Welcome to visit Communications in Theoretical Physics,
Nuclear Physics

Identity of the rotational bands in 251Md and 255Lr by a particle-number-conserving method based on the cranked shell model

  • Hai-Yang Cao 1 ,
  • Qing-Qing Zhang 1 ,
  • Jun Zhang 2 ,
  • Xiao-Tao He , 1
Expand
  • 1College of Materials Science and Technology, Nanjing University of Aeronautics and Astronautics, Nanjing 210016, China
  • 2College of Physics, Nanjing University of Aeronautics and Astronautics, Nanjing 210016, China

Received date: 2025-04-10

  Revised date: 2025-05-20

  Accepted date: 2025-05-27

  Online published: 2025-07-22

Copyright

© 2025 Institute of Theoretical Physics CAS, Chinese Physical Society and IOP Publishing. All rights, including for text and data mining, AI training, and similar technologies, are reserved.
This article is available under the terms of the IOP-Standard License.

Abstract

The observed identical π7/2[514] band and near-identical π1/2[521] band in 251Md and 255Lr are investigated using the cranked shell model (CSM) with the particle-number-conserving (PNC) pairing method. The experimental kinematic moments of inertia (MOIs) J(1) for each band are reproduced well by the PNC-CSM calculations. A remarkable identity is exhibited for the variation of the calculated MOIs J(1) versus the frequency between 251Md and 255Lr, which is attributed to the identical contributions of the alignment from the blocked proton orbitals π[514]7/2 (π[521]1/2) in 251Md and 255Lr. The slight differences of J(1) at high frequency ℏω > 0.2 MeV for the near-identical π1/2[521] band are due to the contributions of the direct term j(1)(μ) and the interference term j(1)(μν) based on the neutron orbital ν9/2[734]. The B(E2) values are lower in 251Md than in 255Lr while the pairing gaps are almost the same for the π7/2[514] and π1/2[521] bands. The behaviors of the B(E2) values (pairing gaps) versus frequency are predicted to exhibit a remarkable similarity in 251Md and 255Lr.

Cite this article

Hai-Yang Cao , Qing-Qing Zhang , Jun Zhang , Xiao-Tao He . Identity of the rotational bands in 251Md and 255Lr by a particle-number-conserving method based on the cranked shell model[J]. Communications in Theoretical Physics, 2025 , 77(11) : 115301 . DOI: 10.1088/1572-9494/addcdc

1. Introduction

Recently, many decay and in-beam spectroscopic studies of transfermium nuclei have been performed to investigate their detailed structure. Using advanced γ-ray spectroscopy, an identical π7/2[514] band and a near-identical π1/2[521] band have been observed in 251Md and 255Lr have been observed [13]. This is the first report on the possible case of identical bands (IBs) in the transfermium mass region. IBs are two bands that have essentially identical transition energies and thus essentially identical moments of inertia (MOIs). The initial observation of IBs was made in A = 150 and 190 mass regions [46]. Shortly afterwards, the fascinating phenomenon of IBs was studied, and they span different shapes in several mass regions [7, 8]. An excellent and comprehensive review of the experimental and theoretical work on IBs was given in [9]. Theoretical proposals based on various schemes have been successfully used to explain certain classes of IBs in several mass regions [7, 8, 10, 11], while the precise quantitative description of the identity of the rotational bands in superheavy nuclei requires further study.
In the observed rotational bands in 251Md and 255Lr, the π1/2[521] band of 255Lr is similar to that of 251Md with only the favored signature band observed, while the band resulting from tagging by the α-decay from the π7/2[514] band displays two signature partners. For the rotational band based on the π7/2[514] configuration, five transitions are identical within 1 keV. The corresponding experimental kinematic MOIs J(1) for the π7/2[514] band in two nuclei are identical at the observed frequency ℏω = 0.05–0.20 MeV. The transition energies for the π1/2[521] band do not exhibit an expected high degree of similarity and are consistently larger in 255Lr than in 251Md. The corresponding experimental J(1) values are nearly identical.
A theory using mean-field approaches suggests that the identity of the rotational bands results from a cancellation of several contributions (deformation, mass, pairing) rather than from a simple quantum alignment or purely related to single-particle properties [3]. These issues require further theoretical investigation.
In the present work, the observed identical π7/2[514] band and near-identical π1/2[521] band in 255Lr and 251Md are investigated by the cranked shell model (CSM) with pairing correlations treated by a particle-number-conserving (PNC) pairing method. The PNC-CSM has been employed successfully to describe the identity of the rotational bands [8, 1214]. In the PNC method, the Hamiltonian is solved directly in a truncated Fork space [15], thereby the particle number is conserved and the Pauli blocking effects are taken into account exactly. It is convenient to study the influences of the blocking effects and pairing correlations on the identity of the rotational bands.

2. Theoretical framework

The details of the PNC-CSM method can be found in [16]. For convenience, the related formulae of the PNC-CSM method are given briefly here. The cranked shell model Hamiltonian is
$\begin{eqnarray}{H}_{{\rm{CSM}}}={H}_{{\rm{0}}}+{H}_{{\rm{P}}}={H}_{{\rm{Nil}}}-\omega {J}_{x}+{H}_{{\rm{P}}},\end{eqnarray}$
where HNil is the Nilsson Hamiltonian, −ωJx is the Coriolis interaction with cranking frequency ω about the x-axis (perpendicular to the nuclear symmetrical z-axis), H0 = HNil − ωJx is the one-body part of HCSM, and HP is the pairing interaction. The pairing interaction HP includes both monopole and quadrupole pairing (HP(0) and HP(2)) interactions,
$\begin{eqnarray}{H}_{{\rm{P}}}(0)=-{G}_{0}\displaystyle \sum _{\xi \eta }{a}_{\xi }^{\dagger }{a}_{\overline{\xi }}^{\dagger }{a}_{\overline{\eta }}{a}_{\eta },\end{eqnarray}$
$\begin{eqnarray}{H}_{{\rm{P}}}(2)=-{G}_{2}\displaystyle \sum _{\xi \eta }{q}_{2}(\xi ){q}_{2}(\eta ){a}_{\xi }^{\dagger }{a}_{\overline{\xi }}^{\dagger }{a}_{\overline{\eta }}{a}_{\eta },\end{eqnarray}$
where ξ(η) is the eigenstate of the single-particle Hamiltonian hNil, $\overline{\xi }$ $(\overline{\eta })$ denotes its time reversal state, ${a}_{\xi }^{\dagger }{a}_{\overline{\xi }}^{\dagger }$ $({a}_{\overline{\eta }}{a}_{\eta })$ labels the pairing creation (annihilation) operator, and ${q}_{2}(\xi )\,=\sqrt{16\pi /5}\langle \xi | {r}^{2}{Y}_{20}| \xi \rangle $ is the diagonal element of the stretched quadrupole operator. G0 and G2 are the effective strengths of the monopole and quadrupole pairing interactions, respectively.
Due to the Coriolis interaction, −ωJx, the time reversal symmetry is broken. However, for a reflection-symmetric nucleus, the symmetry of rotation by π around the x-axis, Rx(π) = ${{\rm{e}}}^{-{\rm{i}}\pi {J}_{x}}$, still holds. The cranked single-particle orbital μ can be characterized by the signature α = ± 1/2 [the eigenvalue of Rx(π)].
By diagonalizing the HCSM in a sufficiently large cranked many-particle configuration (CMPC) space, sufficiently accurate solutions for low-lying excited eigenstates of HCSM are obtained, which can be written as
$\begin{eqnarray}| \psi \rangle =\displaystyle \sum _{i}{C}_{i}| i\rangle \,\,\,\,({C}_{i}{\rm{is}}\,{\rm{real}}),\end{eqnarray}$
where ∣i⟩ = ∣μ1μ2μn⟩ is a CMPC, defined as the occupation of particles in the cranked orbitals, and Ci as the corresponding probability amplitude.
The angular-momentum alignment for the state ∣ψ⟩ is
$\begin{eqnarray}\begin{array}{r}\langle \psi | {J}_{x}| \psi \rangle =\displaystyle \sum _{i}{C}_{i}^{2}\langle i| {J}_{x}| i\rangle +2\displaystyle \sum _{i\lt j}{C}_{i}{C}_{j}\langle i| {J}_{x}| j\rangle \\ \,=\,\displaystyle \sum _{\mu }{j}_{x}(\mu )+\displaystyle \sum _{\mu \lt \nu }{j}_{x}(\mu \nu ).\end{array}\end{eqnarray}$
Because Jx is a one-body operator, the matrix element ⟨iJxj⟩(i ≠ j) may not vanish only when ∣i⟩ and ∣j⟩ differ by one particle occupation. After a certain permutation of creation operators, ∣i⟩ and ∣j⟩ are reconstructed into
$\begin{eqnarray}| i\rangle ={(-)}^{{M}_{i\mu }}| \mu \cdots \,\rangle ,\quad | j\rangle ={(-)}^{{M}_{j\nu }}| \nu \cdots \,\rangle ,\end{eqnarray}$
where the ellipses stand for the same particle occupation and ${(-)}^{{M}_{i\mu }}=\pm 1,{(-)}^{{M}_{j\nu }}=\pm 1$ depend on whether the permutation is even or odd. The direct term jx(μ) and the interference term jx(μν) can be written as
$\begin{eqnarray}{j}_{x}(\mu )={n}_{\mu }\langle \mu | {j}_{x}| \mu \rangle ,\end{eqnarray}$
$\begin{eqnarray}{j}_{x}(\mu \nu )=2\langle \mu | {j}_{x}| \nu \rangle \displaystyle \sum _{i\lt j}{(-1)}^{{M}_{i\mu }+{M}_{j\nu }}{C}_{i}^{* }{C}_{j},(\mu \ne \nu ),\end{eqnarray}$
where nμ = ∑iCi2P is the occupation probability of the cranked orbital μ, P = 1 if ∣μ⟩ is occupied in ∣i⟩, otherwise, P = 0.
The kinematic MOI of the state ∣ψ⟩ is
$\begin{eqnarray}{J}^{(1)}=\frac{1}{\omega }\langle \psi | {J}_{x}| \psi \rangle .\end{eqnarray}$
The experimental kinematic MOIs for each band are extracted by
$\begin{eqnarray}\frac{{J}^{(1)}(I)}{{\hslash }^{2}}=\frac{2I+1}{{E}_{\gamma }(I+1\to I-1)}.\end{eqnarray}$
The relation between the rotational frequency ω and nuclear angular momentum I is
$\begin{eqnarray}\hslash \omega (I)=\frac{{E}_{\gamma }(I+1\to I-1)}{{I}_{x}(I+1)-{I}_{x}(I-1)},\end{eqnarray}$
where ${I}_{x}(I)=\sqrt{{(I+1/2)}^{2}-{K}^{2}}$, K is the projection of nuclear total angular momentum along the symmetry z-axis of an axially symmetric nuclei.

3. Results and discussions

3.1. Nilsson single-particle levels

The parameters (κμ) are taken from [17]. The values of proton κ5μ5 and neutron κ6μ6 are modified slightly to reproduce the correct single-particle level sequence when ϵ6 is included. The deformation parameters ϵ2ϵ4 and ϵ6 are input parameters in the PNC-CSM calculations. The quadrupole deformation parameter ϵ2 = 0.25 and ϵ2 = 0.265 for 251Md and 255Lr, respectively, which is adopted by consulting the values in [1719]. The deformation parameters of ϵ4 = 0.0, ϵ6 = 0.04 for 251Md and ϵ4 = 0.02, ϵ6 = 0.04 for 255Lr are taken from [19].
In principle, the effective pairing strengths (G0 for monopole pairing and G2 for quadrupole pairing) can be determined by the odd–even differences in experimental binding energies. They are also connected with the dimension of the truncated CMPC space. In the present work, the effective pairing strengths in units of MeV are given as follows: G0p = 0.225, G2p = 0.01, G0n = 0.25, and G2n = 0.02. The CMPC space is constructed in the proton N = 4, 5, 6 and the neutron N = 6, 7 shells. For both protons and neutrons, the dimensions of the CMPC space are approximately 1000. The PNC-CSM calculations are stable against changes of dimensions in the CMPC space [20].
The calculated Nilsson levels near the Fermi surface of 255Lr for protons and neutrons are shown in figure 1. The signature α = + 1/2(α = − 1/2) levels are denoted by solid (dotted) lines. The sequence of single-particle levels near the Fermi surface is the same as that determined from the experimental information of 255Lr. It is seen that there are deformed shell gaps at Z = 100 and N = 152, which is consistent with the experimental findings and calculations using the Woods–Saxon potential [21]. Based on such a sequence of single-particle levels, the experimental ground state with the configuration π1/2[521] and the first excited state with the configuration π7/2[514] in 255Lr, and the experimental ground state with the configuration π7/2[514] and the first excited state with the configuration π1/2[521] in 251Md can be reproduced.
Figure 1. The calculated Nilsson levels near the Fermi surface of 255Lr for protons (a) and neutrons (b). The signature α = + 1/2(α = − 1/2) levels are denoted by solid (dotted) lines.

3.2. Moments of inertia

The experimental and theoretical kinematic MOIs J(1) for π7/2[514] and π1/2[521] bands in 251Md and 255Lr are shown in figure 2. The experimental data are denoted by black solid (α = +1/2) and red open (α = −1/2) circles, which are taken from [13]. The PNC-CSM calculations are denoted by black (α = +1/2) and red (α = −1/2) lines, respectively. ${J}_{n}^{(1)}$ and ${J}_{p}^{(1)}$ represent the contributions to J(1) from neutrons and protons, respectively. For the π1/2[521] band, with a lack of experimental data for the signature α = −1/2 band, only the calculated MOIs are shown.
Figure 2. The experimental and calculated kinematic MOIs J(1) for the π7/2[514] band and π1/2[521] band in 251Md and 255Lr. The experimental data are denoted by black solid (α = +1/2) and red open (α = −1/2) circles, which are taken from [13]. The PNC-CSM calculations are denoted by black (α = + 1/2) and red (α = − 1/2) lines, respectively. ${J}_{n}^{(1)}$ and ${J}_{p}^{(1)}$ represent the separate contributions to J(1) from neutrons and protons, respectively.
As shown in figures 2(a)–(d), the observed identical π7/2[514] and near-identical π1/2[521] bands in 251Md and 255Lr are reproduced well by the PNC-CSM calculations. In figures 2(a) and (b), the increase of calculated kinematic MOIs J(1) for the π7/2[514] band is very similar at the observed frequency ℏω = 0.05–0.20 MeV, consistent with experimental observations. In figure 2(c), the experimental MOIs J(1) for the π1/2[521] band in 251Md exhibit a sharp decrease of approximately 30 2MeV at low frequency (ℏω < 0.1 MeV), and the behavior is well reproduced. A similar situation is predicted for 255Lr by the PNC-CSM calculations in figure 2(d). The sharp decrease at low frequency primarily stems from the contributions to J(1) from protons ${J}_{p}^{(1)}$ in the π1/2[521] (α = +1/2) band. The π1/2[521] band is predicted with a significant signature splitting at low frequency that has not been observed experimentally. At higher frequency, the increase of the experimental MOIs J(1) for the π1/2[521] band in 251Md is more pronounced than that in 255Lr. This discrepancy is attributed to the contributions to J(1) from neutrons ${J}_{n}^{(1)}$ and will be discussed in figure 4. Notably, the equivalent contributions to J(1) from neutrons ${J}_{n}^{(1)}$ in π7/2[514] band are equal to those in the π1/2[521] band, for 251Md or 255Lr, suggesting that the identical phenomenon in the π7/2[514] band may evolve into being near-identical at high frequency, which needs to be confirmed in future experiments.
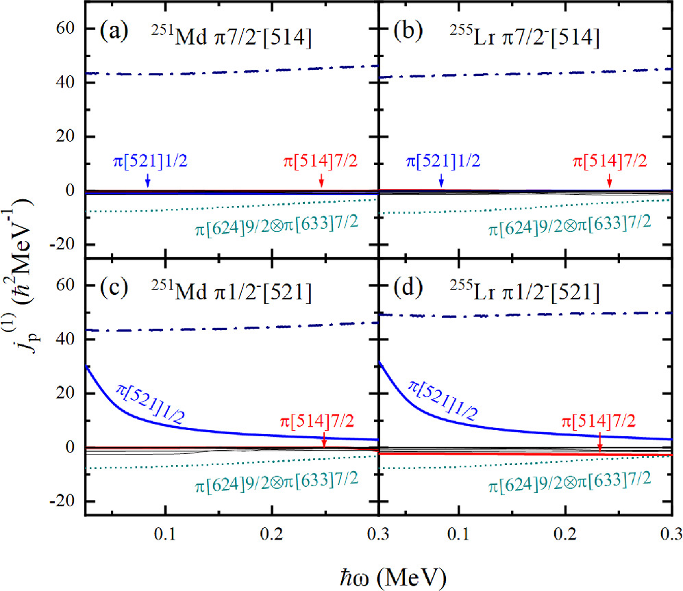
The PNC-CSM calculations provide detailed information on the contributions to the MOIs J(1) from each cranked orbital, including the direct term j(1)(μ) and the interference term j(1)(μν). The calculated j(1)(μ) and j(1)(μν) from the proton major shells N = 4, 5, 6 for the π7/2[514] and π1/2[521] bands in 251Md and 255Lr are shown in figure 3. The sum of the contributions from the proton orbitals below the Z = 100 subshell (blue dash–dotted lines) is almost identical for the π7/2[514] bands in 251Md and 255Lr, as shown in figures 3(a) and (b), respectively. Similar results are obtained for the π1/2[521] band, as shown in figures 3(c) and (d). Compared to the π7/2[514] band in 251Md, the change for contributions to ${J}_{p}^{(1)}$ caused by two additional protons occupying the orbital π[521]1/2 is almost negligible in 255Lr. The similar contributions from each cranked proton orbital and the blocking of the unpaired nucleon on the proton orbital π[514]7/2 explain the identity of the total ${J}_{p}^{(1)}$ for the π7/2[514] bands in 251Md and 255Lr. As shown in figures 3(c) and (d), similar results are obtained for the π1/2[521] band and will not be repeated here.
Figure 3. Calculated contributions to the MOIs ${J}_{p}^{(1)}$ from each cranked proton orbital, including the direct term j(1)(μ) and the interference term j(1)(μν), for the π7/2[514] and π1/2[521] bands in 251Md and 255Lr. The sum of the contributions from the proton orbitals below the Z = 100 subshell is denoted by blue dash–dotted lines. j(1)(μ) and j(1)(μν) are denoted simply by μ and μ ⨂ ν, respectively.
Figure 4. Calculated contributions to the MOIs ${J}_{n}^{(1)}$ from each major shell (N = 6, 7), and contributions of each cranked neutron orbital in the N = 7 shell, for 251Md and 255Lr. The contributions to ${J}_{n}^{(1)}$ from each major shell (N = 6, 7) are denoted by blue dash–dotted lines. j(1)(μ) and j(1)(μν) are denoted simply by μ and μ ⨂ ν, respectively.
The calculated contributions to ${J}_{n}^{(1)}$ from each major shell, as well as the contributions from each cranked neutron orbital in the N = 7 shell, for 251Md and 255Lr, are shown in figure 4. The contributions to ${J}_{n}^{(1)}$ from N = 6, 7 shells are denoted by blue dash–dotted lines. As shown in figure 4, the contributions from the N = 6 shell are nearly identical in 251Md and 255Lr, while they are different in the N = 7 shell. Comparing figures 4(a) and (b), the two additional neutrons in 255Lr occupying the orbital ν9/2[734] lead to an obvious difference in the contributions of the direct term j(1)(μ) (solid lines) and the interference term j(1)(μν) (dotted lines), which results in larger differences in the ${J}_{n}^{(1)}(N=7)$ of 255Lr compared to that of 251Md at high frequency ℏω > 0.2 MeV, while they remains similar at low frequency. The identical and near-identical phenomena of the MOIs in 251Md and 255Lr can be understood by considering the similar contributions from each cranked orbital and the difference in the contributions of the direct term j(1)(μ) and the interference term j(1)(μν) based on the neutron orbital ν9/2[734].

3.3. Pairing correlations

The nuclear pairing gaps [22, 23] in the PNC-CSM formalism are defined as
$\begin{eqnarray}\tilde{{\rm{\Delta }}}={G}_{0}{\left[-\frac{1}{{G}_{0}}\langle \psi | {H}_{{\rm{P}}}| \psi \rangle \right]}^{1/2}.\end{eqnarray}$
For the quasiparticle vacuum band, $\tilde{{\rm{\Delta }}}$ are reduced to the usual definition of the nuclear pairing gaps Δ when the Hamiltonian only includes the monopole pairing correlation [23].
In figure 5, the calculated neutron and proton pairing gaps $\tilde{{\rm{\Delta }}}$ as a function of rotational frequency for the ground-state band and the one-quasiparticle excitation band in 251Md and 255Lr are shown. As shown in figure 5, the pairing gaps of the protons are smaller than those of the neutrons due to blocking effects. The blocking effects gradually weaken with increasing frequency as a result of the Coriolis antipairing effect. The pairing gaps in 251Md are slightly smaller than those in 255Lr, which is due to the existence of the proton Z = 100 subshell gap. It is evident that the variation of pairing gaps versus frequency for both neutrons and protons exhibits a remarkable similarity in 251Md and 255Lr.
Figure 5. Calculated pairing gaps for the ground-state and one-quasiparticle excitation bands in 251Md and 255Lr. The configurations of one-quasiparticle bands are: π7/2[514] and π1/2[521].

3.4. Electronic quadrupole transition probabilities

The electronic quadrupole transition probabilities B(E2) are important quantities for testing nuclear wavefunctions and to deduce quadrupole collectivities. In the semiclassical approximation, the transition probabilities B(E2) can be obtained as
$\begin{eqnarray}B(E2)=\frac{3}{8}| \langle \psi | {Q}_{20}^{p}| \psi \rangle {| }^{2},\end{eqnarray}$
where ∣ψ⟩ is the eigenstate of the CSM Hamiltonian. ${Q}_{20}^{p}$ corresponds to the laboratory quadrupole moment of protons and can be obtained as
$\begin{eqnarray}{Q}_{20}^{p}={r}^{2}{Y}_{20}=\sqrt{\frac{5}{16\pi }}(3{z}^{2}-{r}^{2}).\end{eqnarray}$
Note that the valence single-particle space is constructed in the major shells from N = 4 to N = 6 for protons, with no effective charge involved in calculating the B(E2) values.
The calculated B(E2) values as a function of rotational frequency ℏω for the π7/2[514] and π1/2[521] bands in 251Md and 255Lr are shown in figure 6. The B(E2) values remain almost constant at ℏω < 0.10 MeV, reflecting that these nuclei have a stable rotor character with large collectivity at low frequency. Since more valence nucleons participate in the collective behavior, the B(E2) value of π7/2[514] band (π1/2[521] band) in 255Lr is larger than that of 251Md. The behaviors of the B(E2) values versus rotational frequency for the π7/2[514] band (π1/2[521] band) exhibit remarkable similarity in 251Md and 255Lr over the entire rotational frequency range.
Figure 6. Calculated B(E2) values for the π7/2[514] and π1/2[521] bands in 251Md and 255Lr.

4. Summary

In summary, the observed identical π7/2[514] and near-identical π1/2[521] bands in 251Md and 255Lr are investigated using the CSM-PNC pairing method. The Pauli blocking effects are strictly accounted for in the PNC method. The experimental kinematic MOIs J(1) for each band are reproduced quite well by the PNC-CSM calculations. A remarkable identity is exhibited for the variation of the calculated MOIs J(1) versus the frequency between 251Md and 255Lr, which is attributed to the identical contributions of the alignment from the blocked proton orbitals π[514]7/2 (π[521]1/2) in 251Md and 255Lr. The slight differences of J(1) at high frequency ℏω > 0.2 MeV for the near-identical π1/2[521] band are due to the contributions of the direct term j(1)(μ) and the interference term j(1)(μν) based on the neutron orbital ν9/2[734].
The values of B(E2) are lower in 251Md than in 255Lr. The pairing gaps are almost the same, being only slightly smaller in 251Md than in 255Lr. For the π7/2[514] and π1/2[521] bands, the behaviors of the B(E2) values (pairing gaps) versus frequency are predicted to exhibit remarkable similarity in 251Md and 255Lr.

This work is supported by the National Key R&D Program of China (Contract Nos. 2023YFA1606503 and 2024YFE0109804), the National Natural Science Foundation of China (Grant No. 12475121), and the China Scholarship Council (Grant No. EWXM2311280008).

1
Herzberg R-D, Greenlees P T 2008 In-beam and decay spectroscopy of transfermium nuclei Prog. Part. Nucl. Phys. 61 674 720

DOI

2
Ketelhut S 2009 γ-ray spectroscopy at the limits: first observation of rotational bands in 255Lr Phys. Rev. Lett. 102 212501

DOI

3
Briselet R 2020 In-beam γ-ray and electron spectroscopy of 249,251Md Phys. Rev. C 102 014307

DOI

4
Twin P J 1986 Observation of a discrete-line superdeformed band up to 60 in 152Dy Phys. Rev. Lett. 57 811 814

DOI

5
Byrski T 1990 Observation of identical superdeformed bands in N=86 nuclei Phys. Rev. Lett. 64 1650 1653

DOI

6
Stephens F S 1990 Pseudospin symmetry and quantized alignment in nuclei Phys. Rev. Lett. 65 301 304

DOI

7
Sarkar M (S ), Sen S 1994 Simple phenomenology for the ground-state bands of even–even nuclei Phys. Rev. C 50 2794 2799

DOI

8
Zeng J Y, Liu S X, Lei Y A, Yu L 2001 Microscopic mechanism of normally deformed identical bands at low spin in the rare-earth nuclei Phys. Rev. C 63 024305

DOI

9
Baktash C, Haas B, Nazarewicz W 1995 Identical bands in deformed and superdeformed nuclei Annu. Rev. Nucl. Part. Sci. 45 485 541

DOI

10
Karlsson L B, Ragnarsson I, Åberg S 1998 Identical bands in superdeformed nuclei Phys. Lett. B 416 16 22

DOI

11
Khalaf A M, Okasha M D, Ahmed G S M, Abdelsalam A 2020 Identical bands in doubly even nuclei in framework of variable moment of inertia (VMI) and interacting boson models Nucl. Phys. A 997 121719

DOI

12
Liu S X, Zeng J Y, Zhao E G 2002 Microscopic mechanism of identical superdeformed bands in 192,193,194Hg Phys. Rev. C 66 024320

DOI

13
Zhang J, Zhang H Q, He X T 2025 Rotational properties and blocking effects in N = 152 isotones 254No, 255Lr, and 256Rf Chin. Phys. C 49 024102

DOI

14
He X T, Liu S X, Yu S Y, Zeng J Y, Zhao E G 2005 The i13/2 proton intruder orbital and the identical superdeformed bands in 193,194,195Tl Eur. Phys. J. A 23 217 222

DOI

15
Wu C S, Zeng J Y 1989 Comparison of two kinds of truncations Phys. Rev. C 39 666 670

DOI

16
Zeng J Y, Lei Y A, Jin T H, Zhao Z J 1994 Blocking effect and odd–even differences in the moments of inertia of rare-earth nuclei Phys. Rev. C 50 746 756

DOI

17
Zhang Z H, He X T, Zeng J Y, Zhao E G, Zhou S G 2012 Systematic investigation of the rotational bands in nuclei with Z ≈ 100 using a particle-number conserving method based on a cranked shell model Phys. Rev. C 85 014324

DOI

18
Möller P, Nix J R, Myers W D, Swiatecki W J 1995 Nuclear ground-state masses and deformations At. Data Nucl. Data Tables 59 185 381

DOI

19
Möller P, Sierk A J, Ichikawa T, Sagawa H 2016 Nuclear ground-state masses and deformations: FRDM(2012) At. Data Nucl. Data Tables 109-110 1 204

DOI

20
Zeng J Y, Jin T H, Zhao Z J 1994 Reduction of nuclear moment of inertia due to pairing interaction Phys. Rev. C 50 1388 1397

DOI

21
Chasman R R, Ahmad I, Friedman A M, Erskine J R 1977 Survey of single-particle states in the mass region A>228 Rev. Mod. Phys. 49 833 891

DOI

22
Shimizu Y R, Garrett J D, Broglia R A, Gallardo M, Vigezzi E 1989 Pairing fluctuations in rapidly rotating nuclei Rev. Mod. Phys. 61 131 168

DOI

23
Wu X, Zhang Z H, Zeng J Y, Lei Y A 2011 Nuclear pairing reduction due to rotation and blocking Phys. Rev. C 83 034323

DOI

Outlines

/