Welcome to visit Communications in Theoretical Physics,
Mathematical Physics

The localized excitation on the Weierstrass elliptic function periodic background for the (n+1)-dimensional generalized Kadomtsev–Petviashvili equation

  • Qiong He 1 ,
  • Jiabin Li 2 ,
  • Yunqing Yang , 1, * ,
  • Yongshuai Zhang 3
Expand
  • 1School of Science, Zhejiang University of Science and Technology, Hangzhou 310023, China
  • 2School of Information Science, Zhejiang Ocean University, Zhoushan 316022, China
  • 3Department of Mathematics, Shaoxing University, Shaoxing 312000, China

*Author to whom any correspondence should be addressed.

Received date: 2025-04-07

  Revised date: 2025-05-21

  Accepted date: 2025-05-29

  Online published: 2025-07-22

Copyright

© 2025 Institute of Theoretical Physics CAS, Chinese Physical Society and IOP Publishing. All rights, including for text and data mining, AI training, and similar technologies, are reserved.
This article is available under the terms of the IOP-Standard License.

Abstract

In order to investigate physically meaning localized nonlinear waves on the periodic background defined by Weierstrass elliptic -function for the (n + 1)-dimensional generalized Kadomtsev–Petviashvili equation by Darboux transformation, the associated linear spectral problem with the Weierstrass function as the external potential is studied by utilizing the Lamé function. The degenerate solutions of the nonlinear waves have also been obtained by approaching the limits of the half-periods ω1 and ω2 of (x). At the same time, the evolution and nonlinear dynamics of various nonlinear waves under different parameter regimes are systematically discussed. The findings may open avenues for related experimental investigations and potential applications in various nonlinear science domains, such as nonlinear optics and oceanography.

Cite this article

Qiong He , Jiabin Li , Yunqing Yang , Yongshuai Zhang . The localized excitation on the Weierstrass elliptic function periodic background for the (n+1)-dimensional generalized Kadomtsev–Petviashvili equation[J]. Communications in Theoretical Physics, 2025 , 77(11) : 115002 . DOI: 10.1088/1572-9494/adde32

1. Introduction

Investigating the excitation mechanism and physical meaning dynamics of nonlinear waves to reveal nonlinear phenomena in various fields of nonlinear science, including nonlinear optics [1, 2], Bose–Einstein condensate [3], plasma physics [4], oceanography [5] and even financial markets [6], has always been a core topic in nonlinear mathematical physics. Integrable systems, due to their elegant mathematical structure and physical background, are often used as governing prototypes to describe nonlinear waves. With the improvement of mathematical theory and the rapid development of artificial intelligence, many effective techniques for studying the nonlinear waves of integrable systems have been proposed in succession, such as, Hirota bilinear method, inverse scattering transformation method, Darboux transformation (DT) method, algebro-geometric method [710], and the newly favoured method of deep learning [1113].
However, the existing approaches mainly focus on the constructing and nonlinear dynamics of nonlinear waves on the constant backgrounds, mainly zero and plane wave backgrounds, including soliton, breather and rogue waves. Even the investigating on periodic background mainly concentrate on nonlinear waves on the periodic background waves of Jacobi elliptic functions by using some special techniques, including nonlinearization technique [1417], Baker–Akhiezer function method [18, 19], DT method [2025], numerical simulations [26, 27], nonlocal symmetry and dressing method [28, 29], deep learning method [30] and so on [3133].
To describe more complex physical nonlinear phenomena and to generalize the mathematical integrabe systems, the (n + 1)-dimensions generalized Kadomtsev–Petviashvili (gKP) equation [34]:
$\begin{eqnarray}{\left({u}_{t}+6\beta u{u}_{{x}_{1}}+\beta {u}_{{x}_{1}{x}_{1}{x}_{1}}\right)}_{{x}_{1}}+\gamma {u}_{{x}_{2}{x}_{2}}+\displaystyle \sum _{i=2}^{n}{\sigma }_{i}{u}_{{x}_{1}{x}_{i}}=0,\end{eqnarray}$
has been proposed, which can be served as the compatibility condition of the following linear spectral problem
$\begin{eqnarray}L\varphi =\left({\partial }_{{x}_{1}}^{2}+\delta {\partial }_{{x}_{2}}+u\right)\varphi =\lambda \varphi ,\end{eqnarray}$
$\begin{aligned} \varphi_{t}= & T \varphi=\left(\left(\frac{\gamma}{\delta}+\beta \delta\right) \partial_{x_{1} x_{2}}-(2 \beta u+4 \lambda \beta) \partial_{x_{1}}\right. \\ & \left.+\beta u_{x_{1}}+\frac{\gamma}{\delta} \partial_{x_{1}} u_{x_{2}}-\sum_{i=2}^{n} \sigma_{i} \partial_{x_{i}}\right) \varphi, \end{aligned}$
where n≥2, λ is a spectral parameter, β, δ, γ, σi are constant parameters and δ2 = γ/(3β). The KP equation is widely used to describe various nonlinear phenomena in physical fields such as fluid mechanics, oceanography, and plasma physics. The generalized KP equation (1) is the extension and generalization of the KP equation in n-dimensional space, in which β and γ measure the transverse dispersion effect in the x1 and x2 directions, and σi represents the interaction affect between the x1 and xi directions. u is a differentiable function with respect to spatial variables x1x2, ⋯, xn and time variable t, describing the dynamics of nonlinear waves in different physical settings. The classical KPI and KPII equations can be reduced from the equation (1) by taking β = 1,  σi = 0,  γ = ± 3, and the (3+1)-dimensional generalized KP equation [35] can be obtained by taking n = 3.
Recently, we investigated the nonlinear waves on the Jacobi elliptic function periodic background and their underlying physical dynamics for the (n + 1)-dimensions gKP equation (1) [36], whose N-fold DT has been given as
$\begin{eqnarray}\varphi [N]=\frac{{\rm{Wr}}[{\varphi }_{1},{\varphi }_{2},\ldots ,{\varphi }_{N},\varphi ]}{{\rm{Wr}}[{\varphi }_{1},{\varphi }_{2},\ldots ,{\varphi }_{N}]},\end{eqnarray}$
$\begin{eqnarray}u[N]=u+2{\left({\mathrm{ln}}\,{\rm{Wr}}[{\varphi }_{1},{\varphi }_{2},\ldots ,{\varphi }_{N}]\right)}_{{x}_{1}{x}_{1}},\end{eqnarray}$
in which, u is the solution of (n + 1)-dimensional gKP equation (1), φ1φ2, …, φN are solutions of the corresponding linear spectral problem (2a) with potential u. However, to the best of our knowledge, the nonlinear waves on the Weierstrass elliptic function periodic wave background of equation (1) have not been studied yet, which is the motivation for this study. In this paper, we mainly focus on the nonlinear waves and corresponding degeneration on the the Weierstrass elliptic periodic wave background for the equation (1) by using the the Lamé equation [37],
$\begin{eqnarray}-\frac{{{\rm{d}}}^{2}\varphi }{{\rm{d}}{x}^{2}}+2\wp \left(x\right)\varphi =\lambda \varphi ,\end{eqnarray}$
and the elliptic roots of unity for the Weierstrass elliptic function [38, 39]
$\begin{eqnarray}\displaystyle \prod _{j=1}^{M}{{\rm{\Phi }}}_{k}({a}_{j})=\frac{1}{(M-1)!}({\wp }^{(M-2)}(-\kappa )-{\wp }^{(M-2)}({a}_{1})),\forall \kappa .\end{eqnarray}$

2. Solutions of the spectral problems with (x + ct) coefficient via Lamé equation

To construct nonlinear waves on the Weierstrass elliptic periodic wave, it is necessary first to construct a seed solution in the form of Weierstrass elliptic functions, and then to solve the associated linear spectral problem with Weierstrass elliptic function as the external potential. To this end, we consider the traveling Weierstrass elliptic wave for the gKP equation (1) as the seed solution of DT (3a), whose general form can be assumed as
$\begin{eqnarray}u=U({x}_{1}+ct)=U(\eta ),\end{eqnarray}$
where η = x1 + ct, and c is the traveling wave velocity. Substituting (6) into the gKP equation (1), yields
$\begin{eqnarray}cU+\beta {U}^{{\prime\prime} }+3\beta {U}^{2}={h}_{1},\end{eqnarray}$
$\begin{eqnarray}\beta {({U}^{{\prime} })}^{2}+2\beta {U}^{3}+c{U}^{2}-2{h}_{1}U={h}_{2},\end{eqnarray}$
where h1 and h2 are constants of integration. According to the algebraic curve
$\begin{eqnarray}{\left({\wp }^{{\prime} }\left(x\right)\right)}^{2}=4{\wp }^{3}\left(x\right)-{g}_{2}\wp \left(x\right)-{g}_{3}=0,\end{eqnarray}$
where g2, g3 are called Eisenstein invariants, satisfying the Weierstrass elliptic function, one exact solution for the equation (7a) can be derived as
$\begin{eqnarray}U(\eta )=-2\wp (\eta )-\frac{c}{6\beta },\end{eqnarray}$
in which, the Eisenstein invariants denoted as g2, g3 can be expressed as
$\begin{eqnarray}{g}_{2}=\frac{{c}^{2}}{12{\beta }^{2}}+\frac{{h}_{1}}{\beta },\quad {g}_{3}=\frac{{c}^{3}}{216{\beta }^{3}}+\frac{{h}_{1}c}{12}-\frac{{h}_{2}}{2\beta }.\end{eqnarray}$
The solution (9) of the gKP equation (1) is just the Weierstrass elliptic function seed solution for the Darboux transformation.
Substituting traveling -periodic wave (9) into (2a), the linear spectral problem with Weierstrass elliptic functions as coefficients can be obtained as
$\begin{eqnarray}{\varphi }_{{x}_{1}{x}_{1}}+\delta {\varphi }_{{x}_{2}}-2\wp (\eta )\varphi +{\nu }_{1}\varphi =0,\end{eqnarray}$
$\begin{eqnarray}\begin{array}{l}{\varphi }_{t}-4\beta \delta {\varphi }_{{x}_{1}{x}_{2}}+\left(4\lambda \beta -4\beta \wp (\eta )-\frac{c}{3}\right){\varphi }_{{x}_{1}}\\ +2\beta {\wp }^{{\prime} }(\eta )\varphi +\displaystyle \sum _{i=2}^{n}{\sigma }_{i}{\varphi }_{{x}_{i}}=0,\end{array}\end{eqnarray}$
where ${\nu }_{1}=-\lambda -\frac{c}{6\beta }$, in which (11a) is commonly referred to as the Weierstrass form of the Lamé equation. Then, the solutions of system (11) can be assumed as
$\begin{eqnarray}\varphi ={{\rm{\Phi }}}_{\alpha }\left(\eta \right){{\rm{e}}}^{-\zeta \left(\alpha \right)\eta +{\omega }_{1}t+\displaystyle \sum _{i=2}^{n}{\omega }_{i}{x}_{i}},\end{eqnarray}$
where αωi(i = 1, 2…n) are arbitrary constants, ζ is the Weierstrass ζ-function and ${{\rm{\Phi }}}_{\alpha }\left(\eta \right)$ is the Lamé type function [37]
$\begin{eqnarray}{{\rm{\Phi }}}_{\alpha }\left(\eta \right)=\frac{\sigma \left(\eta +\alpha \right)}{\sigma \left(\eta \right)\sigma \left(\alpha \right)},\end{eqnarray}$
in which σ(x) is the Weierstrass σ-function.
Substituting (13) into (11) and using the significant relations of the Weierstrass elliptic function
$\begin{eqnarray}\zeta \left(x+\alpha \right)-\zeta \left(x\right)-\zeta \left(\alpha \right)=\frac{{\wp }^{{\prime} }\left(x\right)-{\wp }^{{\prime} }\left(\alpha \right)}{2\left(\wp (x)-\wp (\alpha )\right)},\end{eqnarray}$
we have
$\begin{eqnarray}\left\{\begin{array}{l}\lambda =\wp (\alpha )-\frac{c}{6\beta }+{\omega }_{2}\delta ,\quad \\ {\omega }_{1}+\displaystyle \sum _{i=2}^{n}{\omega }_{i}{\sigma }_{i}+2\beta {\wp }^{{\prime} }(\alpha )=0.\quad \end{array}\right.\end{eqnarray}$
In other words, (12) can serve as a solution to (11) if (15) holds, which establishes some certain constraint relations between eigenvalues λ and other correlation quantities, and the corresponding eigenfunction can be derived as
$\begin{eqnarray}\varphi ={{\rm{\Phi }}}_{\alpha }\left(\eta \right){{\rm{e}}}^{-\zeta \left(\alpha \right)\eta -\left(2\beta {\wp }^{{\prime} }(\alpha )+\displaystyle \sum _{i=2}^{n}{\omega }_{i}{\sigma }_{i}\right)t+\displaystyle \sum _{i=2}^{n}{\omega }_{i}{x}_{i}}.\end{eqnarray}$
Nonetheless, employing seed solution (16) to the DT only generates a translated solution of the seed solution, which requires a more generalized solution of system (11). On the other hand, based on the definition and characteristics of the elliptic square or cube roots of unity in literature [39, 40], it is possible to construct linearly independent solutions for the system (11) linked to the specified eigenvalue λ under the constraints (15). Therefore, to acquire the elliptic square or cube roots of unity, our attention is directed to the following two cases:
Case 1. If ω2δ = (α), namely
$\begin{eqnarray}\lambda =2\wp (\alpha )-\frac{c}{6\beta },\end{eqnarray}$
from which it is possible to develop two independent solutions for the system (11).
Case 2. If ${\omega }_{2}\delta ={\wp }^{{\prime} }(\alpha )-\wp (\alpha )$, namely
$\begin{eqnarray}\lambda ={\wp }^{{\prime} }(\alpha )-\frac{c}{6\beta },\end{eqnarray}$
from which it is possible to develop three independent solutions for the system (11).
Then, The resulting theorem can be presented.

There exists a generalized solution for the linear spectral system (11) associated with some given eigenvalue λl under the constraint conditions (15) in the form, for l = 1, 2, …, N and M = 2, 3, 

$\begin{eqnarray}{\varphi }_{{\lambda }_{l}}=\displaystyle \sum _{j=1}^{M}{C}_{lj}{{\rm{\Phi }}}_{{\alpha }_{lj}}\left(\eta \right){{\rm{e}}}^{-{\iota }_{lj}},\end{eqnarray}$
in which
$\begin{eqnarray}\begin{array}{rcl}{\iota }_{lj} & = & \zeta \left({\alpha }_{lj}\right)\eta +\left(2\beta {\wp }^{{\prime} }({\alpha }_{lj})+\displaystyle \sum _{i=2}^{n}{\omega }_{i}{\sigma }_{i}\right)t-\displaystyle \sum _{i=2}^{n}{\omega }_{i}{x}_{i},\\ \eta & = & {x}_{1}+ct,\end{array}\end{eqnarray}$
β, Clj, ωi (i = 3, 4…n), σi (i = 2…n) are arbitrary constants. If M = 2, ${\alpha }_{lj}\left(j=1,2\right)$ are two elliptic square roots of (17), that is λl = 2(alj) − c/6β; If M = 3, ${\alpha }_{lj}\left(j=1,2,3\right)$ are three elliptic square roots of (18), that is ${\lambda }_{l}\,={\wp }^{{\prime} }({a}_{lj})-c/6\beta $.

3. Nonlinear wave solutions on the Weierstrass elliptic function periodic background for the gKP equation

Inserting the solution (19) and seed solution (9) into the N-th DT (3b), the N-th nonlinear wave solutions for the gKP equation (1) can be simplified as
$\begin{eqnarray}u[N]=u+2{\left({\mathrm{ln}}\,\tau \right)}_{{x}_{1}{x}_{1}},\end{eqnarray}$
in which,
$\begin{eqnarray}\begin{array}{rcl}\tau & = & \displaystyle \sum _{j=1}^{N}{\tau }^{{\prime} },\\ {\tau }^{{\prime} } & = & {(-1)}^{N}\frac{\sigma (x-{\sum }_{j=1}^{N}{\alpha }_{lj})}{\sigma (x)}\\ & & \times \frac{{\prod }_{1\leqslant j\leqslant i\leqslant N}\sigma ({\alpha }_{lj}-{\alpha }_{ki})}{{\sigma }^{N}({\alpha }_{l,1})\cdots {\sigma }^{N}({\alpha }_{lN})}{\rm{\exp }}\left(-\iota \right),\end{array}\end{eqnarray}$
where lk = 1, …, M and ι is given in (20). It should be noted that Li and Zhang presented the same form of solutions in the bilinear framework for elliptic solitons [38]. Here, we again present the nonlinear wave solutions for the gKP equation (1) in this form by means of the Darboux transformation. Then, we investigate the nonlinear waves on the Weierstrass elliptic function periodic background for the gKP equation (1) from two cases of elliptic square and cube roots respectively, and discuss their corresponding nonlinear dynamics.

3.1. The periodic background solutions for the gKP equation based on the elliptic square roots

According to theorem 1, the properties (5) under the case 1 mentioned in the above section with M = 2 and l = 1 can be reduced to
$\begin{eqnarray}\begin{array}{l}{\alpha }_{1}+{\alpha }_{2}\equiv 0\,({\rm{mod\, period\, lattice}}),\\ \zeta \left({\alpha }_{1}\right)+\zeta \left({\alpha }_{2}\right)=0,\\ \wp ({\alpha }_{1})=\wp ({\alpha }_{2}),\end{array}\end{eqnarray}$
and the eigenfunction ${\varphi }_{{\lambda }_{1}}$ can be simplified as
$\begin{eqnarray}{\varphi }_{{\lambda }_{1}}={C}_{1,1}{\varphi }_{{\lambda }_{1,1}}+{C}_{1,2}{\varphi }_{{\lambda }_{1,2}}.\end{eqnarray}$
Then, the nonlinear wave solutions for the gKP equation (1) using the Weierstrass elliptic function (9) as a periodic background can be deduced as
$\begin{eqnarray}u[1]=\frac{G}{D},\end{eqnarray}$
in which,
$\begin{eqnarray*}\begin{array}{rcl}G & = & ({C}_{11}\sigma (\eta +{\alpha }_{11})({(\zeta (\eta +{\alpha }_{11})-\zeta ({\alpha }_{11}))}^{2}\\ & & -\wp (\eta +{\alpha }_{11})){\rm{\exp }}({\iota }_{11})+{C}_{12}\sigma (\eta +{\alpha }_{12})\\ & & \times ({(\zeta (\eta +{\alpha }_{12})-\zeta ({\alpha }_{12}))}^{2}-\wp (\eta +{\alpha }_{12}))\\ & & \times {\rm{\exp }}({\iota }_{12}))({C}_{11}\sigma (\eta +{\alpha }_{11}){\rm{\exp }}({\iota }_{11})+{C}_{12}\\ & & \times \sigma (\eta +{\alpha }_{12}){\rm{\exp }}({\iota }_{12}))+({C}_{11}\sigma (\eta +{\alpha }_{11})\\ & & \times (\wp (\eta +{\alpha }_{11})-\wp ({\alpha }_{11})){\rm{\exp }}({\iota }_{11})+{C}_{12}\\ & & \times \sigma (\eta +{\alpha }_{12})(\wp (\eta +{\alpha }_{12})-\wp ({\alpha }_{12})){\rm{\exp }}({\iota }_{12}){)}^{2},\\ D & = & {({C}_{11}\sigma (\eta +{\alpha }_{11}){\rm{\exp }}({\iota }_{11})+{C}_{12}\sigma (\eta +{\alpha }_{12}){\rm{\exp }}({\iota }_{12}))}^{2}.\end{array}\end{eqnarray*}$
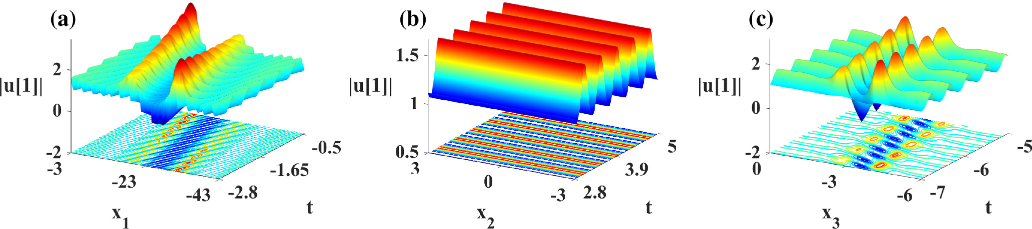
Some distinct interesting nonlinear wave solutions can be constructed by choosing different parameter values for λ, C1,j(j = 1, 2) and ωi(i = 1, 2, …, n). Figures 1 and 2 illustrate the evolution and corresponding contour plots for the solution (25) in the space of different spatial variables x1, x2, and x3 and time variable t when g2 = 3, g3 = 1. Figures 1(a)(c) and 2(a)(c) demonstrate the structure of dark breather waves on the Weierstrass elliptic function periodic background, the periodic background waves of figures 1(a) and 2(a) move along the x1-t direction, while the periodic background waves of figures 1(c) and 2(c) move along the t-axis. Figures 1(b) and 2(b) demonstrate that a periodic background solution is obtained in this case and that this periodic background wave moves along the t-axis. Furthermore, adjusting various parameters enables the creation of distinct spatial variables xi(i = 4, …, n) that align with the circumstances at time t, offering diverse physical interpretations across various physical contexts.
Figure 1. Propagation and contour plots for nonlinear wave solution (25) based on λ = − 1 + 0.4i, where β = 1, ω1 = − (α), ${\omega }_{3}=-\wp ^{\prime} (\alpha )-\wp (\alpha )$, σ2 = σ3 = 1, σi(i = 4, …, n) = 0, C1,1 = C1,2 = 1. (a) x2 = x3 = 1; (b) x1 = x3 = 1; (c) x1 = x2 = 1.
Figure 2. Propagation and contour plots for nonlinear wave solution (25) based on λ = − 1 + 1.6i, where β = 1, ω1 = − (α), ${\omega }_{3}=-\wp ^{\prime} (\alpha )-\wp (\alpha )$, σ2 = σ3 = 1, σi(i = 4, …, n) = 0, C1,1 = C1,2 = 1. (a) x2 = x3 = 1; (b) x1 = x3 = 1; (c) x1 = x2 = 1.

3.2. The periodic background solutions for the gKP equation based on the elliptic cube roots

For case 2 in the above section, the elliptic cube roots of unity and associated eigenfunctions of the linear spectral problem [39, 41] should be considered, from which the properties (5) under M = 3 can be simplified as
$\begin{eqnarray}\begin{array}{l}{a}_{1}+{a}_{1}+{a}_{3}\equiv 0\,({\rm{m}}{\rm{o}}{\rm{d}}\,{\rm{period\, lattice}}),\\ \zeta ({a}_{1})+\zeta ({a}_{2})+\zeta ({a}_{3})=0,\\ {\wp }^{{\prime} }({a}_{1})={\wp }^{{\prime} }({a}_{2})={\wp }^{{\prime} }({a}_{3}),\end{array}\end{eqnarray}$
and the corresponding eigenfunction ${\varphi }_{{\lambda }_{1}}$ can be depicted as
$\begin{eqnarray}{\varphi }_{{\lambda }_{1}}={C}_{1,1}{\varphi }_{{\lambda }_{1,1}}+{C}_{1,2}{\varphi }_{{\lambda }_{1,2}}+{C}_{1,3}{\varphi }_{{\lambda }_{1,3}}.\end{eqnarray}$
Then, the nonlinear wave solutions for the gKP equation (1) on the Weierstrass elliptic function (9) periodic background can be inferred as
$\begin{eqnarray}u[1]=\frac{{G}_{1}}{{D}_{1}},\end{eqnarray}$
in which,
$\begin{eqnarray*}\begin{array}{rcl}{G}_{1} & = & ({C}_{11}\sigma (\eta +{\alpha }_{11})({(\zeta (\eta +{\alpha }_{11})-\zeta ({\alpha }_{11}))}^{2}\\ & & -\wp (\eta +{\alpha }_{11})){\rm{\exp }}({\iota }_{11})+{C}_{12}\sigma (\eta +{\alpha }_{12})\\ & & \times ({(\zeta (\eta +{\alpha }_{12})-\zeta ({\alpha }_{12}))}^{2}-\wp (\eta +{\alpha }_{12}))\\ & & \times {\rm{\exp }}({\iota }_{12})+{C}_{13}\sigma (\eta +{\alpha }_{13})((\zeta (\eta +{\alpha }_{13})\\ & & -\zeta ({\alpha }_{13}){)}^{2}-\wp (\eta +{\alpha }_{13})){\rm{\exp }}({\iota }_{13}))\\ & & \times ({C}_{11}\sigma (\eta +{\alpha }_{11}){\rm{\exp }}({\iota }_{11})+{C}_{12}\sigma (\eta +{\alpha }_{12})\\ & & \times {\rm{\exp }}({\iota }_{12})+{C}_{13}\sigma (\eta +{\alpha }_{13}){\rm{\exp }}({\iota }_{13}))\\ & & +({C}_{11}\sigma (\eta +{\alpha }_{11})(\wp (\eta +{\alpha }_{11})-\wp ({\alpha }_{11})){\rm{\exp }}({\iota }_{11})\\ & & +{C}_{12}\sigma (\eta +{\alpha }_{12})(\wp (\eta +{\alpha }_{12})-\wp ({\alpha }_{12})){\rm{\exp }}({\iota }_{12})\\ & & +{C}_{13}\sigma (\eta +{\alpha }_{13})(\wp (\eta +{\alpha }_{13})-\wp ({\alpha }_{13})){\rm{\exp }}({\iota }_{13}){)}^{2},\\ {D}_{1} & = & ({C}_{11}\sigma (\eta +{\alpha }_{11}){\rm{\exp }}({\iota }_{11})+{C}_{12}\sigma (\eta +{\alpha }_{12}){\rm{\exp }}({\iota }_{12})\\ & & +{C}_{13}\sigma (\eta +{\alpha }_{13}){\rm{\exp }}({\iota }_{13}){)}^{2},\end{array}\end{eqnarray*}$
By selecting varied parameter values for λ, C1,j(j = 1, 2, 3), and ωi(i = 1, 2, …, n), one can create unique and intriguing nonlinear wave solutions. The propagation of the breather wave (28) over different spatial variables x1, x2, and x3 with respect to the time variable t when g2 = 3, g3 = 1 and the corresponding contour plots are shown in figures 3 and 4. It can be observed that assigning different values of λ can yield different types of nonlinear wave solutions. Solution (28) displays the behavior of the bright breather wave on the Weierstrass elliptic function periodic background in all three different dimensions in figure 3 while shows the behavior of dark breather wave on the Weierstrass elliptic function periodic background in figure 4. The periodic background waves of figures 3(a) and 4(a) move along the x1-t direction, while the periodic background waves of figures 3(b)(c) and 4(b)(c) move along the t-axis. In addition, it is noticed in figure 4 that there is a difference in height on both sides of the breather wave. Additionally, setting different parameters allow for the generation of unique spatial variables xi(i = 4, …, n), which correspond to the situation at time t, providing a range of physical explanations in different physical scenarios.
Figure 3. Propagation and contour plots for nonlinear wave solution (28) based on λ = − 1 + 0.4i, where β = 1, ${\omega }_{1}=-2\wp ^{\prime} (\alpha )$, ${\omega }_{3}=\wp (\alpha )-\wp ^{\prime} (\alpha )$, σ2 = σ3 = 1, σi(i = 4, …, n) = 0, ${C}_{1,j}={\rm{\exp }}({\alpha }_{1,j})$. (a) x2 = x3 = 1; (b) x1 = x3 = 1; (c) x1 = x2 = 1.
Figure 4. Propagation and contour plots for nonlinear wave solution (28) based on λ = − 1 + 1.6i, where β = 1, ${\omega }_{1}=-2\wp ^{\prime} (\alpha )$, ${\omega }_{3}=\wp (\alpha )-\wp ^{\prime} (\alpha )$, σ2 = σ3 = 1, σi(i = 4, …, n) = 0, ${C}_{1,j}={\rm{\exp }}({\alpha }_{1,j})$. (a) x2 = x3 = 1; (b) x1 = x3 = 1; (c) x1 = x2 = 1.

4. Degenerate solutions

In this section, we focus on the degeneration of the Weierstrass elliptic functions with double periods of 2ω1 and 2ω2, which degenerates into hyperbolic functions. It can be verified that the values of the Weierstrass elliptic function (x) at the half-periods ω1, ω2 and ω1 + ω2, that is,
$\begin{eqnarray}\wp ({\omega }_{1})={e}_{1},\quad \wp ({\omega }_{1}+{\omega }_{2})={e}_{2},\quad \wp ({\omega }_{2})={e}_{3},\end{eqnarray}$
are three roots of equation (8) [41]. In the following, we consider the degenerate solutions of the solutions (25) and (28) in this limiting case.
When the invariants g2 and g3 are taken as g2 = 12, g3 = − 8, that is the real period ω1 is infinitely large and the imaginary period ω2 is finite, the Weierstrass functions degenerate to
$\begin{eqnarray}\begin{array}{rcl}\sigma (x) & = & \frac{\sinh (\sqrt{3}x){{\rm{e}}}^{-\frac{{x}^{2}}{2}}}{\sqrt{3}},\\ \zeta (x) & = & -x+\sqrt{3}\coth (\sqrt{3}x),\\ \wp (x) & = & 1+3{{\rm{csch}}}^{2}(\sqrt{3}x),\end{array}\end{eqnarray}$
under which the seed solution u = − 2(η) − c/6β degenerate to the hyperbolic function
$\begin{eqnarray}u=-6{{\rm{csch}}}^{2}(\sqrt{3}x)-2-c/3\beta .\end{eqnarray}$
Thus, the nonlinear waves on the Weierstrass elliptic function periodic background (31) degenerates into the nonlinear waves on the plane wave background, whose expressions, can be derived by direct computation, are omitted here for brevity.
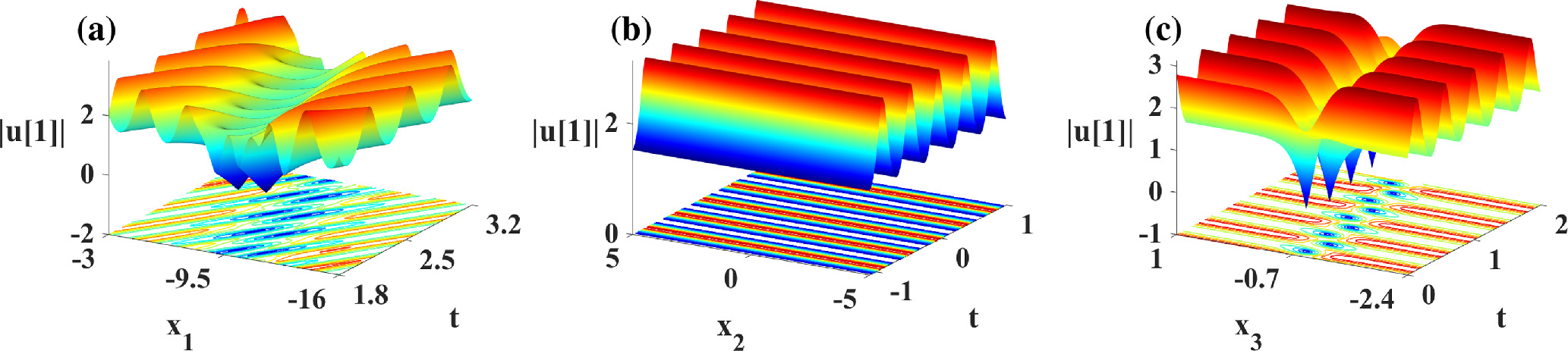
Figures 5 and 6 depict the evolution of the solution (25) in x1-t, x2-t and x3-t space for different values of λ taken after the degeneracy, from which it can be observed that the breather wave (25) on the periodic background transforms to a two-soliton wave on the constant background. The evolution of nonlinear waves in x1-t and x2-t space demonstrates the characteristics of the soliton molecule, and this two-soliton solution interacts with each other in x3-t space when the spectral parameter is taken as λ = 3.8. The propagation of the nonlinear wave in the x1-t and x3-t space illustrates the two-soliton collision phenomenon and moves parallel along the x2 axis in x2-t space under the spectral parameter λ = 0.2.
Figure 5. Propagation and density plots for the degenerate solution of nonlinear wave solution (25) based on λ = 3.8, where β = 1, ω1 = − (α), ${\omega }_{3}=-\wp ^{\prime} (\alpha )-\wp (\alpha )$, σ2 = σ3 = 1, σi(i = 4, …, n) = 0, C1,1 = C1,2 = 1. (a) x2 = x3 = 1; (b) x1 = x3 = 1; (c) x1 = x2 = 1.
Figure 6. Propagation and density plots for the degenerate solution of nonlinear wave solution (25) based on λ = 0.2, where β = 1, ω1 = − (α), ${\omega }_{3}=-\wp ^{\prime} (\alpha )-\wp (\alpha )$, σ2 = σ3 = 1, σi(i = 4, …, n) = 0, C1,1 = C1,2 = 1. (a) x2 = x3 = 1; (b) x1 = x3 = 1; (c) x1 = x2 = 1.
The evolution for the solution (28) in the x1-t, x2-t, and x3-t space for various λ values after degeneracy is illustrated in figures 7 and 8, from which it can be witnessed that the breather wave (28) on the Weierstrass elliptic function periodic background transforms into a three-soliton wave after degeneracy. Figures 7 and 8 both illustrate the three-soliton interaction, and the corresponding characteristic splitting and coalescence of soliton energies can be observed during the interaction.
Figure 7. Propagation and density plots for the degenerate solution of nonlinear wave solution (28) based on λ = 2.2, where β = 1, ${\omega }_{1}=-2\wp ^{\prime} (\alpha )$, ${\omega }_{3}=\wp (\alpha )-\wp ^{\prime} (\alpha )$, σ2 = σ3 = 1, σi(i = 4, …, n) = 0, ${C}_{1,j}={\rm{\exp }}({\alpha }_{1,j})$. (a) x2 = x3 = 1; (b) x1 = x3 = 1; (c) x1 = x2 = 1.
Figure 8. Propagation and density plots for the degenerate solution of nonlinear wave solution (28) based on λ = 2, where β = 1, ${\omega }_{1}=-2\wp ^{\prime} (\alpha )$, ${\omega }_{3}=\wp (\alpha )-\wp ^{\prime} (\alpha )$, σ2 = σ3 = 1, σi(i = 4, …, n) = 0, ${C}_{1,j}={\rm{\exp }}({\alpha }_{1,j})$. (a) x2 = x3 = 1; (b) x1 = x3 = 1; (c) x1 = x2 = 1.
Comparing figures 5 and 7, it can be summarized that the degenerate solution obtained after construction by elliptic square root (M = 2) is a two-soliton solution, and the degenerate solution obtained by elliptic cube root (M = 3) is a three-soliton solution. In order to numerically verify the stability of nonlinear wave solutions, we take the degenerate solutions of nonlinear wave solutions (25) and (28) as examples and conduct numerical simulations using the finite difference method. Figure 9 shows the evolution for the degenerate solutions of nonlinear wave solutions (25) (the initial condition is taken as t = 0) and (28) (the initial condition is taken as t = − 2) with spatial variable x1 at three different time points. The numerical validation of other solutions, as well as more numerical solutions, and even data-driven solutions obtained from the physics informed neural network, are our next research topics to overcome the difficulty of constructing exact solutions on periodic backgrounds.
Figure 9. Propagation for the degenerate solutions of nonlinear wave solutions (a) (25) and (b) (28) with spatial variable x1 at three different time points.

5. Conclusions and discussions

The investigation of nonlinear waves and their underlying physical dynamics on the periodic background, especially elliptic function periodic wave background, has attracted increasing attentions. Although the computational complexity has greatly increased, nonlinear waves on periodic backgrounds have extremely rich dynamical properties and can better characterize physical reality.
In this paper, the eigenfunctions for the linear spectral problem corresponding to the gvcKP equation (1), with the Weierstrass function as the external potential, are constructed based on the Lamé function, from which some interesting physical meaningful nonlinear waves for the gvcKP equation (1) are derived by DT method. The methodology presented here exhibits a degree of generality, which can be generalized to a wide range of other soliton equations, provided the spatial part of the associated linear spectral problem is of the same form as equation (2b). Of course, there are still a number of issues that need to be addressed and further investigation is needed. Is it possible to develop a more systematic and efficient methodology for constructing generalized solutions to linear spectral problems? Can these problems be examined under broader conditions, thereby enabling the formulation of a wider spectrum of nonlinear wave solutions with practical significance? Furthermore, is it feasible to address other linear spectral problems utilizing Weierstrass elliptic functions as coefficients, particularly those that incorporate higher-order terms, thus facilitating the solutions of a wider range soliton models characterized by higher-order dispersion and nonlinear effects? These topics are currently under consideration for investigation in the near future.

This work is supported by the National Natural Science Foundation of China (Grant Nos. 12475007 and 12171433).

1
Hasegawa A 2002 Optical Soliton Theory and its Applications in Communication Berlin Springer

2
Malomed B A 2015 Nonlinear optics: symmetry breaking in laser cavities Nat. Photonics 9 287 289

DOI

3
Pitaevskii L, Stringari S 2016 Bose–Einstein Condensation and Superfluidity Oxford Oxford University Press

4
Bailung H, Sharma S K, Nakamura Y 2011 Observation of peregrine solitons in a multicomponent plasma with negative ions Phys. Rev. Lett. 107 255005

DOI

5
Ablowitz M J, Baldwin D E 2012 Nonlinear shallow ocean-wave soliton interactions on flat beaches Phys. Rev. E 86 036305

DOI

6
Yan Z 2011 Vector financial rogue waves Phys. Lett. A 375 4274 4279

DOI

7
Yang J K 2010 Nonlinear Waves in Integrable and Nonintegrable Systems Philadelphia, PA SIAM

8
Matveev V B, Smirnov A O 2018 AKNS and NLS hierarchies, MRW solutions, pn breathers, and beyond J. Math. Phys. 59 091419

DOI

9
Ablowitz M J 2023 Nonlinear waves and the inverse scattering transform Optik 178 170710

DOI

10
Gesztesy F, Holden H 2008 Soliton Equations and their Algebro-Geometric Solutions: (1+1)-Dimensional Continuous Models Vol. II Cambridge Cambridge University Press

11
Raissi M, Perdikaris P, Karniadakis G E 2019 Physics-informed neural networks: a deep learning framework for solving forward and inverse problems involving nonlinear partial differential equations J. Comput. Phys. 378 686 707

DOI

12
Pu J C, Chen Y 2024 Lax pairs informed neural networks solving integrable systems J. Comput. Phys. 510 113090

DOI

13
Lin S N, Chen Y 2024 Gradient-enhanced physics-informed neural networks based on transfer learning for inverse problems of the variable coefficient differential equations Physica D 459 134023

DOI

14
Cao C W, Geng X G 1990 C neumann and bargmann systems associated with the coupled KdV soliton hierarchy J. Phys. A-Math. Gen. 23 4117 4125

DOI

15
Chen J B, Pelinovsky D E 2024 Rogue waves arising on the standing periodic waves in the Ablowitz–Ladik equation Stud. Appl. Math. 152 147 173

DOI

16
Chen J B, Pelinovsky D E, White R E 2020 Periodic standing waves in the focusing nonlinear Schrödinger equation: rogue waves and modulation instability Physica D 405 132378

DOI

17
Zhang H Q, Chen F 2021 Rogue waves for the fourth-order nonlinear Schrödinger equation on the periodic background Chaos 31 023129

DOI

18
Li R M, Geng X G 2023 Rogue waves and breathers of the derivative Yajima–Oikawa long wave-short wave equations on theta-function backgrounds J. Math. Anal. Appl. 527 127399

DOI

19
Li R M, Geng J R, Geng X G 2023 Rogue-wave and breather solutions of the Fokas–Lenells equation on theta-function backgrounds Appl. Math. Lett. 142 108661

DOI

20
Hoefer M A, Mucalica A, Pelinovsky D E 2023 KdV breathers on a cnoidal wave background J. Phys. A-Math. Theor. 56 185701

DOI

21
Feng B F, Ling L M, Takahashi D A 2020 Multi-breather and high-order rogue waves for the nonlinear Schrödinger equation on the elliptic function background Stud. Appl. Math. 144 46 101

DOI

22
Yang Y Q, Dong H H, Chen Y 2021 Darboux–Bäcklund transformation and localized excitation on the periodic wave background for the nonlinear Schrödinger equation Wave Motion 106 102787

DOI

23
Li J B, Yang Y Q, Sun W Y 2024 Breather wave solutions on the Weierstrass elliptic periodic background for the (2+1)-dimensional generalized variable-coefficient KdV equation Chaos 34 023141

DOI

24
Xu X M, Yang Y Q 2024 The localized excitation on the Jacobi elliptic function periodic background for the Gross–Pitaevskii equation Appl. Math. Lett. 157 109208

DOI

25
Wang Y Q, Li J B, Sun W Y, Yang Y Q 2024 The localized excitation on the weierstrass elliptic function periodic background for the (3+ 1)-dimensional generalized variable-coefficient Kadomtsev–Petviashvili equation Phys. Scripta 99 105246

DOI

26
Kedziora D J, Ankiewicz A, Akhmediev N 2014 Rogue waves and solitons on a cnoidal background Eur. Phys. J-Spec. Top. 223 43 62

DOI

27
Chin S A, Ashour O A, Nikolić S N, Belić M R 2017 Peak-height formula for higher-order breathers of the nonlinear Schrödinger equation on nonuniform backgrounds Phys. Rev. E 95 012211

DOI

28
Lou S Y, Cheng X P, Tang X Y 2014 Dressed dark solitons of the defocusing nonlinear Schrödinger equation Chin. Phys. Lett. 31 070201

DOI

29
Lin J, Jin X W, Gao X L, Lou S Y 2018 Solitons on a periodic wave background of the modified KdV-Sine-Gordon equation Commun. Theor. Phys. 70 119 126

DOI

30
Peng W Q, Pu J C, Chen Y 2022 PINN deep learning method for the Chen–Lee–Liu equation: rogue wave on the periodic background Commun. Nonlinear Sci. 105 106067

DOI

31
Liu M K, Yang Z Y, Yang W L 2017 Nonlinear waves on localized and periodic backgrounds with time-space modulation Commun. Theor. Phys. 67 520 526

DOI

32
Lou Y, Zhang Y 2022 Breathers on elliptic function background for a generalized nonlinear Schrödinger equation with higher-order terms Math. Comput. Simul. 197 22 31

DOI

33
Fan F C, Tang W, Yu G F 2005 Breather and rogue wave solutions on the different periodic backgrounds in the focusing nonlinear Schrödinger equation Stud. Appl. Math. 152 e70026

34
Xu G Q, Wazwaz A M 2023 A new (n + 1)-dimensional generalized Kadomtsev–Petviashvili equation: integrability characteristics and localized solutions Nonlinear Dyn. 111 9495 9507

DOI

35
Huang L L, Yue Y F, Chen Y 2018 Localized waves and interaction solutions to a (3+1)-dimensional generalized KP equation Comput. Math. Appl. 76 831 844

DOI

36
Li J B, Yang Y Q, Sun W Y 2024 Localized excitation on the Jacobi elliptic periodic background for the (n+1)-dimensional generalized Kadomtsev–Petviashvili equation arXiv:2407.19805

37
Pastras G 2020 The Weierstrass Elliptic Function and Applications in Classical and Quantum Mechanics: A Primer for Advanced Undergraduates Berlin Springer

38
Li X, Zhang D J 2020 Elliptic soliton solutions: τ functions, vertex operators and bilinear identities J. Nonlinear Sci. 32 70

DOI

39
Nijhoff F W, Sun Y Y, Zhang D J 2023 Elliptic solutions of Boussinesq type lattice equations and the elliptic Nth root of unity Commun. Math. Phys. 399 599 650

DOI

40
Sun Y Y, Sun W Y 2022 An update of a Bäcklund transformation and its applications to the Boussinesq system Appl. Math. Comput. 421 126964

DOI

41
Sun W Y, Sun Y Y 2022 The degenerate breather solutions for the Boussinesq equation Appl. Math. Lett. 128 107884

DOI

Outlines

/