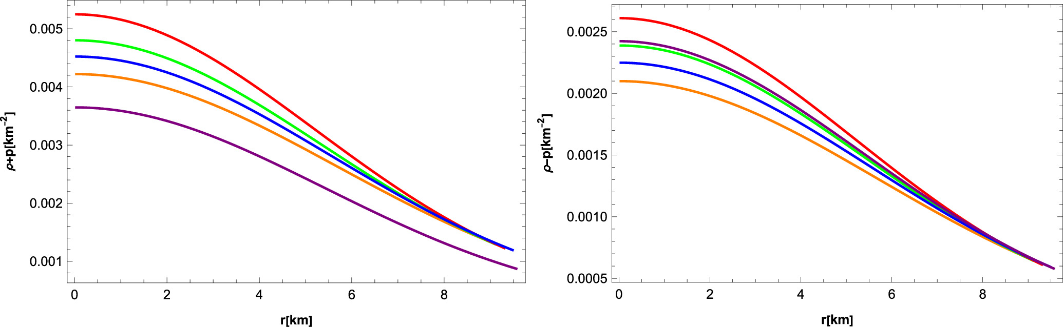
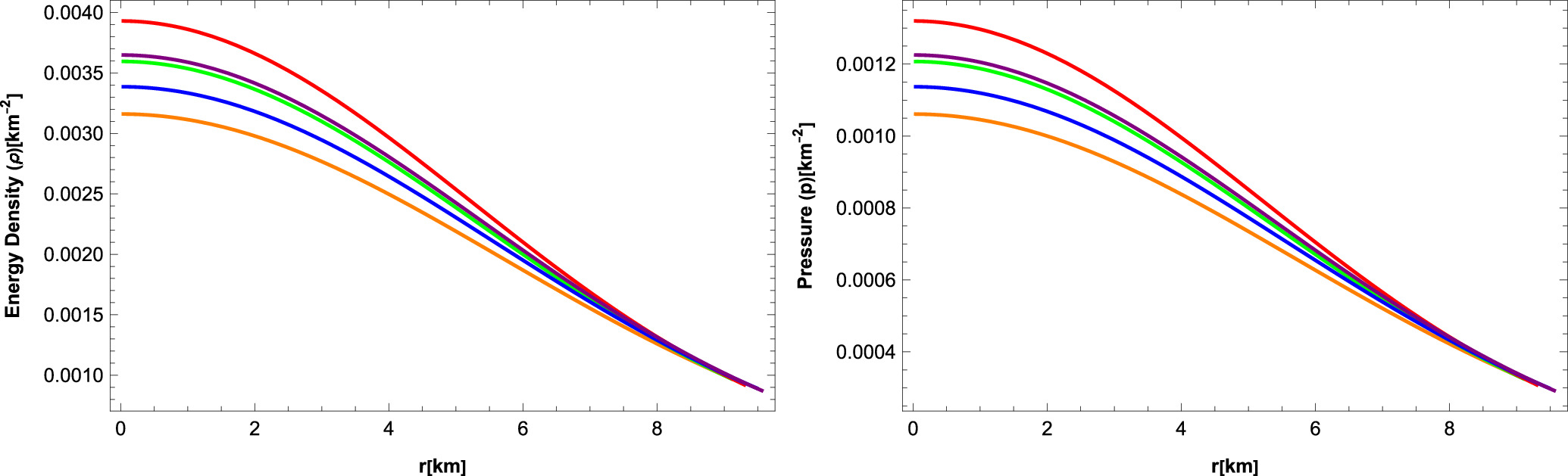
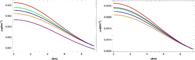
Here, we investigate the graphical behaviors of density and pressure components in the context of the RGT model. Figure 4 reveals the graphical analysis of ρ is maximum at the center of the star. The trends of density indicate a significant level of compactness in the core of the star, indicating that our model is achievable for the area outside the core. A similar graphical behavior of p may be observed in figure 4, which is maximum at the core and decreases when we move towards the boundary of the star.
Figure 4. Plots of energy density (ρ) and pressure (p) for S1 (), S2 (), S3 (), S4 (), S5 ().
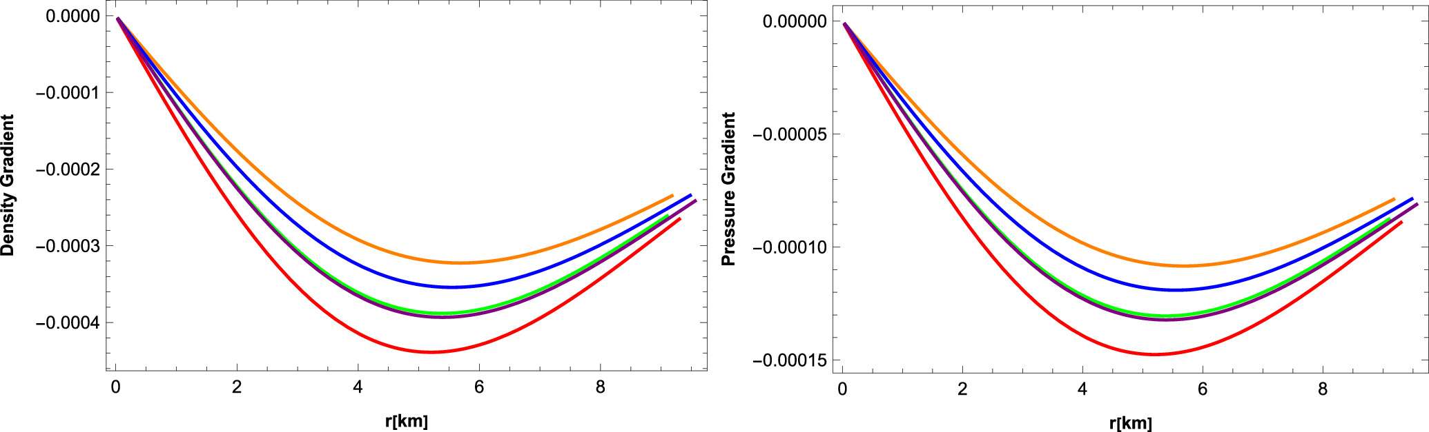
Additionally, the negative gradients of $\frac{{\rm{d}}\rho }{{\rm{d}}r}$ and $\frac{{\rm{d}}p}{{\rm{d}}r}$ further validate the robustness of our results. Notably, all necessary conditions are fulfilled, as demonstrated by the behavior of the energy density and pressure curves in figure 5.
Figure 5. Behavior of density gradient (dρ/dr) and pressure gradient (dp/dr) for S1 (), S2 (), S3 (), S4 (), S5 ().

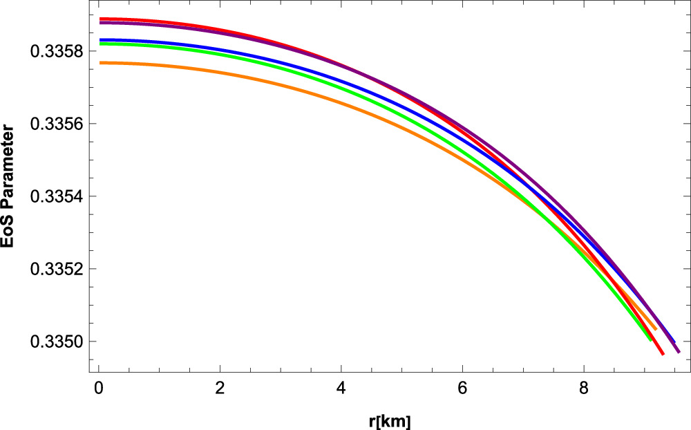
5.2. Equation of state

Numerous EoS have been proposed in the literature. It is important to note that realistic EoS models for neutron stars are significantly more complex, incorporating detailed considerations of nuclear interactions, relativistic effects, and the various phases of matter present at ultra-high densities. These sophisticated EoS models are essential for accurately predicting neutron star properties, such as the mass–radius relationship, and are constrained by observational data. However, a linear EoS provides a simplified framework for understanding pressure–density relations, albeit lacking the complexity needed to capture the detailed structure of neutron star interiors and their observable characteristics. For our current analysis, we adopt a simple linear EoS, characterized as:
$\begin{eqnarray}\varpi =\frac{p}{\rho }.\end{eqnarray}$
The graphical representation in figure 6 clearly demonstrates that 0 < ϖ < 1. These conditions confirm the viability of the compact stars within the framework of the assumed RGT model.
Figure 6. Evolution of EoS (ϖ) Parameter for S1 (), S2 (), S3 (), S4 (), S5 ().

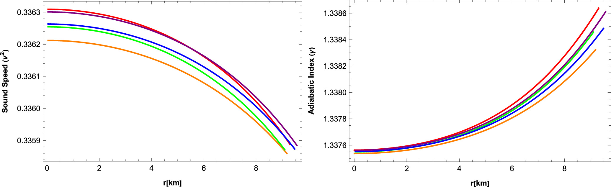
5.3. Stability analysis

The stability of stellar structures is a crucial condition in the study of stars. To assess this stability, we consider the sound speed, v2, which plays a key role in the analysis. The sound speed is defined as:
$\begin{eqnarray}{v}^{2}=\displaystyle \frac{{\rm{d}}p}{{\rm{d}}\rho }.\end{eqnarray}$
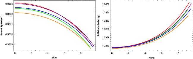
According to Herrera’s criterion [117], the sound speed must lie within the range 0 ≤ v2 ≤ 1. The left panel of figure 7 shows the graphical behavior of the sound speed, which decreases and remains within the specified bounds. This confirms that the stellar structures under consideration are stable. The stability analysis of our proposed model is comprehensive and confirms the robustness of the compact star configurations. However, as suggested, a discussion of potential limitations or conditions that could affect stability is valuable. The stability of these configurations may be sensitive to variations in certain parameters within the Rastall gravity framework, such as deviations in the EoS parameters, energy density, or pressure gradients.
Figure 7. Illustration of sound speed (v2) and adiabatic index (γ) for S1 (), S2 (), S3 (), S4 (), S5 ().

5.4. Adiabatic index

The analysis of a compact star’s stability through the adiabatic index is a critical aspect of stellar structure. Hillebrandt and Steinmetz [118] introduced an important parameter known as the adiabatic index, γ, which is defined as:
$\begin{eqnarray}\gamma =\frac{\rho +p}{p}{v}^{2}.\end{eqnarray}$
The graphical analysis of the adiabatic index, γ, is presented in the right panel of figure 7. It is evident that all curves remain above 4/3, indicating that the solutions with γ > 4/3 satisfy the stability criteria based on the adiabatic index, as outlined by Herrera [119]. This result supports the stability argument within the framework of GR.

5.5. Energy conditions

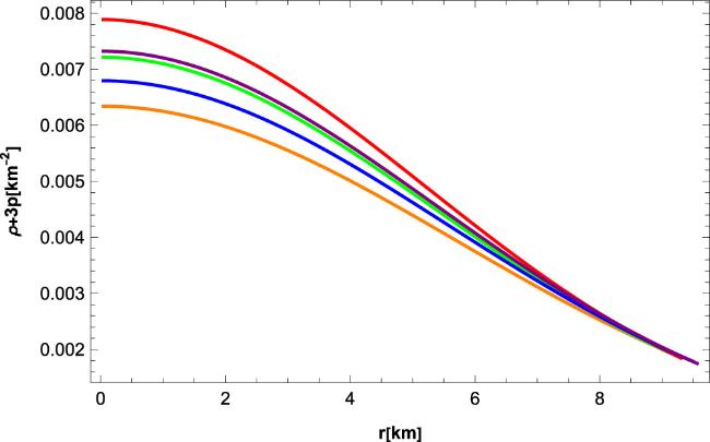
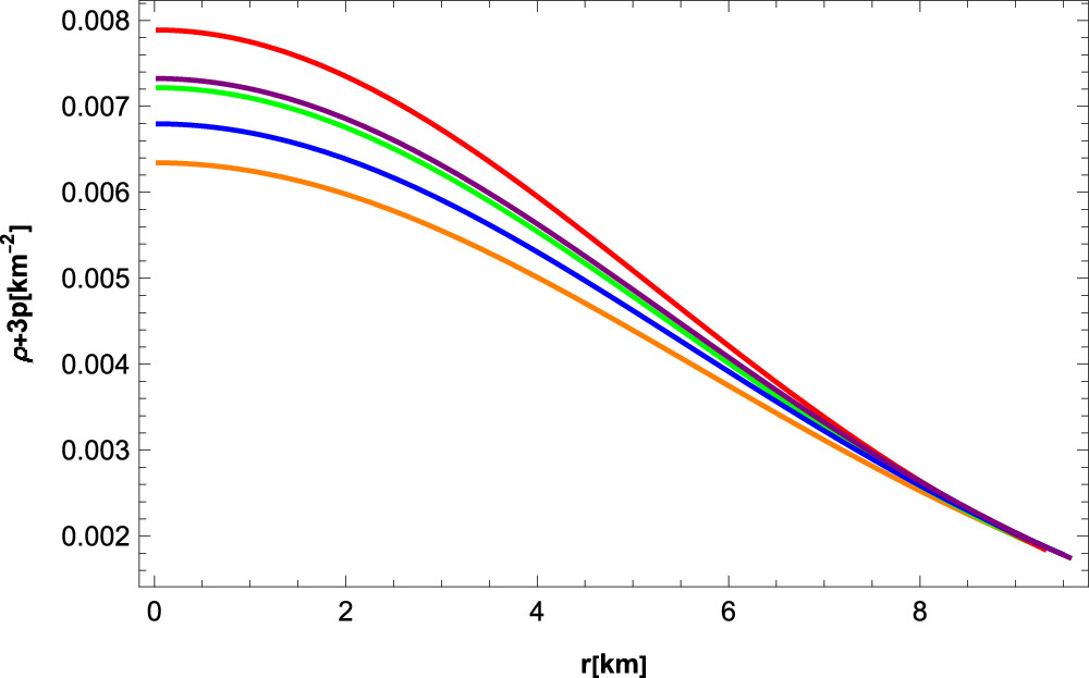
Energy conditions play a crucial role in verifying the physical viability of our stellar models. These conditions are categorized into four types: the dominant energy condition (DEC), the null energy condition (NEC), the weak energy condition (WEC), and the strong energy condition (SEC). Each of these conditions serves to ensure that the energy distribution within the star aligns with fundamental physical principles, confirming the feasibility of the stellar structure, which are as follows
$\begin{eqnarray*}\mathrm{WEC}:\rho \geqslant 0,\rho +p\geqslant 0,\end{eqnarray*}$
$\begin{eqnarray*}\mathrm{DEC}:\rho \geqslant 0,\rho \pm -p\gt 0,\end{eqnarray*}$
$\begin{eqnarray*}\mathrm{SEC}:\rho +p\geqslant 0,\rho +3{p}_{r}\geqslant 0.\end{eqnarray*}$
Figures 8 and 9 illustrate that all energy conditions are satisfied, indicating that the stellar models under consideration are both viable and stable.
Figure 8. Evolution of energy conditions for S1 (), S2 (), S3 (), S4 (), S5 ().
Figure 9. Evolution of energy conditions for S1 (), S2 (), S3 (), S4 (), S5 ().

6. Conclusion

The aim of this study is to explore the fundamental properties of compact structures using the viable RGT model. To achieve this, we adopt the KB model function, where ν(r) = Br2 + C and λ(r) = Ar2, with A, B, and C as unknown constants. By employing the EFE, we derive the modified TOV equation to describe hydrostatic equilibrium. Additionally, we compute the relevant parameters by matching the internal boundary conditions with the external Schwarzschild geometry. We then evaluate various physical parameters of cosmic configurations to assess the stability of the proposed model. To comprehensively assess the robustness and applicability of the Rastall gravity model, it is crucial to investigate its behavior under extreme astrophysical conditions, such as in highly magnetized neutron stars and quark stars. These dense objects, characterized by intense gravitational fields and extreme densities, may reveal unique stability conditions due to the modification of energy-momentum conservation inherent in Rastall gravity. For instance, the interaction between strong magnetic fields and the modified gravitational dynamics could lead to new equilibrium configurations not predicted by traditional models. Additionally, quark stars, composed of quark matter, may exhibit behaviors that challenge current understandings of stellar physics. Therefore, exploring these scenarios could provide valuable insights into the predictive power of Rastall gravity in describing compact objects and advance our understanding of fundamental gravitational phenomena. The primary goal is to identify a suitable class of RGT theories with isotropic matter distribution. A brief summary of the work is provided as follows:

Metric potentials are essential for characterizing the properties of spacetime. Figure 1 shows that the functions gtt = eν and grr = eλ produce singularity-free plots, adhering to all necessary constraints, such that eν(r=0) = eK and eλ(r=0). These results indicate that the metric potentials behave regularly and satisfy the required boundary conditions at the center of the star.

Figures 2 and 3 illustrate a consistent upward trend in the mass function, compactness parameter, and surface redshift. This behavior reflects the expected increase in these quantities as we move outward from the center of the star, supporting the overall consistency and viability of the model.

The graphical trends of the density (ρ) and pressure (p) in the evaluated model are shown in figure 4. These plots indicate that both ρ and p reach their maximum values at the core and gradually decrease towards the boundary. Additionally, figure 5 presents the graphical analysis of the gradients of ρ and p, which are zero at the core and then become negative, exhibiting a decreasing behavior as one moves outward from the center of the star.

The graphical representation of the EoS parameter satisfies the condition 0≤ϖ≤1, ensuring that the stellar model behaves appropriately, which is demonstrated in figure 6.

The sound velocity component v2 satisfies the required range of [0, 1] for the RGT model, as depicted in figure 7. Furthermore, the graphical plot of the adiabatic index remains greater than 4/3, as also shown in figure 7, indicating that the model under consideration is stable.

Figures 8 and 9 illustrate the energy conditions corresponding to the chosen RGT model. It is important to highlight that the stellar configurations under consideration satisfy all the necessary criteria for viability and stability, confirming the robustness of the model.

In a nutshell, we can assert that our current study meets all the previously discussed physical properties and demonstrates a stable consistency for isotropic cosmic configurations. It can also be concluded that our results agree with the findings of [17]. Specifically, both studies demonstrate that the stability of compact star configurations is enhanced within modified gravitational frameworks. In [17], the authors explored similar stellar structures under a different gravitational modification, and like our work, their analysis confirmed the viability and stability of compact stars in such alternative theories. The close agreement between our findings and those of [17] reinforces the robustness of our model and further supports the potential of modified gravity theories, such as Rastall’s, in describing the behavior and stability of dense astrophysical objects. Moreover, our results also agree with the slowly rotating charged Bardeen stellar structure [18].

Conflict of interest

The authors have declared that they have no interest in conflict.

The author, FM, expresses her gratitude to Princess Nourah bint Abdulrahman University Researchers Supporting Project No. (PNURSP2025R27), Princess Nourah bint Abdulrahman University, Riyadh, Saudi Arabia.

1
Schwarzschild K 2008 On the gravitational field of a sphere of incompressible liquid, according to Einstein’s theory The Abraham Zelmanov Journal 1 10 19

2
Tolman R C 1939 Static solutions of Einstein’s field equations for spheres of fluid Phys. Rev. 55 364

DOI

3
Oppenheimer J R, George M V 1939 On massive neutron cores Phys. Rev. 55 374

DOI

4
Baade W, Fritz Z 1934 Remarks on super-novae and cosmic rays Phys. Rev. 46 76

DOI

5
Malik A et al 2024 Discussion of singularity-free embedding stellar structures in f(R) gravity utilizing scalar potential Int. J. Geom. Meth. Mod. Phys. 21 2450186

DOI

6
Delgaty M S R, Lake K 1998 Physical acceptability of isolated, static, spherically symmetric, perfect fluid solutions of Einstein’s equations Comput. Phys. Commun. 115 395 415

DOI

7
Malik A et al 2024 Anisotropic strange quintessence stars in modified f(Rφ) theory of gravity Int. J. Geom. Meth. Mod. Phys. 21 2440003 321

DOI

8
Mardan S A et al 2023 Spherically symmetric generating solutions in f(R) theory Eur. Phys. J. Plus 138 782

DOI

9
Yousaf Z et al 2023 Stability of anisotropy pressure in self-gravitational systems in f(G) gravity Axioms 12 257

DOI

10
Rahman S, Visser M 2002 Spacetime geometry of static fluid spheres Class. Quantum Grav. 19 935

DOI

11
Gorini V et al 2008 Tolman-Oppenheimer-Volkoff equations in the presence of the Chaplygin gas: stars and wormholelike solutions Phys. Rev. D 78 064064

DOI

12
Malik A 2024 Charged stellar structure with Krori-Barua potentials in f(RφX) gravity admitting Chaplygin equation of state Int. J. Geom. Meth. Mod. Phys. 21 8 2450157-22

13
Malik A et al 2024 Singularity-free anisotropic compact star in f(Rφ) gravity via Karmarkar Condition Int. J. Geom. Meth. Mod. Phys. 21 2450018

DOI

14
Bhar P et al 2024 Impact of f(Q) gravity on anisotropic compact star model and stability analysis Chin. J. Phys. 88 839 856

DOI

15
Herrera L, Di Prisco A 2018 Self-similarity in static axially symmetric relativistic fluids Int. J. Mod. Phys. D 27 1750176

DOI

16
Malik A et al 2024 Physically viable solutions of anisotropic hybrid stars in f(T) gravity: an embedding approach Eur. Phys. J. Plus 139 587

DOI

17
Malik A, Shamir M F 2024 Exact perfect fluid interior solutions and slowly rotating relativistic stars Eur. Phys. J. Plus 139 448

DOI

18
Malik A et al 2025 Slowly rotating charged Bardeen stellar structure New Astron. 114 102314

DOI

19
Boonserm P et al 2007 Solution generating theorems for the Tolman-Oppenheimer-Volkov equation Phys. Rev. D 76 044024

DOI

20
Naz T et al 2024 Anisotropic quark stars in modified f(R, T) gravity utilizing Tolman V potential Int. J. Theor. Phys. 63 148

DOI

21
Malik A 2024 Impact of Tolman-Kuchowicz potentials on Gauss-Bonnet gravity and isotropic stellar structures Chin. J. Phys. 90 463473

DOI

22
Malik A et al 2024 Relativistic configurations of Tolman Stellar structures in Gauss-Bonnet gravity Int. J. Geom. Meth. Mod. Phys. 21 2450091-321

DOI

23
Malik A et al 2023 Stellar structure modeling in Ricci-inverse gravity with Tolman–Kuchowicz spacetime Chin. J. Phys. 86 391 401

DOI

24
Naz T et al 2023 Relativistic configurations of Tolman stellar spheres in f(G, T) gravity Int. J. Geom. Meth. Mod. Phys. 20 2350222

DOI

25
Malik A et al 2024 Relativistic Tolman stellar spheres in f(Rφ) theory of gravity Int. J. Geom. Meth. Mod. Phys. 21 2450055-20

DOI

26
Harko T et al 2011 f(R, T) gravity Phys. Rev. D 84 024020

DOI

27
Rashid A et al 2023 A comprehensive study of Bardeen stars with conformal motion in f(G) gravity Eur. Phys. J. C 83 997

DOI

28
Cognola G et al 2008 Class of viable modified f(R) gravities describing inflation and the onset of accelerated expansion Phys. Rev. D 77 046009

DOI

29
Capozziello S et al 2009 Modelling clusters of galaxies by f(R) gravity Mon. Not. R. Astron. Soc. 394 947 959

DOI

30
Venkatesha V et al 2024 Yukawa-Casimir wormholes in the framework of f(R) gravity Eur. Phys. J. C 84 834

DOI

31
Elizalde E et al 2010 Λ CDM epoch reconstruction from f(R, G) and modified Gauss–Bonnet gravities Class. Quantum Grav. 27 095007

DOI

32
Chalavadi C C et al 2024 Exploration of GUP-corrected Casimir wormholes in extended teleparallel gravity with matter coupling Nucl. Phys. B 1006 116644

DOI

33
Naz T et al 2024 Physical physiognomies of hybrid Karmarkar stars Chin. J. Phys. 91 237 250

DOI

34
Astashenok A V et al 2015 Extreme neutron stars from extended theories of gravity J. Cosmol. Astropart. Phys. 2015 001

DOI

35
Malik A et al 2024 Existence of static wormhole solutions in f(R, A) gravity Chin. J. Phys. 91 560 574

DOI

36
Fayyaz I et al 2024 Fate of charged wormhole structures utilizing Karmarkar approach New Astron. 112 102255

DOI

37
Naz T et al 2024 Physical behavior of anisotropic quark stars in modified f(R, T) gravity Int. J. Theor. Phys. 63 78

DOI

38
Yousaf Z et al 2023 Electromagnetic effects on anisotropic expansion-free fluid content Commun. Theor. Phys. 75 105202

DOI

39
Malik A et al 2024 Stability analysis of isotropic compact stars in f(R, T) gravity utilizing cracking technique Chin. J. Phys. 90 1101 1116

DOI

40
Yousaf Z et al 2023 Bouncing cosmology with 4D-EGB gravity Int. J. Theor. Phys. 62 155

DOI

41
Paliathanasis A et al 2014 New Schwarzschild-like solutions in f(T) gravity through Noether symmetries Phys. Rev. D 89 104042

DOI

42
Moradpour H et al 2017 A generalization to the Rastall theory and cosmic eras Eur. Phys. J. C 77 259

DOI

43
Aslam M, Malik A 2024 Decoupled extended spherical solutions in Rastall gravity Eur. Phys. J. Plus 139 580

DOI

44
Darabi F et al 2018 Einstein and Rastall theories of gravitation in comparison Eur. Phys. J. C 78 25

DOI

45
Malik A et al 2024 Stability analysis of anisotropic stellar structures in Rastall theory of gravity utilizing cracking technique Chin. J. Phys. 89 613 627

DOI

46
Batista C E M et al 2012 Rastall cosmology and the Λ CDM model Phys. Rev. D 85 084008

DOI

47
Kumar R, Ghosh S G 2018 Rotating black hole in Rastall theory Eur. Phys. J. C 78 750

DOI

48
Fabris J C et al 2012 Note on the evolution of the gravitational potential in Rastall scalar field theories Phys. Lett. B 711 232 237

DOI

49
Malik A 2023 Comprehensive study of cylindrical Levi-Civita and cosmic string solutions in Rastall theory of gravity Chin. J. Phys. 84 357 370

DOI

50
Smalley L L 1984 Variational principle for a prototype Rastall theory of gravitation Nuovo Cimento B Serie 80 42 48

DOI

51
Heydarzade Y, Darabi F 2017 Black hole solutions surrounded by perfect fluid in Rastall theory Phys. Lett. B 771 365 373

DOI

52
Heydarzade Y, Moradpour H, Darabi F 2017 Black hole solutions in Rastall theory Can. J. Phys. 95 1253 1256

DOI

53
Malik A et al 2023 Embedding procedure and wormhole solutions in Rastall gravity utilizing the class I approach Int. J. Geom. Meth. Mod. Phys. 20 2350145

DOI

54
Ma M-S, Zhao R 2017 Noncommutative geometry inspired black holes in Rastall gravity Eur. Phys. J. C 77 629

DOI

55
Lobo I P et al 2018 Thermodynamics of black holes in Rastall gravity Int. J. Mod. Phys. D 27 1850069

DOI

56
Moradpour H, Salako I G 2016 Thermodynamic analysis of the static spherically symmetric field equations in Rastall theory Adv. High Energy Phys. 2016 3492796

DOI

57
Moradpour H et al 2017 Traversable asymptotically flat wormholes in Rastall gravity Can. J. Phys. 95 1257 1266

DOI

58
Hansraj S et al 2019 Impact of the Rastall parameter on perfect fluid spheres Ann. Phys., NY 400 320 345

DOI

59
Aslam M, Malik A 2025 Impact of Tolman-Kuchowicz solution on dark energy compact stars in f(R) theory Ann. Phys., NY 472 169854

DOI

60
Malik A et al 2024 Dynamics of some cosmological solutions in modified f(T, B) theory of gravity Eur. Phys. J. Plus 139 1008

DOI

61
Bhatti M Z et al 2024 Axially symmetric relativistic structures and the Riemann curvature tensor Indian J. Phys. 1 14

DOI

62
Bhatti M Z et al 2024 Energy density inhomogeneities with self-gravitating charged fluid in modified teleparallel gravity Int. J. Geom. Meth. Mod. Phys. 21 2450171

DOI

63
Malik A et al 2024 Study of traversable wormhole solutions via Karmarkar condition in f(R, φ, X) theory of gravity Eur. Phys. J. Plus 139 101

DOI

64
Malik A et al 2024 Bouncing cosmology in Chern-Simons f(R) gravity Int. J. Geom. Meth. Mod. Phys. 21 2450088-321

DOI

65
Malik A et al 2024 f(R, T) gravity bouncing universe with cosmological parameters Eur. Phys. J. Plus 139 276

DOI

66
Malik A et al 2023 Anisotropic compact stars in f(R, A) gravity including charge with exterior Reissner-Nordstrom spacetime Int. J. Theor. Phys. 62 243

DOI

67
Naz T et al 2023 Evolving embedded traversable wormholes in f(R, G) gravity: a comparative study Phys. Dark Uni. 42 101301

DOI

68
Malik A et al 2023 A comprehensive discussion for the identification of cracking points in f(R) theories of gravity Eur. Phys. J. C 83 765

DOI

69
Shamir M F et al 2022 Relativistic Krori-Barua Compact Stars in f(R, T) Gravity Fortschr. Phys. 70 2200134

DOI

70
Malik A et al 2023 Anisotropic spheres via embedding approach in f(R, φ, X) gravity Eur. Phys. J. Plus 138 118

DOI

71
Shahzad M U et al 2024 Topological behavior of 3D regular black hole with zero point length Phys. Dark Univ. 44 101437

DOI

72
Malik A, Shahzad M U 2024 Particle dynamics and matter accretion onto non-linear charged ads black holes in massive gravity Fortschr. Phys. 72 2300116

DOI

73
Malik A et al 2023 Development of local density perturbation technique to identify cracking points in f(R, T) gravity Eur. Phys. J. C 83 765

DOI

74
Hansraj S, Banerjee A 2020 Equilibrium stellar configurations in Rastall theory and astrophysical implications Mod. Phys. Lett. A 35 2050105

DOI

75
Salako I G et al 2021 Study on anisotropic charged strange stars within the framework of Rastall–Maxwell theory: conformal Killing vector. Int. J. Geom. Meth. Mod. Phys. 18 2150186

DOI

76
Salako I G et al 2021 Study on anisotropic strange stars in Rastall gravity Theor. Math. Phys. 208 12991316

DOI

77
Salako I G et al 2022 Rastall-Maxwell approach for anisotropic charged strange stars Gen. Relativ. Gravit. 54 28

DOI

78
Salako I G et al 2022 Anisotropic quintessence charged strange stars in Rastall–Maxwell gravity Mod. Phys. Lett. A 37 2250053

DOI

79
Abbas G, Shahzad M R 2018 A new model of quintessence compact stars in the Rastall theory of gravity Eur. Phys. J. A 54 211

DOI

80
Shamir M F, Malik A 2019 Behavior of anisotropic compact stars in f(Rφ) gravity Commun. Theor. Phys. 71 599

DOI

81
Shamir M F, Malik A 2021 Bardeen compact stars in modified f(R) gravity Chin. J. Phys. 69 312 321

DOI

82
Malik A et al 2023 KroriBarua Bardeen compact stars in f(R, T) gravity New Astron. 104 102071

DOI

83
Bhar P 2015 A new hybrid star model in Krori-Barua spacetime Astrophys. Space Sci. 357 1 10

DOI

84
Rahaman F et al 2012 Strange stars in Krori–Barua space-time Eur. Phys. J. C 72 2071

DOI

85
Hossein S K M et al 2012 Anisotropic compact stars with variable cosmological constant Int. J. Mod. Phys. D 21 1250088

DOI

86
Malik A 2022 Analysis of charged compact stars in modified f(Rφ) theory of gravity New Astron. 93 101765

DOI

87
Salako I G et al 2020 Study on anisotropic strange stars in f(T, T) gravity Universe 6 167

DOI

88
Malik A et al 2022 Anisotropic spheres via embedding approach in f(R) gravity Int. J. Geom. Meth. Mod. Phys. 19 2250073

DOI

89
Salako I G et al 2021 Compact stellar models in modified gravity Int. J. Mod. Phys. D 30 2140003

DOI

90
Malik A et al 2024 Detailed analysis of the relativistic configuration of Bardeen anisotropic spheres in modified f(G) gravity Commun. Theor. Phys. 76 065005

DOI

91
Naz T et al 2024 FinchSkea Stellar structures obeying Karmarkar condition in modified f(G) gravity Chin. J. Phys. 89 871 883

DOI

92
Asghar Z et al 2023 Comprehensive analysis of relativistic embedded class-I exponential compact spheres in f(Rφ) gravity via Karmarkar condition Commun. Theor. Phys. 75 105401

DOI

93
Bhar P et al 2023 Physical characteristics and maximum allowable mass of hybrid star in the context of f(Q) gravity Eur. Phys. J. C 83 646

DOI

94
Asghar Z et al 2023 Study of embedded class-I fluid spheres in f(R, T) gravity with Karmarkar condition Chin. J. Phys. 83 427 437

DOI

95
Shamir M F et al 2022 Relativistic Krori-Barua Compact Stars in f(R, T) Gravity Fortschr. Phys. 70 2200134

DOI

96
Salako I G et al 2018 Anisotropic compact stars in non-conservative theory of gravity Int. J. Geom. Meth. Mod. Phys. 15 1850093

DOI

97
Baffou E H et al 2023 Observational constraints on Viscous Ricci Dark energy model coupled with f(R, T) gravity Chin. J. Phys. 84 248 257

DOI

98
Shamir M F et al 2020 Dark universe with Noether symmetry Theor. Math. Phys. 205 16921705

DOI

99
Dan W et al 2023 Observational constraints on a logarithmic scalar field dark energy model and black hole mass evolution in the Universe Eur. Phys. J. C 83 670

DOI

100
Malik A et al 2024 Charged wormhole solutions utilizing Karmarkar condition in Ricci inverse gravity Eur. Phys. J. Plus 139 535

DOI

101
Malik A et al 2024 Charged anisotropic compact stars in Ricci-inverse gravity Eur. Phys. J. Plus 139 67

DOI

102
Malik A et al 2024 Charged stellar structure in f(Rφ) gravity admitting Chaplygin equation of state Int. J. Geom. Meth. Mod. Phys. 21 2.450086E6 2450086

DOI

103
Houndjo M J S et al 2023 Λ CDM bounce cosmology without Λ CDM in the context of f(T) theory of gravity Chin. J. Phys. 83 558 570

DOI

104
Malik A et al 2024 Investigation of charged stellar structures in f(Rφ) gravity using Reissner-Nordstrom geometry Int. J. Geom. Meth. Mod. Phys. 21 5 2450099-22

DOI

105
Chaudhary S et al 2023 Physical characteristics of wormhole geometries under different EoS in the context of Rastall gravity Chin. J. Phys. 86 578 589

DOI

106
Banerjee A et al 2023 Strange quark star models from Rastall gravity Ann. Phys., NY 451 169267

DOI

107
Krori K D, Barua J 1975 A singularity-free solution for a charged fluid sphere in general relativity J. Phys. A: Math. Gen. 8 508

DOI

108
Faraoni V 2010 Jebsen-Birkhoff theorem in alternative gravity Phys. Rev. D 81 044002

DOI

109
Cooney A et al 2010 Neutron stars in f(R) gravity with perturbative constraints Phys. Rev. D 82 064033

DOI

110
Ganguly A et al 2014 Neutron stars in the Starobinsky model Phys. Rev. D 89 064019

DOI

111
Momeni D, Myrzakulov R 2015 Tolman–Oppenheimer–Volkoff equations in modified Gauss–Bonnet gravity Int. J. Geom. Meth. Mod. Phys. 12 1550014

DOI

112
Tolga G et al 2010 The distance, mass, and radius of the neutron star in 4U 1608–52 Astrophys. J. 712 964

DOI

113
Gangopadhyay T et al 2013 Strange star equation of state fits the refined mass measurement of 12 pulsars and predicts their radii Mon. Not. R. Astron. Soc. 431 3216 3221

DOI

114
Gver T et al 2010 The mass and radius of the neutron star in 4U 1820–30 Astrophys. J. 719 1807

DOI

115
Mak M K, Harko T 2003 Anisotropic stars in general relativity Proc. R. Soc. London A: Math., Phys. Eng. Sci. 459 393 408

DOI

116
Bhmer C G, Harko T 2006 Bounds on the basic physical parameters for anisotropic compact general relativistic objects Class. Quantum Grav. 23 6479

DOI

117
Herrera L 1992 Cracking of self-gravitating compact objects Phys. Lett. A 165 206 210

DOI

118
Hillebrandt W, Steinmetz K O 1976 Anisotropic neutron star models: stability against radial and nonradial pulsations Astron. Astrophys. 53 283 287

119
Chan R et al 1993 Dynamical instability for radiating anisotropic collapse Mon. Not. R. Astron. Soc. 265 533 544

DOI

Outlines

/