Welcome to visit Communications in Theoretical Physics,
Gravitation Theory, Astrophysics and Cosmology

Constraints on light dark matter effective operators from the LUX-ZEPLIN experiment

  • Wen-Na Yang , 1, 2, 3 ,
  • Mai Qiao , 3 ,
  • Yu-Feng Zhou , 1, 2, 4, *
Expand
  • 1School of Fundamental Physics and Mathematical Sciences, Hangzhou Institute for Advanced Study, UCAS, Hangzhou 310024, China
  • 2Institute of Theoretical Physics, Chinese Academy of Sciences, Beijing 100190, China
  • 3University of Chinese Academy of Sciences, Beijing 100049, China
  • 4International Centre for Theoretical Physics Asia-Pacific (ICTP-AP), University of Chinese Academy of Sciences (UCAS), Beijing 100190, China

*Author to whom any correspondence should be addressed.

Received date: 2025-03-15

  Revised date: 2025-04-11

  Accepted date: 2025-04-29

  Online published: 2025-07-04

Copyright

© 2025 Institute of Theoretical Physics CAS, Chinese Physical Society and IOP Publishing. All rights, including for text and data mining, AI training, and similar technologies, are reserved.
This article is available under the terms of the IOP-Standard License.

Abstract

Light sub-GeV dark matter (DM) particles up-scattered by high-energy cosmic rays (CRs) (referred to as CRDM) can be energetic and become detectable by conventional DM direct detection experiments. Nevertheless, current CRDM theoretical frameworks remain limited by model-dependent parameterizations, whereas the effective operators provides a model-independent computing framework. In this work, we systematically investigate the general relativistic DM-nucleus spin-independent interactions. We first construct effective operators for dark matter with spin up to two, i.e. spin-1/2 fermionic DM (χ), the scalar DM (φ), the vector DM (Vμ), spin-3/2 fermionic DM ($\Psi$) and spin-2 DM (Tμν). We then derive the CRDM flux and the nuclear recoil event rate based on these operators, and employ nuclear recoil data from the LUX-ZEPLIN (LZ) experiment to constrain all effective operators. We set stringent constraints on the CRDM-nucleon scattering cross section for sub-GeV DM. Especially, our results show that the exclusion limits from the spin-2 Tμν operator differ by as much as ten orders of magnitude from those calculated using constant cross section.

Cite this article

Wen-Na Yang , Mai Qiao , Yu-Feng Zhou . Constraints on light dark matter effective operators from the LUX-ZEPLIN experiment[J]. Communications in Theoretical Physics, 2025 , 77(11) : 115402 . DOI: 10.1088/1572-9494/add1c4

1. Introduction

The existence of dark matter (DM) has been supported by cosmological and astrophysical observations [1]. However, its properties, including its mass and interactions, are still elusive. The majority of the current DM direct detection (DD) experiments search for nuclear recoil signals from the scatterings between the DM particles and target nucleus. Stringent constraints on the DM-nucleon scattering cross section have been established for DM particles with masses above ${ \mathcal O }(1\,{\rm{GeV}})$ through DD experiments. However, the search for light DM particles with masses below ${ \mathcal O }(1\,{\rm{GeV}})$ is generally challenging. Since the typical detection threshold of the current experiments is ${ \mathcal O }({\rm{k}}eV)$, the low kinetic energy of light DM particles leads to nuclear recoil energy that is significantly below this threshold. To address this limitation, inelastic processes are taken into account, for instance, bremsstrahlung processes [2] and the Migdal effect [38]. Nevertheless, even with the improvement from inelastic processes, current experimental constraints are primarily sensitive to DM particles with masses above the 40 MeV scale [913]. For lighter MeV scale DM particles, meaningful constraints require considerations like boosted DM scenarios [1426] or innovative experimental approaches [27].
There are several acceleration mechanisms of light DM discussed in the literature. Among them, the cosmic rays (CRs) boosted dark matter (CRDM) is an interesting scenario [15, 20], where light sub-GeV DM particles up-scattered by high-energy CRs can be energetic and become detectable by conventional DM direct detection experiments [17, 19, 28, 29]. For non-relativistic DM, the cross section of DM scattering with nucleons is often assumed to be momentum independent. However, when the mediator mass is lower than the transferred momentum, the full propagator should be included in the scattering cross section to obtain the more accurate results. The sub-GeV CRDM framework has been investigated in previous studies [21, 30] through simplified models incorporating various mediator types, including scalar, pseudoscalar, vector, axial-vector, and gravitational mediators. However, all such constraints are necessarily model-dependent, whereas effective operators [31] provide a complementary model-independent computational framework for light DM direct detection.
If the incoming DM and target nucleons/electrons are non-relativistic, the DM-nucleus and DM-atom scattering can both be well described by the non-relativistic (NR) effective operators. Concerning the DM direct detection experiments, the NR effective operators for scalar and fermionic DM-nucleon/electron scattering have been systematically investigated in [3238]. For vector DM case, the NR interactions induced in some simplified models were discussed in [3941]. Recently, [42, 43] have considered the possibility that the DM particle may have spin-3/2. Although the NR effective operators provide reliable frameworks for describing non-relativistic DM scattering processes, the application of NR effective operators may encounter limitations in certain scenarios. For instance, in the CRDM scenario, DM exhibits relativistic behavior while nuclei remain non-relativistic; the relativistic properties of DM should be taken into account in the calculations.
In this work, we systematically investigate relativistic DM-nucleus spin-independent scattering. Previous studies on spin-independent DM scattering have considered the most general basis of NR effective operators for DM-nucleus interactions, encompassing DM particles with spin up to 3/2 [38, 4244]. In this work, we extend this framework by constructing the most general operator basis for relativistic DM-nucleus interactions, including DM particles with spin up to 2. These operators can be generated from Lorentz-invariant interactions in various DM scenarios. Subsequently, we implement these operators within the CRDM framework to calculate the CRDM flux and the nuclear recoil event rate. Finally, based on this theoretical framework, we set stringent constraints on the CRDM-nucleon scattering cross section for sub-GeV DM using nuclear recoil data from the LZ experiment.
This work is organized as follows: in section 2, we introduce relativistic operators for DM direct detection. In section 3, we briefly review the production mechanisms of CRDM and the formalism for calculating the CRDM flux. We then discuss nuclear recoil event spectrum and data analysis process from LZ direct detection experiment in section 4. The constraints on these operators from LZ data are also given in section 4. We summarize the work and give some remarks in section 5.

2. Relativistic operators for DM-nucleus interactions

In the framework of DM direct detection, the elastic scattering process between DM particles and target nuclei constitutes a fundamental interaction mechanism that determines the event rates observable in detectors. To systematically analyze this process, we usually classify the possible dark matter-nucleus interaction into the spin-independent (SI) cross section and spin-dependent (SD) ones. We mainly focus on SI elastic scattering cases. The DM particles χ scatter off a target nucleus χ(p1) + N(p2) → χ(p3) + N(p4) via exchanging a mediator particle φ. The dominant effective interaction operators governing SI elastic scattering processes take the form
$\begin{eqnarray}{O}_{i}=\frac{1}{{q}^{2}+{m}_{\phi }^{2}}(\bar{\chi }{\rm{\Gamma }}\chi )(\bar{N}{{\rm{\Gamma }}}^{{\prime} }N),\end{eqnarray}$
where q = ∣q∣ = ∣p1 − p3∣ is the 3-momentum transfer. The matrices ${\rm{\Gamma }},{{\rm{\Gamma }}}^{{\prime} }$ are written as
$\begin{eqnarray}{\rm{\Gamma }},{{\rm{\Gamma }}}^{{\prime} }=\{{\bf{1}},{\gamma }^{5},{\gamma }^{\mu },{\gamma }^{\mu }{\gamma }^{5},{\sigma }^{\mu \nu }\}.\end{eqnarray}$
Previous studies have mainly focused on spin-1/2 and spin-1 DM candidates [44, 45]. We systematically investigate spin- independent effective interaction operators between different types of DM and nucleus. For example, scalar DM (complex or real scalar), spin-1/2 DM, vector DM (complex or real vector), spin-3/2 DM and spin-2 DM, respectively. For each type of DM particle, the effective operators for the DM-nucleus (χN) interaction are enumerated below.
Scalar DM: If the DM particles are complex scalars (φ), possible operators up to dimension six [46] are
$\begin{eqnarray}\begin{array}{l}{O}_{1}^{(5)}=\frac{2{m}_{\chi }}{{q}^{2}+{m}_{\phi }^{2}}{\phi }^{\dagger }\phi \bar{N}N,\\ {O}_{2}^{(6)}=\frac{1}{{q}^{2}+{m}_{\phi }^{2}}({\phi }^{\dagger }{\overleftrightarrow{\partial }}_{\mu }\phi )\bar{N}{\gamma }^{\mu }N,\end{array}\end{eqnarray}$
where, the double arrow derivative is defined as $A{\overleftrightarrow{\partial }}_{\mu }B\equiv A({\partial }_{\mu }B)-({\partial }_{\mu }A)B$. For real scalar DM particle, the vector operators ${O}_{2}^{(6)}$ vanish.
Spin-1/2 DM: For spin-1/2 DM particles (χ), up to dimension seven [38], the operators are written as
$\begin{eqnarray}\begin{array}{rcl}{O}_{3}^{(6)} & = & \frac{1}{{q}^{2}+{m}_{\phi }^{2}}\bar{\chi }\chi \bar{N}N,\\ {O}_{4}^{(6)} & = & \frac{1}{{q}^{2}+{m}_{\phi }^{2}}\bar{\chi }{\gamma }_{5}\chi \bar{N}N,\\ {O}_{5}^{(6)} & = & \frac{1}{{q}^{2}+{m}_{\phi }^{2}}\bar{\chi }{\gamma }_{\mu }\chi \bar{N}{\gamma }^{\mu }N,\\ {O}_{6}^{(6)} & = & \frac{1}{{q}^{2}+{m}_{\phi }^{2}}\bar{\chi }{\gamma }_{\mu }{\gamma }_{5}\chi \bar{N}{\gamma }^{\mu }N,\\ {O}_{7}^{(7)} & = & \frac{1}{{q}^{2}+{m}_{\phi }^{2}}{\partial }_{\mu }(\bar{\chi }{\sigma }^{\mu \nu }\chi )\bar{N}{\gamma }^{\nu }N,\\ {O}_{8}^{(7)} & = & \frac{1}{{q}^{2}+{m}_{\phi }^{2}}{\partial }_{\mu }(\bar{\chi }{\sigma }^{\mu \nu }{\gamma }_{5}\chi )\bar{N}{\gamma }^{\nu }N,\end{array}\end{eqnarray}$
in which, ${\sigma }^{\mu \nu }=\frac{i}{2}[{\gamma }^{\mu },{\gamma }^{\nu }]$. If the DM particles are Majorana ($\bar{\chi }=\chi $), the vector and tensor operators are vanishing identically.
Vector DM: For the vector DM (Vμ), we consider separately two cases: when the DM field is represented by the four-vector potential Vμ or by the field strength tensor Vμν = ∂μVν − ∂νVμ. Here we will mainly list the operators of dimension-five, dimension six and dimension seven.
$\begin{eqnarray}\begin{array}{l}{O}_{9}^{(5)}=\frac{2{m}_{\chi }}{{q}^{2}+{m}_{\phi }^{2}}{V}_{\mu }^{\dagger }{V}^{\mu }\bar{N}N,\\ {O}_{10}^{(6)}=\frac{1}{{q}^{2}+{m}_{\phi }^{2}}({V}_{\nu }^{\dagger }{\overleftrightarrow{\partial }}_{\mu }{V}^{\nu })\bar{N}{\gamma }^{\mu }N,\end{array}\end{eqnarray}$
$\begin{eqnarray}\begin{array}{l}{O}_{11}^{(6)}=\frac{1}{{q}^{2}+{m}_{\phi }^{2}}({\epsilon }^{\mu \nu \rho \sigma }{V}_{\nu }^{\dagger }{\overleftrightarrow{\partial }}_{\rho }{V}_{\sigma })\bar{N}{\gamma }^{\mu }N,\\ {O}_{12}^{(7)}=\frac{1}{{q}^{2}+{m}_{\phi }^{2}}\frac{1}{{m}_{\chi }}{V}_{\mu \nu }^{\dagger }{\tilde{V}}^{\mu \nu }\bar{N}N,\\ {O}_{13}^{(7)}=\frac{1}{{q}^{2}+{m}_{\phi }^{2}}\frac{1}{{m}_{\chi }}{V}_{\mu \nu }^{\dagger }{V}^{\mu \nu }\bar{N}N.\end{array}\end{eqnarray}$
For real vector DM particle, the vector operators ${O}_{10}^{(6)}$ and ${O}_{11}^{(6)}$ vanish.
Spin-3/2 DM: The most general operators for the spin-3/2 DM ($\Psi$) can be written as [42]
$\begin{eqnarray}\begin{array}{l}{O}_{14}^{(6)}=\frac{1}{{q}^{2}+{m}_{\phi }^{2}}{\bar{{\rm{\Psi }}}}_{\mu }{{\rm{\Psi }}}^{\mu }\bar{N}N,\\ {O}_{15}^{(6)}=\frac{1}{{q}^{2}+{m}_{\phi }^{2}}{\bar{{\rm{\Psi }}}}_{\mu }{\gamma }_{5}{{\rm{\Psi }}}^{\mu }\bar{N}N,\\ {O}_{16}^{(6)}=\frac{1}{{q}^{2}+{m}_{\phi }^{2}}{\bar{{\rm{\Psi }}}}_{\nu }{\gamma }_{\mu }{{\rm{\Psi }}}^{\nu }\bar{N}{\gamma }^{\mu }N,\\ {O}_{17}^{(6)}=\frac{1}{{q}^{2}+{m}_{\phi }^{2}}{\bar{{\rm{\Psi }}}}_{\nu }{\gamma }_{\mu }{\gamma }_{5}{{\rm{\Psi }}}^{\nu }\bar{N}{\gamma }^{\mu }N,\\ {O}_{18}^{(7)}=\frac{1}{{q}^{2}+{m}_{\phi }^{2}}{\partial }_{\mu }({\bar{{\rm{\Psi }}}}_{\rho }{\sigma }^{\mu \nu }{{\rm{\Psi }}}^{\rho })\bar{N}{\gamma }^{\nu }N,\\ {O}_{19}^{(7)}=\frac{1}{{q}^{2}+{m}_{\phi }^{2}}{\partial }_{\mu }({\bar{{\rm{\Psi }}}}_{\rho }{\sigma }^{\mu \nu }{\gamma }_{5}{{\rm{\Psi }}}^{\rho })\bar{N}{\gamma }^{\nu }N.\end{array}\end{eqnarray}$
Spin-2 DM: Similarly, for spin-2 DM particles (Tμν), let us consider a typical scenario as an illustration
$\begin{eqnarray}{O}_{20}^{(7)}=\frac{2{m}_{\chi }}{{q}^{2}+{m}_{\phi }^{2}}{T}_{\mu \nu }{T}^{\mu \nu }\bar{N}N.\end{eqnarray}$
Throughout this work, for simplicity, we assume that one of the operators dominates the scattering processes at a time. It is straightforward to extend the analysis to the processes involving multiple operators simultaneously.
In the relativistic limit, the differential cross section for χN elastic scattering can be written as
$\begin{eqnarray}\frac{{\rm{d}}{\sigma }_{\chi N}}{{\rm{d}}{q}^{2}}=\frac{\overline{| {M}_{\chi N}{| }^{2}}}{16\pi [{(s-{m}_{\chi }^{2}-{m}_{N}^{2})}^{2}-4{m}_{\chi }^{2}{m}_{N}^{2}]},\end{eqnarray}$
where $\overline{| {M}_{\chi N}{| }^{2}}$ is the squared matrix element averaged over the spins of initial states, $s={({m}_{N}+{m}_{\chi })}^{2}+2{m}_{N}{T}_{\chi }$ is the center-of-mass energy squared (CMS) of the process and q2 = 2mNTN. In this work, we mainly focus on analyzing scattering cross sections dσχN/dTN that converge to the non-relativistic limit, while the results of scattering cross sections for other effective interaction operators are shown in appendix A.
$\begin{eqnarray}\begin{array}{rcl}{\left(\frac{{\rm{d}}{\sigma }_{\chi N}}{{\rm{d}}{T}_{N}}\right)}_{{O}_{1}^{(5)}} & = & \frac{{\sigma }_{\chi N}^{{\rm{SI,NR}}}}{4{\mu }_{\chi N}^{2}s{T}_{N}^{{\rm{\max }}}}\frac{{m}_{\phi }^{4}}{{({q}^{2}+{m}_{\phi }^{2})}^{2}}\\ & & \times {m}_{\chi }^{2}({q}^{2}+4{m}_{N}^{2})\times {G}_{N}^{2}({q}^{2}),\end{array}\end{eqnarray}$
$\begin{eqnarray}\begin{array}{rcl}{\left(\frac{{\rm{d}}{\sigma }_{\chi N}}{{\rm{d}}{T}_{N}}\right)}_{{O}_{2}^{(6)}} & = & \frac{{\sigma }_{\chi N}^{{\rm{SI,NR}}}}{4{\mu }_{\chi N}^{2}s{T}_{N}^{{\rm{\max }}}}\frac{{m}_{\phi }^{4}}{{({q}^{2}+{m}_{\phi }^{2})}^{2}}\\ & & \times [{m}_{N}^{2}{q}^{2}-{q}^{2}s+{(s-{m}_{N}^{2}-{m}_{\chi }^{2})}^{2}]\\ & & \times {G}_{N}^{2}({q}^{2}),\end{array}\end{eqnarray}$
$\begin{eqnarray}\begin{array}{rcl}{\left(\frac{{\rm{d}}{\sigma }_{\chi N}}{{\rm{d}}{T}_{N}}\right)}_{{O}_{3}^{(6)}} & = & \frac{{\sigma }_{\chi N}^{{\rm{SI,NR}}}}{16{\mu }_{\chi N}^{2}s{T}_{N}^{{\rm{\max }}}}\frac{{m}_{\phi }^{4}}{{({q}^{2}+{m}_{\phi }^{2})}^{2}}\\ & & \times ({q}^{2}+4{m}_{\chi }^{2})({q}^{2}+4{m}_{N}^{2})\times {G}_{N}^{2}({q}^{2}),\end{array}\end{eqnarray}$
$\begin{eqnarray}\begin{array}{rcl}{\left(\frac{{\rm{d}}{\sigma }_{\chi N}}{{\rm{d}}{T}_{N}}\right)}_{{O}_{5}^{(6)}} & = & \frac{{\sigma }_{\chi N}^{{\rm{SI,NR}}}}{4{\mu }_{\chi N}^{2}s{T}_{N}^{{\rm{\max }}}}\frac{{m}_{\phi }^{4}}{{({q}^{2}+{m}_{\phi }^{2})}^{2}}\\ & & \times [\frac{1}{2}{q}^{4}-{q}^{2}s+{(s-{m}_{N}^{2}-{m}_{\chi }^{2})}^{2}]\times {G}_{N}^{2}({q}^{2}),\end{array}\end{eqnarray}$
$\begin{eqnarray}\begin{array}{rcl}{\left(\frac{{\rm{d}}{\sigma }_{\chi N}}{{\rm{d}}{T}_{N}}\right)}_{{O}_{9}^{(5)}} & = & \frac{{\sigma }_{\chi N}^{{\rm{SI,NR}}}}{12{\mu }_{\chi N}^{2}s{T}_{N}^{{\rm{\max }}}}\frac{{m}_{\phi }^{4}}{{({q}^{2}+{m}_{\phi }^{2})}^{2}}\\ & & \times \frac{\left[\frac{{q}^{4}}{4}+{m}_{\chi }^{2}{q}^{2}+3{m}_{\chi }^{4}\right]}{{m}_{\chi }^{2}}({q}^{2}+4{m}_{N}^{2})\\ & & \times {G}_{N}^{2}({q}^{2}),\end{array}\end{eqnarray}$
$\begin{eqnarray}\begin{array}{rcl}{\left(\frac{{\rm{d}}{\sigma }_{\chi N}}{{\rm{d}}{T}_{N}}\right)}_{{O}_{10}^{(6)}} & = & \frac{{\sigma }_{\chi N}^{{\rm{SI,NR}}}}{12{\mu }_{\chi N}^{2}s{T}_{N}^{{\rm{\max }}}}\frac{{m}_{\phi }^{4}}{{({q}^{2}+{m}_{\phi }^{2})}^{2}}\\ & & \times \frac{\left[\frac{{q}^{4}}{4}+{m}_{\chi }^{2}{q}^{2}+3{m}_{\chi }^{4}\right]}{{m}_{\chi }^{4}}[{m}_{N}^{2}{q}^{2}-{q}^{2}s\\ & & +{(s-{m}_{N}^{2}-{m}_{\chi }^{2})}^{2}]\times {G}_{N}^{2}({q}^{2}),\end{array}\end{eqnarray}$
$\begin{eqnarray}\begin{array}{rcl}{\left(\frac{{\rm{d}}{\sigma }_{\chi N}}{{\rm{d}}{T}_{N}}\right)}_{{O}_{13}^{(7)}} & = & \frac{{\sigma }_{\chi N}^{{\rm{SI,NR}}}}{12{\mu }_{\chi N}^{2}s{T}_{N}^{{\rm{\max }}}}\frac{{m}_{\phi }^{4}}{{({q}^{2}+{m}_{\phi }^{2})}^{2}}\\ & & \times \frac{\left[\frac{{q}^{4}}{2}+2{m}_{\chi }^{2}{q}^{2}+3{m}_{\chi }^{4}\right]}{{m}_{\chi }^{2}}\\ & & \times ({q}^{2}+4{m}_{N}^{2})\times {G}_{N}^{2}({q}^{2}),\end{array}\end{eqnarray}$
$\begin{eqnarray}\begin{array}{rcl}{\left(\frac{{\rm{d}}{\sigma }_{\chi N}}{{\rm{d}}{T}_{N}}\right)}_{{O}_{14}^{(6)}} & = & \frac{{\sigma }_{\chi N}^{{\rm{SI,NR}}}}{8{\mu }_{\chi N}^{2}s{T}_{N}^{{\rm{\max }}}}\frac{{m}_{\phi }^{4}}{{({q}^{2}+{m}_{\phi }^{2})}^{2}}\\ & & \times [2{m}_{\chi }^{2}+\frac{7}{6}{q}^{2}+\frac{5}{18{m}_{\chi }^{2}}{q}^{4}+\frac{1}{36{m}_{\chi }^{4}}{q}^{6}]\\ & & \times ({q}^{2}+4{m}_{N}^{2})\times {G}_{N}^{2}({q}^{2}),\end{array}\end{eqnarray}$
$\begin{eqnarray}\begin{array}{rcl}{\left(\frac{{\rm{d}}{\sigma }_{\chi N}}{{\rm{d}}{T}_{N}}\right)}_{{O}_{16}^{(6)}} & = & \frac{{\sigma }_{\chi N}^{{\rm{SI,NR}}}}{8{\mu }_{\chi N}^{2}s{T}_{N}^{{\rm{\max }}}}\frac{{m}_{\phi }^{4}}{{({q}^{2}+{m}_{\phi }^{2})}^{2}}\\ & & \times [{m}_{N}^{2}{q}^{2}-{q}^{2}s+{(s-{m}_{N}^{2}-{m}_{\chi }^{2})}^{2}]\\ & & \times [\frac{2{m}_{\chi }^{4}+\frac{4}{9}{m}_{\chi }^{2}{q}^{2}+\frac{1}{9}{q}^{4}}{{m}_{\chi }^{4}}-\frac{1}{18{m}_{\chi }^{4}}\\ & & \times \frac{{q}^{2}({q}^{2}-2{m}_{N}^{2})(10{m}_{\chi }^{4}+4{m}_{\chi }^{2}{q}^{2}+{q}^{4})}{-{(s-{m}_{\chi }^{2}-{m}_{N}^{2})}^{2}+{q}^{2}(s-{m}_{\chi }^{2}-{m}_{N}^{2})+{m}_{\chi }^{2}{q}^{2}}]\\ & & \times {G}_{N}^{2}({q}^{2}),\end{array}\end{eqnarray}$
$\begin{eqnarray}\begin{array}{rcl}{\left(\frac{{\rm{d}}{\sigma }_{\chi N}}{{\rm{d}}{T}_{N}}\right)}_{{O}_{20}^{(7)}} & = & \frac{{\sigma }_{\chi N}^{{\rm{SI,NR}}}}{8{\mu }_{\chi N}^{2}s{T}_{N}^{{\rm{\max }}}}\frac{{m}_{\phi }^{4}}{{({q}^{2}+{m}_{\phi }^{2})}^{2}}\\ & & \times \left[2{m}_{\chi }^{2}+\frac{4}{3}{q}^{2}+\frac{23}{45{m}_{\chi }^{2}}{q}^{4}+\frac{4}{45{m}_{\chi }^{4}}{q}^{6}\right.\\ & & +\left.\frac{1}{90{m}_{\chi }^{6}}{q}^{8}\right]({q}^{2}+4{m}_{N}^{2})\times {G}_{N}^{2}({q}^{2}),\end{array}\end{eqnarray}$
where the maximum recoil energy of the target nucleus is given by
$\begin{eqnarray}{T}_{N}^{{\rm{\max }}}=\frac{2{m}_{N}{T}_{\chi }({T}_{\chi }+2{m}_{\chi })}{{({m}_{\chi }+{m}_{N})}^{2}+2{m}_{N}{T}_{\chi }},\end{eqnarray}$
μχN is the reduced mass of the DM/nucleus system. ${G}_{N}^{2}({q}^{2})$ is form factor, for proton and helium, we take the dipole form factor [47]. For heavier nuclei we adopt the conventional Helm form factor [48, 49]. ${\sigma }_{\chi N}^{{\rm{SI,NR}}}={g}_{\chi }^{2}{g}_{N}^{2}{\mu }_{{\rm{\chi N}}}^{2}/\pi {m}_{\phi }^{4}$ is the spin-independent scattering DM-nucleus cross section in the ultra non-relativistic limit. The relationship between the nuclear cross section ${\sigma }_{\chi N}^{{\rm{SI,NR}}}$ and the nucleon cross section σχp is denoted as
$\begin{eqnarray}{\sigma }_{\chi N}^{{\rm{SI,NR}}}={A}^{2}{\sigma }_{\chi p}{\left(\frac{{m}_{N}({m}_{\chi }+{m}_{p})}{{m}_{p}({m}_{\chi }+{m}_{N})}\right)}^{2}.\end{eqnarray}$
Clearly, considering different types of DM effective operators is more dependent on q compared to scenarios with constant cross sections
$\begin{eqnarray}\frac{{\rm{d}}{\sigma }_{\chi N}}{{\rm{d}}{T}_{N}}=\frac{{\sigma }_{\chi N}^{{\rm{SI,NR}}}}{{T}_{N}^{{\rm{\max }}}}\times {G}_{N}^{2}({q}^{2}).\end{eqnarray}$
This implies that exploring different types of DM could offer novel insights into the DM direct detection.

3. CR-upscattered dark matter flux

As talked about in the introduction, the study of light DM is crucial in direct detection. To explore some light DM scenarios, some novel detections of sub-GeV DM are proposed in the literature. In the CRDM scenario [15, 20, 21], non-relativistic DM particles in the Galactic halo are up-scattered by the energetic galactic cosmic rays (CRs) [50], then it becomes the fast-moving particle as one component of the cosmic rays. Subsequent scattering inside conventional DM detectors, as well as neutrino detectors sensitive to nuclear recoils, can give novel limits on the DM-nucleon scattering cross section below 1 GeV. In this novel DM scenarios, most direct detection experiments are limited by constant cross sections. However, the limits of the non-constant cross section to the direct detection results is not systematically considered. In the following, we chose the CRDM scenario as an example to show the application of different types of DM in direct detection experiments.
The basic mechanism we consider is the elastic scattering of CR nucleus on non-relativistic DM particles mχ in the Galactic halo. For a DM mass mχ [51, 52], this process induces a relativistic CRDM angular-averaged flux incident on Earth, as described in [15, 53]
$\begin{eqnarray}\frac{\bar{{\rm{d}}{{\rm{\Phi }}}_{\chi }}}{{\rm{d}}{T}_{\chi }}={D}_{{\rm{eff}}}\frac{{\rho }_{\chi }^{{\rm{loc}}}}{{m}_{\chi }}\displaystyle \sum _{i}{\int }_{{T}_{i}^{\min }}^{\infty }{\rm{d}}{T}_{i}\frac{{\rm{d}}{\sigma }_{\chi i}}{{\rm{d}}{T}_{\chi }}\frac{{\rm{d}}{{\rm{\Phi }}}_{i}^{{\rm{LIS}}}}{{\rm{d}}{T}_{i}},\end{eqnarray}$
where ${\rm{d}}{{\rm{\Phi }}}_{i}^{{\rm{LIS}}}/{\rm{d}}{T}_{i}$ is local interstellar (LIS) CR flux [54, 55] and i stands for the specific species of the cosmic rays. The local DM density is taken as ${\rho }_{\chi }^{{\rm{loc}}}=0.3\,{\rm{GeV}}/{{\rm{cm}}}^{3}$, and the effective distance is set to Deff = 10 kpc. For DM particles initially at rest, this requires a minimal CR energy ${T}_{i}^{{\rm{\min }}}$ of
$\begin{eqnarray}{T}_{i}^{{\rm{\min }}}=\frac{-(2{m}_{i}-{T}_{\chi })+\sqrt{{(2{m}_{i}-{T}_{\chi })}^{2}+\frac{2{T}_{\chi }}{{m}_{\chi }}{({m}_{\chi }+{m}_{i})}^{2}}}{2}.\end{eqnarray}$
The dσχi/dTχ is the differential elastic scattering cross section for accelerating a DM particle to a kinetic recoil energy Tχ, and the maximum recoil energy is given by
$\begin{eqnarray}{T}_{\chi }^{{\rm{\max }}}=\frac{2{m}_{\chi }{T}_{i}({T}_{i}+2{m}_{i})}{{({m}_{i}+{m}_{\chi })}^{2}+2{m}_{\chi }{T}_{i}}.\end{eqnarray}$
The quantities dσχi/dTχ can be obtained from equations (10)–(19), by replacing $s={({m}_{N}+{m}_{\chi })}^{2}+2{m}_{N}{T}_{\chi }\to s={({m}_{i}+{m}_{\chi })}^{2}\,+2{m}_{\chi }{T}_{i}$, q = 2mNTN → q = 2mχTχ.
We show the total flux (${\rm{d}}{{\rm{\Phi }}}_{\chi }/{\rm{d}}{T}_{\chi }=4\pi \bar{{\rm{d}}{{\rm{\Phi }}}_{\chi }}/{\rm{d}}{T}_{\chi }$) of different types of DM with the masses of 10 MeV and 1 GeV in figure 1 (mφ = 10 MeV) and figure 2 (mφ = 100 GeV). As shown in figure 1, when the mediator mass is lower than the momentum transfer, the propagator introduces momentum dependent terms. This induces deviations of the CRDM flux associated with different DM operators from the constant cross section assumption, regardless of whether the DM is light or heavy. Conversely, figure 2 shows that when the mediator mass exceeds the characteristic momentum transfer scale, the interaction vertices asymptotically approach the momentum independent contact interaction limit. The momentum dependent terms arise from the contributions of DM effective operators. For small kinetic energies, as expected, these fluxes are identical to the case of a constant cross section. However, in the high-energy region, it is noteworthy that only the scalar interaction cross section given by equation (10) of scalar DM behaves similarly to a constant cross section. Other interaction types have a notable increase, typically by several orders of magnitude.
Figure 1. CRDM fluxes for scalar DM (upper left), spin-1/2 DM (upper right), vector DM (middle left), spin-3/2 DM (middle right) and spin-2 DM (lower) for DM masses mχ = 10 MeV and mχ = 1 GeV. Solid lines (dashed lines) represent the CRDM fluxes resulting from the masses of mχ = 10 MeV (mχ = 1 GeV). The DM-nucleon cross section is fixed at σχp = 10−35cm2 and the mediator mass is taken as mφ = 10 MeV. For comparison, we also show the corresponding CRDM flux for the constant cross section (blue lines).
Figure 2. CRDM fluxes for scalar DM (upper left), spin-1/2 DM (upper right), vector DM (middle left), spin-3/2 DM (middle right) and spin-2 DM (lower) for DM masses mχ = 10 MeV and mχ = 1 GeV. Solid lines (dashed lines) represent the CRDM fluxes resulting from the masses of mχ = 10 MeV (mχ = 1 GeV). The DM-nucleon cross section is fixed at σχp = 10−35cm2 and the mediator mass is taken as mφ = 100 GeV. For comparison, we also show the corresponding CRDM flux for the constant cross section (blue lines).
Before arriving at the underground detectors, CRDM particles lose energy through both elastic and inelastic scatterings with nuclei in the Earth’s crust. For relativistic dark matter, quasielastic and deep inelastic scatterings become important. Including the contribution of the inelastic scattering in the Earth attenuation effect will change the resulting upper bound on the DM- nucleus scattering by about one order of magnitude. [56, 57]. To preliminarily estimate the effect of the dark matter operators on the lower bound of the exclusion region, we consider only DM acceleration and detection processes in this work. The attenuation process of inelastic scattering will be discussed in detail in future work.

4. Constraints from LZ

4.1. Recoil event spectrum

The elastic scattering event rate of relativistic CRDM particles arriving at underground detectors is given by
$\begin{eqnarray}\frac{{\rm{d}}R}{{\rm{d}}{T}_{N}}=\frac{1}{{m}_{N}}{\int }_{{T}_{\chi }^{{\rm{\min }}}}^{\infty }\frac{{\rm{d}}{\sigma }_{\chi N}}{{\rm{d}}{T}_{N}}\frac{{\rm{d}}{{\rm{\Phi }}}_{\chi }}{{\rm{d}}{T}_{\chi }}{\rm{d}}{T}_{\chi },\end{eqnarray}$
where mN is the mass of the target nucleus, dσχN/dTN is the DM-nucleus scattering cross section given by equations (1019). We adopt the numerical result of the helm form factor [49]. For elastic scattering,
$\begin{eqnarray}{T}_{\chi }^{{\rm{\min }}}=\frac{-(2{m}_{\chi }-{T}_{N})+\sqrt{{(2{m}_{\chi }-{T}_{N})}^{2}+\frac{2{T}_{N}}{{m}_{N}}{({m}_{N}+{m}_{\chi })}^{2}}}{2}.\end{eqnarray}$
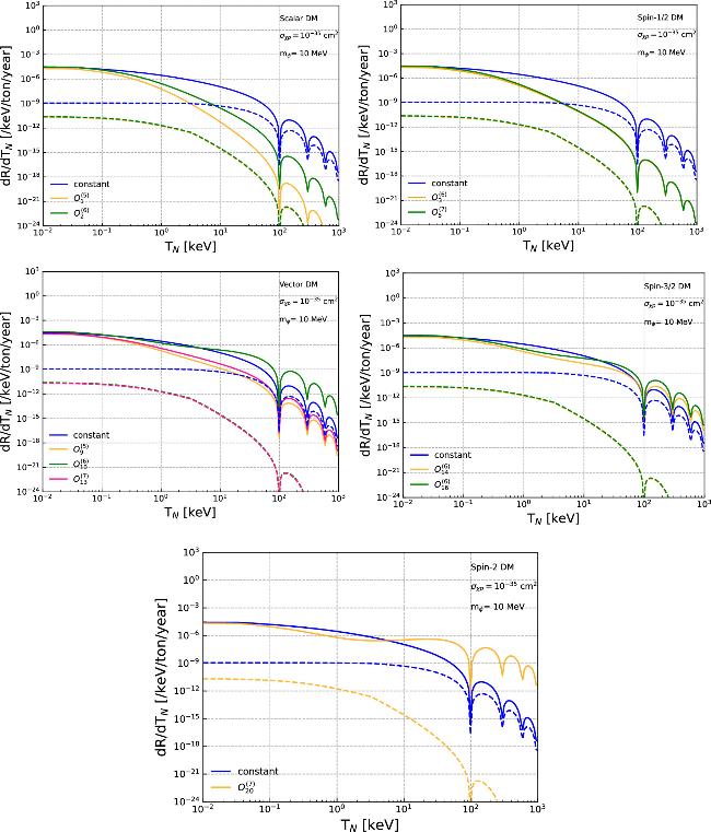
In figures 3 and 4, we show the recoil event rates of the scattering between CRDM particles and target 132Xe nuclei with DM-nucleon cross section σχn = 10−35cm2 for mediator masses mφ = 10 MeV and mφ = 100 GeV, respectively. Each figure shows results for different DM masses mχ = 10 MeV and mχ = 1 GeV. In figures 3 and 4, the recoil event spectrum displays resonance-like features in the 100 keV to 1000 keV region, resulting from the spherical Bessel Function driven oscillations of the Helm nuclear form factor.
Figure 3. Recoil event rates of the scattering between CRDM particles and target 132Xe nuclei for scalar DM (upper left), spin-1/2 DM (upper right), vector DM (middle left), spin-3/2 DM (middle right) and spin-2 DM (lower) for DM masses mχ = 10 MeV and mχ = 1 GeV. Solid lines (dashed lines) represent the recoil event rates resulting from the masses of mχ = 10 MeV (mχ = 1 GeV). The DM-nucleon cross section is fixed at σχp = 10−35cm2 and the mediator mass is mφ = 10 MeV. For comparison, we also indicate the corresponding recoil rate for the constant interaction (blue lines).
Figure 4. Recoil event rates of the scattering between CRDM particles and target 132Xe nuclei for scalar DM (upper left), spin-1/2 DM (upper right), vector DM (middle left), spin-3/2 DM (middle right) and spin-2 DM (lower) for DM masses mχ = 10 MeV and mχ = 1 GeV. Solid lines (dashed lines) represent the recoil event rates resulting from the masses of mχ = 10 MeV (mχ = 1 GeV). The DM-nucleon cross section is fixed at σχp = 10−35cm2 and the mediator mass is mφ = 100 GeV. For comparison, we also indicate the corresponding recoil rate for the constant interaction (blue lines).

4.2. LZ detector data analysis

Currently, with the largest fiducial mass (5.5 tonnes) [58, 59] of liquid xenon in the world, the dual-phase time projection chamber detector (TPC) of the LZ experiment has the leading sensitivity to signals induced by DM-nucleus scattering for DM mass above ${ \mathcal O }(10)\,\,\rm{GeV}\,$. The LZ collaboration has set the current most stringent limits on DM-nucleon cross section for DM mass at GeV scale with an accumulated exposure of 4.2 ton-years [58].
In this work, we use the latest S1c-S2c correlated data of LZ experiment published in 2024 with an exposure of 3.3 ton-years to set limits on DM-nucleon cross section via CRDM [58]. Our data analysis methods are as follows.
We calculate the nuclear recoil spectra according to equation (26) and multiply them with the efficiency after the application of S2c trigger, single scattering reconstruction and analysis cut given by the LZ collaboration [58]. Then, we sample the DM signal events according to the nuclear recoil spectra with efficiency included. For each sampled recoil event, following [58], we use the publicly available code nestpy [60] to simulate the S1c-S2c signals generated in the xenon TPC detector of the LZ experiment with a setup file of nestpy provided by the LZ collaboration.
We use the binned Poisson profile likelihood ratio method to set constraints on DM-nucleon cross section. The likelihood function is given by
$\begin{eqnarray}{ \mathcal L }({\mu }_{\chi })=\displaystyle \prod _{i=1}^{{N}_{1}}\displaystyle \prod _{j=1}^{{N}_{2}}\frac{{e}^{-({\mu }_{\chi }^{ij}+{\mu }_{\,\rm{BG}\,}^{ij})}}{{n}_{\,\rm{obs}\,}^{ij}!}{({\mu }_{\chi }^{ij}+{\mu }_{\,\rm{BG}\,}^{ij})}^{{n}_{\,\rm{obs}\,}^{ij}},\end{eqnarray}$
where ij denote the indices of the S1c and ${\rm{S2}\,}_{\,\rm{c}}^{{\prime} }$ bins, ${\rm{S2}\,}_{\,\rm{c}}^{{\prime} }=(({\mathrm{log}}_{10}{\rm{S2}\,}_{\rm{c}}-{\mu }_{\,\rm{ER}})/{\sigma }_{\,\rm{ER}\,})$, μER and σER are the mean value and standard deviation of electron recoil band, respectively. ${\mu }_{\chi }^{ij}$, ${\mu }_{\,\rm{BG}\,}^{ij}$ and ${n}_{\,\rm{obs}\,}^{ij}$ are the event number of DM signal, background and data observed in each signal bin, respectively. ${\mu }_{\chi }={\sum }_{i=1}^{{N}_{1}}{\sum }_{j=1}^{{N}_{2}}{\mu }_{\chi }^{ij}$ is the total event number of DM signal, and N1 and N2 are the number of S1c and ${\rm{S2}\,}_{\,\rm{c}}^{{\prime} }$ bins, respectively. The test statistics (TS) is given by
$\begin{eqnarray}\,\rm{TS}\,({\mu }_{\chi })=-2\mathrm{ln}\frac{{ \mathcal L }({\mu }_{\chi })}{{ \mathcal L }({\hat{\mu }}_{\chi })},\end{eqnarray}$
where ${\hat{\mu }}_{\chi }$ is the values of μχ that maximize the likelihood ${ \mathcal L }$. The TS approximately follows a χ2-distribution with one degree-of-freedom [61]. We set the exclusion limit on ${\sigma }_{\chi p}^{\,\rm{SI}\,}$ at 90% C. L. by setting TS(μχ) ≈ 2.71.
The numbers of S1c and S2c bins are N1 = 2 and N2 = 18, respectively [58]. The S1c bins are given by 3phd < S1c < 40phd and 40phd < S1c < 80phd while the ${\rm{S2}\,}_{\,\rm{c}}^{{\prime} }$ bins are divided linearly from −6 to 4 [58]. To determine the value of μER and σER that we use to transform S2c to ${\rm{S2}\,}_{\,\rm{c}}^{{\prime} }$, we fit the observed S1c-S2c data with the observed event number in each S1c-${\rm{S2}\,}_{\,\rm{c}}^{{\prime} }$ bin [58]. For simplicity, we consider ${\mu }_{\,\rm{ER}\,}^{i}$ and ${\sigma }_{\,\rm{ER}\,}^{i}$ for each S1c bin i as constant numbers. We assume the observed event number ${n}_{\,\rm{obs}\,}^{ij}$ in each S1c-${\rm{S2}\,}_{\,\rm{c}}^{{\prime} }$ bin observes Gaussian distribution with a deviation of ${\sigma }_{\rm{obs}\,}^{ij}=\sqrt{{n}_{\,\rm{obs}}^{ij}}$. For the S1c-${\rm{S2}\,}_{\,\rm{c}}^{{\prime} }$ bin that contains zero observed event, we take the deviation as one. Then, the χ2 function is given by
$\begin{eqnarray}{\chi }^{2}({{\boldsymbol{\mu }}}_{\,\rm{ER}\,},{{\boldsymbol{\sigma }}}_{\,\rm{ER}\,})=\displaystyle \sum _{i=1}^{{N}_{1}}\displaystyle \sum _{j=1}^{{N}_{2}}{\left(\frac{{n}_{\,\rm{obs}\,}^{ij}-{n}^{ij}({\mu }_{\,\rm{ER}\,}^{i},\,{\sigma }_{\,\rm{ER}\,}^{i})}{{\sigma }_{\,\rm{obs}\,}^{ij}}\right)}^{2},\end{eqnarray}$
where ${n}^{ij}({\mu }_{\,\rm{ER}\,}^{i},\,{\sigma }_{\,\rm{ER}\,}^{i})$ is the event number in S1c bin i and ${\rm{S2}\,}_{\,\rm{c}}^{{\prime} }$ bin j after transforming S2c to ${\rm{S2}\,}_{\,\rm{c}}^{{\prime} }$ with ${\mu }_{\,\rm{ER}\,}^{i}$ and ${\sigma }_{\,\rm{ER}\,}^{i}$. We minimize the χ2 given by equation (30) to 31.8 by setting μER = (3.67,  3.94), σER = (0.15,  0.09) and take them as the nominal values for calculation in this work. The background event number distribution is taken from the LZ collaboration, with the mean background event number set to 1203 [58].

4.3. Constraints

In this section, we derive the constraints on different types of DM by analyzing the LZ data. We scan the DM-nucleon scattering cross section space so that the likelihood ratio corresponds to the 90% C.L. limit. In figure 5, we mainly show the final constraints on DM effective operators for mediator masses mφ = 10 MeV, 100 GeV. For the sake of comparison in one single figure, selected constraints from other direct detection experiments [10, 13, 6265], gas cloud cooling [66] and Milky Way satellite [67] are shown.
Figure 5. Constraints on SI DM-nucleon cross section at 90% C.L using the LZ data for mediators of mass mφ = 10 MeV (left) and mφ = 100 GeV (right). Solid lines represent the exclusion results given by different types of DM operators. For comparison, the black dashed line shows the exclusion results from the constant cross section of conventional direct detection experiments [62]. A selection of constraints on DM from other experiments such as CRESST surface run[63], gas cloud cooling [66], Milky Way satellite population [67], SENSEI [64], DarkSide-50 [13], PandaX-4T [65] and XENON1T [10] are also shown.
It can be seen from figure 5 that in the mχ > ∼ 100 MeV region, the lower limits of the cross section are the same for the different DM effective operators. It can be easily understood that the different interactions converge to non-relativistic limits when the DM mass is heavier than 1 GeV. However, we can see that the exclusion regions are different, with only the scalar interaction of scalar DM (${O}_{1}^{(5)}$) closely approximating the constraints of the conventional constant cross section for the DM particle mass below 100MeV, the limits of other operators is generally lower. In other words, a comprehensive consideration of different types of DM can improve the sensitivity of direct detection experiments. Especially, the spin-2 DM particle (${O}_{20}^{(7)}$) is up to ten orders of magnitude lower than the constant cross section.

5. Conclusion

In summary, though the theory of WIMP dark matter scattering is reliable, there are some novel strategies to detect light DM when it is fast-moving. However, conventional direct detection experiments for light DM typically focus on a single type of DM and are constrained by a constant cross section. In this work, we extend the study to include spin-1/2 DM, scalar DM, vector DM, spin-3/2 DM, spin-2 DM. First, we construct a set of effective interaction operators for different types of DM up to seven dimensions. Subsequently, we computed the spin-independent cross section for DM-nucleus scattering based on these operators. Our results show that only the scalar interaction ${O}_{1}^{(5)}$ of scalar DM closely approximates a constant cross section, whereas other types of interactions are dependent on q. In order to study the impact of different types of DM on direct detection, we implemented these effective operators within the context of the CRDM scenario. The numerical results show that in the light DM region, our approach shows complementary sensitivity to conventional direct detection experiments. Notably, our constraints exhibit significantly enhanced sensitivity compared to previous studies, regardless of whether the mediator is light. Especially, the exclusion limits for the spin-2 Tμν operator differ by ten orders of magnitude from those based on a constant cross section assumption when the mediator mass is set to mφ = 100 GeV. Neutrino detectors such as Hyper-K exhibit excellent sensitivity and background discrimination capabilities in the sub-GeV range. Within the framework of DM effective operators, the Hyper-K experiment is expected to set stringent constraints on DM-nucleon scattering cross section in the keV scale mass region.

Appendix The differential cross section for χN scattering

A.1. Spin-1/2 DM

For spin-1/2 DM particles, up to dimension seven [38], the operators is written as
$\begin{eqnarray*}\begin{array}{l}{O}_{4}^{(6)}=\frac{1}{{q}^{2}+{m}_{\phi }^{2}}\bar{\chi }{\gamma }_{5}\chi \bar{N}N,\\ {O}_{6}^{(6)}=\frac{1}{{q}^{2}+{m}_{\phi }^{2}}\bar{\chi }{\gamma }_{\mu }{\gamma }_{5}\chi \bar{N}{\gamma }^{\mu }N,\\ {O}_{7}^{(7)}=\frac{1}{{q}^{2}+{m}_{\phi }^{2}}{\partial }_{\mu }(\bar{\chi }{\sigma }^{\mu \nu }\chi )\bar{N}{\gamma }^{\nu }N,\\ {O}_{8}^{(7)}=\frac{1}{{q}^{2}+{m}_{\phi }^{2}}{\partial }_{\mu }(\bar{\chi }{\sigma }^{\mu \nu }{\gamma }_{5}\chi )\bar{N}{\gamma }^{\nu }N.\end{array}\end{eqnarray*}$
We use equation (9) to calculate the spin- independent cross section
$\begin{eqnarray}\begin{array}{rcl}{\left(\frac{{\rm{d}}{\sigma }_{\chi N}}{{\rm{d}}{T}_{N}}\right)}_{{O}_{4}^{(6)}}\, & = & \frac{{g}_{N}^{2}{g}_{\chi }^{2}}{16\pi s{T}_{N}^{{\rm{\max }}}}\frac{1}{{({q}^{2}+{m}_{\phi }^{2})}^{2}}\\ & & \times {q}^{2}({q}^{2}+4{m}_{N}^{2})\times {G}_{N}^{2}({q}^{2}),\end{array}\end{eqnarray}$
$\begin{eqnarray}\begin{array}{rcl}{\left(\frac{{\rm{d}}{\sigma }_{\chi N}}{{\rm{d}}{T}_{N}}\right)}_{{O}_{6}^{(6)}} & = & \frac{{g}_{N}^{2}{g}_{\chi }^{2}}{4\pi s{T}_{N}^{{\rm{\max }}}}\frac{1}{{({q}^{2}+{m}_{\phi }^{2})}^{2}}\\ & & \times \left[\frac{1}{2}{q}^{4}-{q}^{2}(s-2{m}_{\chi }^{2})+4{m}_{N}^{2}{T}_{\chi }(2{m}_{\chi }+{T}_{\chi })\right]\\ & & \times {G}_{N}^{2}({q}^{2}),\end{array}\end{eqnarray}$
$\begin{eqnarray}\begin{array}{rcl}{\left(\frac{{\rm{d}}{\sigma }_{\chi N}}{{\rm{d}}{T}_{N}}\right)}_{{O}_{7}^{(7)}} & = & \frac{{g}_{N}^{2}{g}_{\chi }^{2}}{4\pi s{T}_{N}^{{\rm{\max }}}}\frac{1}{{({q}^{2}+{m}_{\phi }^{2})}^{2}}{q}^{2}\\ & & \times [{q}^{2}(2{m}_{\chi }^{2}+{m}_{N}^{2}-s)+4{m}_{N}^{2}{T}_{\chi }(2{m}_{\chi }+{T}_{\chi })],\end{array}\end{eqnarray}$
$\begin{eqnarray}\begin{array}{rcl}{\left(\frac{{\rm{d}}{\sigma }_{\chi N}}{{\rm{d}}{T}_{N}}\right)}_{{O}_{8}^{(7)}} & = & \frac{{g}_{N}^{2}{g}_{\chi }^{2}}{4\pi s{T}_{N}^{{\rm{\max }}}}\frac{1}{{({q}^{2}+{m}_{\phi }^{2})}^{2}}{q}^{2}\\ & & \times [{q}^{2}({m}_{N}^{2}-s)+4{m}_{N}^{2}{({m}_{\chi }+{T}_{\chi })}^{2}].\end{array}\end{eqnarray}$

A.2. Vector DM

Here, we will mainly list the operators of dimension-five, dimension six and dimension seven [68].
$\begin{eqnarray*}\begin{array}{l}{O}_{11}^{(6)}=\frac{1}{{q}^{2}+{m}_{\phi }^{2}}({\epsilon }^{\mu \nu \rho \sigma }{V}_{\nu }^{\dagger }{\overleftrightarrow{\partial }}_{\rho }{V}_{\sigma })\bar{N}{\gamma }^{\mu }N,\\ {O}_{12}^{(7)}=\frac{1}{{q}^{2}+{m}_{\phi }^{2}}\frac{1}{{m}_{\chi }}{V}_{\mu \nu }^{\dagger }{\tilde{V}}^{\mu \nu }\bar{N}N.\,\end{array}\end{eqnarray*}$
The differential cross section for χN scattering can be written as
$\begin{eqnarray}\begin{array}{rcl}{\left(\frac{{\rm{d}}{\sigma }_{\chi N}}{{\rm{d}}{T}_{N}}\right)}_{{O}_{11}^{(6)}} & = & \frac{{\sigma }_{\chi N}^{{\rm{SI,NR}}}}{12{\mu }_{\chi N}^{2}s{T}_{N}^{{\rm{\max }}}}\frac{{m}_{\phi }^{4}}{{({q}^{2}+{m}_{\phi }^{2})}^{2}}\\ & & \times (2+\frac{{q}^{2}}{2{m}_{\chi }^{2}})[2{m}_{\chi }^{2}{q}^{2}-{q}^{2}s+\frac{{q}^{4}}{2}\\ & & +{(s-{m}_{N}^{2}-{m}_{\chi }^{2})}^{2}-4{m}_{N}^{2}{m}_{\chi }^{2}]\times {G}_{N}^{2}({q}^{2}),\end{array}\end{eqnarray}$
$\begin{eqnarray}\begin{array}{rcl}{\left(\frac{{\rm{d}}{\sigma }_{\chi N}}{{\rm{d}}{T}_{N}}\right)}_{{O}_{12}^{(6)}} & = & \frac{{g}_{N}^{2}{g}_{\chi }^{2}}{12\pi s{T}_{N}^{{\rm{\max }}}}\frac{1}{{({q}^{2}+{m}_{\phi }^{2})}^{2}}{q}^{2}\\ & & \times (2+\frac{{q}^{2}}{2{m}_{\chi }^{2}})({q}^{2}+4{m}_{N}^{2})\times {G}_{N}^{2}({q}^{2}).\end{array}\end{eqnarray}$

A.3. Spin-3/2 DM

The most general dimension six operators for the spin–3/2 DM can be written as
$\begin{eqnarray*}\begin{array}{l}{O}_{15}^{(6)}=\frac{1}{{q}^{2}+{m}_{\phi }^{2}}{\bar{{\rm{\Psi }}}}_{\mu }{\gamma }_{5}{{\rm{\Psi }}}^{\mu }\bar{N}N,\\ {O}_{17}^{(6)}=\frac{1}{{q}^{2}+{m}_{\phi }^{2}}{\bar{{\rm{\Psi }}}}_{\nu }{\gamma }_{\mu }{\gamma }_{5}{{\rm{\Psi }}}^{\nu }\bar{N}{\gamma }^{\mu }N,\\ {O}_{18}^{(7)}=\frac{1}{{q}^{2}+{m}_{\phi }^{2}}{\partial }_{\mu }({\bar{{\rm{\Psi }}}}_{\rho }{\sigma }^{\mu \nu }{{\rm{\Psi }}}^{\rho })\bar{N}{\gamma }^{\nu }N,\\ {O}_{19}^{(7)}=\frac{1}{{q}^{2}+{m}_{\phi }^{2}}{\partial }_{\mu }({\bar{{\rm{\Psi }}}}_{\rho }{\sigma }^{\mu \nu }{\gamma }_{5}{{\rm{\Psi }}}^{\rho })\bar{N}{\gamma }^{\nu }N,\end{array}\end{eqnarray*}$
where, the polarization sum of spin-3/2 DM
$\begin{eqnarray}\begin{array}{rcl}{{\rm{\Pi }}}^{\mu \nu } & = & \displaystyle \sum _{s=-\frac{3}{2}}^{\frac{3}{2}}{\bar{{\rm{\Psi }}}}^{\mu }{{\rm{\Psi }}}^{\nu }\\ & = & -({{/}\!\!\!{p}}+m)\left[{g}^{\mu \nu }-\frac{2}{3}\frac{{p}^{\mu }{p}^{\nu }}{{m}^{2}}\right.\\ & & \left.-\frac{1}{3}{\gamma }^{\mu }{\gamma }^{\nu }-\frac{1}{3}\frac{({p}^{\nu }{\gamma }^{\mu }-{p}^{\mu }{p}^{\nu })}{m}\right].\end{array}\end{eqnarray}$
The differential cross section for χN scattering can be written as
$\begin{eqnarray}\begin{array}{rcl}{\left(\frac{{\rm{d}}{\sigma }_{\chi N}}{{\rm{d}}{T}_{N}}\right)}_{{O}_{15}^{(6)}} & = & \frac{{g}_{N}^{2}{g}_{\chi }^{2}}{8\pi s{T}_{N}^{{\rm{\max }}}}\frac{1}{{({q}^{2}+{m}_{\phi }^{2})}^{2}}\\ & & \times \left(\frac{5}{18}{q}^{2}+\frac{{q}^{4}}{18{m}_{\chi }^{2}}+\frac{{q}^{6}}{36{m}_{\chi }^{4}}\right)\\ & & \times ({q}^{2}+4{m}_{N}^{2})\times {G}_{N}^{2}({q}^{2}),\end{array}\end{eqnarray}$
$\begin{eqnarray}\begin{array}{rcl}{\left(\frac{{\rm{d}}{\sigma }_{\chi N}}{{\rm{d}}{T}_{N}}\right)}_{{O}_{17}^{(6)}} & = & \frac{{g}_{N}^{2}{g}_{\chi }^{2}}{8\pi s{T}_{N}^{{\rm{\max }}}}\frac{1}{{({q}^{2}+{m}_{\phi }^{2})}^{2}}\\ & & \times \left(\frac{5}{9}+\frac{2{q}^{2}}{9{m}_{\chi }2}+\frac{{q}^{4}}{18{m}_{\chi }^{4}}\right)\left[4{m}_{N}^{2}{T}_{\chi }(2{m}_{\chi }+{T}_{\chi })\right.\\ & & -\left.{m}_{\chi }^{2}{q}^{2}-{m}_{N}^{2}{q}^{2}\right]\times {G}_{N}^{2}({q}^{2}),\end{array}\end{eqnarray}$
$\begin{eqnarray}\begin{array}{rcl}{\left(\frac{{\rm{d}}{\sigma }_{\chi N}}{{\rm{d}}{T}_{N}}\right)}_{{O}_{18}^{(7)}} & = & \frac{{g}_{N}^{2}{g}_{\chi }^{2}}{8\pi s{T}_{N}^{{\rm{\max }}}}\frac{1}{{({q}^{2}+{m}_{\phi }^{2})}^{2}}\frac{{q}^{2}}{18{m}_{\chi }^{4}}\\ & & \times \left[28{m}_{N}^{2}{m}_{\chi }^{4}{T}_{\chi }\left(2{m}_{\chi }+{T}_{\chi }\right)+\left(4{m}_{N}^{2}{m}_{\chi }^{2}\right.\right.\\ & & \left(-{m}_{\chi }^{2}+2{m}_{\chi }{T}_{\chi }+{T}_{\chi }^{2}\right)-{m}_{N}{m}_{\chi }^{4}\left(31{m}_{\chi }+14{T}_{\chi }^{2}\right)\\ & & +\left.7{m}_{\chi }^{6}\right){q}^{2}+(2{m}_{N}^{2}{T}_{\chi }(2{m}_{\chi }+{T}_{\chi })\\ & & {m}_{N}{m}_{\chi }^{2}(7{m}_{\chi }+2{T}_{\chi })+3{m}_{\chi }^{4}){q}^{4}\\ & & +\left.\left(-\frac{5}{2}{m}_{N}{m}_{\chi }-{m}_{N}{T}_{\chi }+\frac{1}{2}{m}_{\chi }^{2}\right){q}^{6}\right]\times {G}_{N}^{2}({q}^{2}),\end{array}\end{eqnarray}$
$\begin{eqnarray}\begin{array}{rcl}{\left(\frac{{\rm{d}}{\sigma }_{\chi N}}{{\rm{d}}{T}_{N}}\right)}_{{O}_{19}^{(7)}} & = & \frac{{g}_{N}^{2}{g}_{\chi }^{2}}{8\pi s{T}_{N}^{{\rm{\max }}}}\frac{1}{{({q}^{2}+{m}_{\phi }^{2})}^{2}}\frac{2{q}^{2}}{9{m}_{\chi }^{4}}\\ & & \times (14{m}_{\chi }^{4}+6{m}_{\chi }^{2}{q}^{2}+{q}^{4})(4{m}_{N}^{2}(2{m}_{\chi }-{T}_{\chi })\\ & & \times ({m}_{\chi }+{T}_{\chi })-{m}_{N}{q}^{2}({m}_{\chi }-2{T}_{\chi })+{m}_{\chi }^{2}{Q}^{2})\\ & & \times {G}_{N}^{2}({q}^{2}).\end{array}\end{eqnarray}$

We are grateful to Jiang-Hao Yu and Yu-Heng Sun for their helpful discussions on the effective operator. This work is supported in part by the National Key R&D Program of China under Grant No. 2017YFA0402204, the National Natural Science Foundation of China (NSFC) under Grant Nos. 11825506, 11821505, 12047503.

1
Bertone G, Hooper D, Silk J 2005 Particle dark matter: evidence, candidates and constraints Phys. Rept. 405 279 390

DOI

2
Kouvaris C, Pradler J 2017 Probing sub-GeV dark matter with conventional detectors Phys. Rev. Lett. 118 031803

DOI

3
Ibe M, Nakano W, Shoji Y, Suzuki K 2018 Migdal effect in dark matter direct detection experiments J. High Energy Phys. 2018 JHEP03(2018)194

DOI

4
Dolan M J, Kahlhoefer F, McCabe C 2018 Directly detecting sub-GeV dark matter with electrons from nuclear scattering Phys. Rev. Lett. 121 101801

DOI

5
Flambaum V V, Su L, Wu L, Zhu B 2023 Constraining sub-GeV dark matter from Migdal and boosted effects arXiv:2012.09751

6
Knapen S, Kozaczuk J, Lin T 2021 Migdal effect in semiconductors Phys. Rev. Lett. 127 081805

DOI

7
(EDELWEISS Collaboration) 2022 Search for sub-GeV dark matter via the Migdal effect with an EDELWEISS germanium detector with NbSi transition-edge sensors Phys. Rev. D 106 062004

DOI

8
(SuperCDMS Collaboration) 2023 Search for low-mass dark matter via bremsstrahlung radiation and the Migdal effect in SuperCDMS Phys. Rev. D 107 112013

DOI

9
(LUX Collaboration) 2019 Results of a search for sub-GeV dark matter using 2013 LUX data Phys. Rev. Lett. 122 131301

DOI

10
(XENON Collaboration) 2019 Search for light dark matter interactions enhanced by the Migdal effect or bremsstrahlung in XENON1T Phys. Rev. Lett. 123 241803

DOI

11
(EDELWEISS Collaboration) 2019 Searching for low-mass dark matter particles with a massive Ge bolometer operated above-ground Phys. Rev. D 99 082003

DOI

12
Tomar G, Kang S, Scopel S 2023 Low-mass extension of direct detection bounds on WIMP-quark and WIMP-gluon effective interactions using the Migdal effect Astropart. Phys. 150 102851

DOI

13
(DarkSide Collaboration) 2023 Search for dark-matter-nucleon interactions via Migdal effect with DarkSide-50 Phys. Rev. Lett. 130 101001

DOI

14
Cappiello C V, Ng K C, Beacom J F 2019 Reverse direct detection: cosmic ray scattering with light dark matter Phys. Rev. D 99 063004

DOI

15
Bringmann T, Pospelov M 2019 Novel direct detection constraints on light dark matter Phys. Rev. Lett. 122 171801

DOI

16
An H, Pospelov M, Pradler J, Ritz A 2018 Directly detecting MeV-scale dark matter via solar reflection Phys. Rev. Lett. 120 141801

DOI

Erratum: 2018 Phys. Rev. Lett. 121 259903

DOI

17
Ema Y, Sala F, Sato R 2019 Light dark matter at neutrino experiments Phys. Rev. Lett. 122 181802

DOI

18
McKeen D, Raj N 2019 Monochromatic dark neutrinos and boosted dark matter in noble liquid direct detection Phys. Rev. D 99 103003

DOI

19
Alvey J, Campos M, Fairbairn M, You T 2019 Detecting light dark matter via inelastic cosmic ray collisions Phys. Rev. Lett. 123 261802

DOI

20
Dent J B, Dutta B, Newstead J L, Shoemaker I M 2020 Bounds on cosmic ray-boosted dark matter in simplified models and its corresponding neutrino-floor Phys. Rev. D 101 116007

DOI

21
Wang W, Wu L, Yang J M, Zhou H, Zhu B 2020 Cosmic ray boosted sub-GeV gravitationally interacting dark matter in direct detection J. High Energy Phys. 2020 072

DOI

22
Ge S-F, Liu J-L, Yuan Q, Zhou N 2021 Boosted diurnal effect of sub-GeV dark matter at direct detection experiment Phys. Rev. Lett. 126 091804

DOI

23
Su L, Wang W, Wu L, Yang J M, Zhu B 2020 Atmospheric dark matter and Xenon1T excess Phys. Rev. D 102 115028

DOI

24
Xia C, Xu Y-H, Zhou Y-F 2021 Constraining sub-eV dark matter from direct detection experiment Nucl. Phys. B 969 115470

DOI

25
Guo G, Tsai Y-L S, Wu M-R, Yuan Q 2020 Elastic and inelastic scattering of cosmic-rays on sub-GeV dark matter Phys. Rev. D 102 103004

DOI

26
Herrera G, Ibarra A 2021 Direct detection of non-galactic light dark matter Phys. Lett. B 820 136551

DOI

27
Kahn Y, Lin T 2022 Searches for light dark matter using condensed matter systems Rept. Prog. Phys. 85 066901

DOI

28
Cherry J F, Frandsen M T, Shoemaker I M 2015 Direct detection phenomenology in models where the products of dark matter annihilation interact with nuclei Phys. Rev. Lett. 114 231303

DOI

29
Cappiello C V, Beacom J F 2019 Strong new limits on light dark matter from neutrino experiments Phys. Rev. D 100 103011

DOI

Erratum: 2021 Phys. Rev. D 104 069901

DOI

30
Bell N F, Newstead J L, Shaukat-Ali I 2024 Cosmic-ray boosted dark matter confronted by constraints on new light mediators Phys. Rev. D 109 063034

DOI

31
Baumgart M 2022 Snowmass white paper: effective field theories for dark matter phenomenology arXiv:2203.08204

32
Fan J, Reece M, Wang L-T 2010 Non-relativistic effective theory of dark matter direct detection J. Cosmol. Astropart. Phys. 11 042

DOI

33
Del Nobile E 2018 Complete Lorentz-to-Galileo dictionary for direct dark matter detection Phys. Rev. D 98 123003

DOI

34
Fitzpatrick A L, Haxton W, Katz E, Lubbers N, Xu Y 2013 The effective field theory of dark matter direct detection J. Cosmol. Astropart. Phys. 02 004

DOI

35
Zheng J-M, Yu Z-H, Shao J-W, Bi X-J, Li Z, Zhang H-H 2012 Constraining the interaction strength between dark matter and visible matter: I. fermionic dark matter Nucl. Phys. B 854 350 374

DOI

36
Cheung K, Tseng P-Y, Tsai Y-L S, Yuan T-C 2012 Global constraints on effective dark matter interactions: relic density, direct detection, indirect detection, and collider J. Cosmol. Astropart. Phys. 05 001

DOI

37
Goodman J, Ibe M, Rajaraman A, Shepherd W, Tait T M P, Yu H-B 2011 Gamma ray line constraints on effective theories of dark matter Nucl. Phys. B 844 55 68

DOI

38
Brod J, Gootjes-Dreesbach A, Tammaro M, Zupan J 2018 Effective field theory for dark matter direct detection up to dimension seven J. High Energy Phys. 2018 JHEP10(2018)065

DOI

Erratum: 2023 J. High Energy Phys. 2023 JHEP07(2023)012

DOI

39
Catena R, Fridell K, Krauss M B 2019 Non-relativistic effective interactions of spin 1 dark matter J. High Energy Phys. 2019 JHEP08(2019)030

DOI

40
Dent J B, Krauss L M, Newstead J L, Sabharwal S 2015 General analysis of direct dark matter detection: From microphysics to observational signatures Phys. Rev. D 92 063515

DOI

41
Aebischer J, Altmannshofer W, Jenkins E E, Manohar A V 2022 Dark matter effective field theory and an application to vector dark matter J. High Energy Phys. 2022 JHEP06(2022)086

DOI

42
Ding R, Liao Y 2012 Spin 3/2 particle as a dark matter candidate: an effective field theory approach J. High Energy Phys. 2012 JHEP04(2012)054

DOI

43
Ding R, Liao Y, Liu J-Y, Wang K 2013 Comprehensive constraints on a spin-3/2 singlet particle as a dark matter candidate J. Cosmol. Astropart. Phys. 05 028

DOI

44
Liang J-H, Liao Y, Ma X-D, Wang H-L 2024 A systematic investigation on dark matter-electron scattering in effective field theories arXiv:2406.10912

45
Liang J-H, Liao Y, Ma X-D, Wang H-L 2024 Comprehensive constraints on fermionic dark matter-quark tensor interactions in direct detection experiments arXiv:2401.05005

46
Bishara F, Brod J, Grinstein B, Zupan J 2017 DirectDM: a tool for dark matter direct detection arXiv:1708.02678

47
Perdrisat C F, Punjabi V, Vanderhaeghen M 2007 Nucleon electromagnetic form factors Prog. Part. Nucl. Phys. 59 694 764

DOI

48
Helm R H 1956 Inelastic and elastic scattering of 187-MeV electrons from selected even-even nuclei Phys. Rev. 104 1466 1475

DOI

49
Lewin J D, Smith P F 1996 Review of mathematics, numerical factors, and corrections for dark matter experiments based on elastic nuclear recoil Astropart. Phys. 6 87 112

DOI

50
Xia C, Xu Y-H, Zhou Y-F 2021 Constraining light dark matter upscattered by ultrahigh-energy cosmic rays Nucl. Phys. B 969 115470

DOI

51
Navarro J F, Frenk C S, White S D M 1996 The structure of cold dark matter halos Astrophys. J. 462 563 575

DOI

52
(Fermi-LAT Collaboration) 2012 Constraints on the galactic halo dark matter from Fermi-LAT diffuse measurements Astrophys. J. 761 91

DOI

53
Bondarenko K, Boyarsky A, Bringmann T, Hufnagel M, Schmidt-Hoberg K, Sokolenko A 2020 Direct detection and complementary constraints for sub-GeV dark matter J. High Energy Phys. 2020 JHEP03(2020)118

DOI

54
Della Torre S 2016 From observations near the earth to the local interstellar spectra arXiv:1701.02363

55
Boschini M 2017 Solution of heliospheric propagation: unveiling the local interstellar spectra of cosmic ray species Astrophys. J. 840 115

DOI

56
Su L, Wu L, Zhou N, Zhu B 2023 Accelerated-light-dark-matter-Earth inelastic scattering in direct detection Phys. Rev. D 108 035004

DOI

57
(PandaX Collaboration) 2023 Search for light dark matter from the atmosphere in PandaX-4T Phys. Rev. Lett. 131 041001

DOI

58
(LZ Collaboration) 2024 Dark Matter Search Results from 4.2 Tonne-Years of Exposure of the LUX-ZEPLIN (LZ) Experiment HEPData (collection)

DOI

59
(LZ Collaboration) 2023 First dark matter search results from the LUX-ZEPLIN (LZ) experiment Phys. Rev. Lett. 131 041002

DOI

60
Farrell S, Tunnell C, Angevaare J R, Carrara N, Rischbieter G R, Xu D, mszydagis, Vetter S 2024 NESTCollaboration/nestpy: Update to v2.0.3

DOI

61
Rolke W A, Lopez A M, Conrad J 2005 Limits and confidence intervals in the presence of nuisance parameters Nucl. Instrum. Meth. A 551 493 503

DOI

62
Alvey J, Bringmann T, Kolesova H 2023 No room to hide: implications of cosmic-ray upscattering for GeV-scale dark matter J. High Energy Phys. 2023 JHEP01(2023)123

DOI

63
(CRESST Collaboration) 2017 Results on MeV-scale dark matter from a gram-scale cryogenic calorimeter operated above ground Eur. Phys. J. C 77 637

DOI

64
(SENSEI Collaboration) 2025 SENSEI: first direct-detection results on sub-GeV dark matter from SENSEI at SNOLAB Phys. Rev. Lett. 134 011804

DOI

65
(PandaX Collaboration) 2023 Search for light dark matter with ionization signals in the PandaX-4T experiment Phys. Rev. Lett. 130 261001

DOI

66
Bhoonah A, Bramante J, Elahi F, Schon S 2018 Calorimetric dark matter detection with galactic center gas clouds Phys. Rev. Lett. 121 131101

DOI

67
(DES Collaboration) 2021 Milky way satellite census. III. constraints on dark matter properties from observations of milky way satellite galaxies Phys. Rev. Lett. 126 091101

DOI

68
Bertuzzo E, Sassi T, Tesi A 2024 Complex dark photon dark matter EFT J. High Energy Phys. 2024 JHEP10(2024)109

DOI

Outlines

/