Welcome to visit Communications in Theoretical Physics,
Condensed Matter Theory

Thermoelectric transport behavior of a series-coupled double quantum dots system with the Kondo Effect

  • Jie Gao 1, 2 ,
  • Yuan Liao 3 ,
  • YuRong Zeng 4 ,
  • Zhen Guan 4 ,
  • YongXi Cheng , 2, 4, * ,
  • ZhenHua Li , 4, * ,
  • Hong-Gang Luo 4
Expand
  • 1School of Semiconductor and Physics, North University of China, Taiyuan 030051, China
  • 2Department of Science, Taiyuan Institute of Technology, Taiyuan 030008, China
  • 3Department of Physics, Taiyuan Normal University, Taiyuan 030606, China
  • 4Lanzhou Center for Theoretical Physics & Key Laboratory of Quantum Theory and Applications of MOE, & Key Laboratory of Theoretical Physics of Gansu Province, Lanzhou University, Lanzhou 730000, China

*Authors to whom any correspondence should be addressed.

Received date: 2025-03-04

  Revised date: 2025-04-25

  Accepted date: 2025-04-30

  Online published: 2025-06-20

Copyright

© 2025 Institute of Theoretical Physics CAS, Chinese Physical Society and IOP Publishing. All rights, including for text and data mining, AI training, and similar technologies, are reserved.
This article is available under the terms of the IOP-Standard License.

Abstract

We study the thermoelectric transport of a series-coupled double quantum dots (SDQDs) system, based on the hierarchical equations of motion approach. The thermocurrent as a function of the energy level of QDs gives rise to a sign-changing phenomenon. The temperature difference between the two leads can enhance the thermocurrent. Moreover, the sign changing also generates in thermocurrent as a function of temperature due to the transition from the many-body Kondo resonant tunneling process to the single electron process of the SDQDs system. The inter-dot coupling strength between two QDs not only affects the value of the thermocurrent but also influences the characteristic temperature at which the sign changing of thermocurrent emerges. In a weak coupling regime, the thermocurrent firstly is enhanced by inter-dot coupling strength due to the ‘t-enhanced Kondo effect’ and then decreases with inter-dot coupling strength due to the effective antiferromagnetic interaction between the two QDs. In the middle coupling regime, the forming coherence bonding and antibonding orbitals channels and the residual Kondo effect co-dominate the transport process. The thermocurrent firstly decreases, then increases, and finally decreases with temperature. However, the thermocurrent shows a transition from increasing to decreasing behavior with temperature in the strong coupling regime. Although the inter-dot coupling strength t has a complex impact on the SDQDs system, the characteristic temperature kBTc, at which a sign changing appears, indicates a quantitative relationship with the value of the inter-dot coupling strength t by an identical amount of the Kondo correlation being partially destroyed.

Cite this article

Jie Gao , Yuan Liao , YuRong Zeng , Zhen Guan , YongXi Cheng , ZhenHua Li , Hong-Gang Luo . Thermoelectric transport behavior of a series-coupled double quantum dots system with the Kondo Effect[J]. Communications in Theoretical Physics, 2025 , 77(11) : 115701 . DOI: 10.1088/1572-9494/adda01

1. Introduction

In recent years, advances in nanotechnology have greatly facilitated the study of quantum dot (QD) systems. QD systems exhibit a variety of quantum mechanical effects due to their small size and the confinement of electrons, which can significantly affect the nature of electron transport. Thus QDs have become a candidate for attention in the study of semiconductor nanoelectronic devices [1, 2] and quantum transport phenomena [35]. In the field of quantum transport, the conventional object of studying the electron transport process is the center scattering region connected to multiple electrodes. In each electrode, the electrons or other carriers have a given electrochemical potential and temperature. When a voltage or a temperature difference is applied to the electrodes, currents or thermocurrents are triggered in the system accordingly. The nonequilibrium process and its response are important for understanding the electron transport behavior through QD systems.
The problem of nonequilibrium transport under many-body effects is one of the hot topics among such research. By exploring the interaction and confinement effects of electrons, we can reveal its influence on the transport behavior of the QD system [6]. The discrete energy level of the QDs and the Coulomb repulsion not only have important influences on the thermoelectric transport but also cause the Kondo effect. The Kondo effect has significant influence on the transport process and is applicable to explain some of the physical mechanisms in these systems at low temperatures. The problem of quantum transport through QD systems is crucial for the realization of high-speed nanoelectronic devices and the development of quantum computing technology [7].
Significant work has been presented in the study of nonequilibrium transport problems through QD systems. Nonequilibrium transport characteristics of a single QD system both for the particle-hole symmetry point and the mixed-valence regime are detected by the adaptive time-dependent density matrix renormalization group method [8]. The enhancement of the transport current through a QD in the Kondo regime is also acquired by the density-matrix renormalization-group algorithm [9]. The dynamic transport behavior in the Kondo regime, mixed valence regime, and empty orbital regime of a strongly correlated QD system under the time-dependent external field are presented. The nonlinear response and the distinct oscillation behavior of the transient current are depicted [10]. Compared with the dynamical transport properties under the bias voltage applied to the QDs system, the thermoelectric transport process of the QDs system contains more transport information. The thermocurrent can show a distinct sawtooth-like oscillation versus gate voltage, the sign-changing characteristic [11, 12], strong nonlinearity [13], and deviation from the semiclassical Mott relation [14] due to the Coulomb blockade effect. The Kondo effect emerging in the strongly correlated QDs system also manipulates the thermoelectric transport behavior and enhances the magnitude significantly. Moreover, with increasing temperature, the charge polarity in thermocurrent reverses when the Kondo resonance is partially broken down [15]. The sign-changing characteristic of thermocurrent has been theoretically studied intensively [1620] in QDs systems and then realized in experiment either by increasing the temperature or by applying a magnetic field [21].
Due to the more adjustable geometrical configuration as well as more coupling freedom than the single QD system, the DQDs system has attracted a lot of attention. The interaction between the dots, such as inter-dot Coulomb interaction [22] and inter-dot coupling strength [23] have a significant effect on the equilibrium and transport properties of the DQDs system. Even it is suggested that by tuning the interdot tunnel coupling in the DQDs system, the dominant transport mechanism can be changed from one to another in a special case [24]. As an ‘artificial molecule’, the DQDs system is an excellent candidate for the study of various quantum mechanical effects [25, 26]. Novel physical phenomena and features, such as singular Fermi-liquid behavior [27], Coulomb drag [28], Andreev–Coulomb drag [29], and the two-channel Kondo effect [30] have been observed in the DQDs system. The transport properties and power generation through a double-orbital QD are strongly enhanced by the interplay of orbital degeneracy and Kondo physics [31]. Moreover, the DQDs system also has a broad application prospect for solid-state quantum bits [3234] and quantum-state detectors [35].
Among these systems, sign changing in the thermocurrent has been intensively studied and is more or less conclusive. The basic physical mechanism lies in the subtle change of the spectral function around the Fermi level [36], which results from either the physical parameters, such as the energy level of QDs, or the breakdown of the Kondo resonance. Our previous study shows that this picture is also suitable for DQDs [18]. All the intrinsic parameters that can affect the Kondo resonance will further lead to the sign changing of thermocurrent. The point of sign-changing sensitively depends on a certain amount of suppression of the Kondo correlation with changing the physical parameters. This pronounced feature and the related energy scale provide a window to understand the properties of the systems [37].
In this paper, we study the influence of inter-dot coupling strength t on the thermoelectric transport in the series-coupled DQD (SDQD) system based on the hierarchical equations of motion (HEOM) approach [3841]. The inter-dot coupling strength t suppresses the Kondo resonance and thus attenuates the transport, meanwhile, the t facilitates the transport accompanied by the ‘t-enhanced Kondo effect’ [23]. This competitive nature makes t have a subtle influence on the SDQD system. We find that t plays a special role in the Kondo effect in that the thermocurrent associates with the characteristic temperature at the sign-changing point of the thermocurrent. We first examine the energy level of the QD-dependent thermocurrent as well as the temperature and temperature bias dependence. Then the influence of inter-dot coupling strength on thermoelectric transport is explored. We finally exhibit that the sign-changing point is exactly the cross point with different temperature biases. The characteristic temperature at the sign changing point acts as the counterpart of the t reflecting its influence on the Kondo effect. These results will contribute to the in-depth understanding of the transport phenomena through QD systems.

2. Model and HEOM theory

The model we adopted, as shown in figure 1, has two QDs tunnel-coupled to two metal leads through the coupling strength Δ, respectively. The lead on the left is hot and the one on the right is cold. The temperature difference between the two leads is ΔkBT = kBTh − kBTc. The temperature of the SDQDs system is defined as kBT = kB(Th + Tc)/2. The total Hamiltonian for the SDQDs system consists of three parts and can be expressed as
$\begin{eqnarray}H={H}_{\rm{dots}\,}+{H}_{\rm{res}}+{H}_{\,\rm{coupling}}.\end{eqnarray}$
The Hamiltonian of the DQD system is Hdots, the Hamiltonian of the leads is Hres, and the Hamiltonian of the tunneling coupling between the DQD system and two leads is Hcoupling. Where the DQDs Hamiltonian is
$\begin{eqnarray}\begin{array}{rcl}{H}_{\,\rm{dots}\,} & = & \displaystyle \sum _{\sigma i=1,2}({\varepsilon }_{i\sigma }{\hat{a}}_{i\sigma }^{\dagger }{\hat{a}}_{i\sigma }+\frac{{U}_{i}}{2}{n}_{i\sigma }{n}_{i\bar{\sigma }})\\ & & +t\displaystyle \sum _{\sigma }({\hat{a}}_{1\sigma }^{\dagger }{\hat{a}}_{2\sigma }+{\rm{H.c.}}).\end{array}\end{eqnarray}$
Here, ϵ denotes the on-site energy of the electron with spin σ in ith-QD, ${\hat{a}}_{i\sigma }^{\dagger }$ and ${\hat{a}}_{i\sigma }$ are the corresponding electron creation and annihiation operators, ${n}_{i\sigma }={\hat{a}}_{i\sigma }^{\dagger }{\hat{a}}_{i\sigma }$ is the operator of the electron number of QD, and Ui is the Coulomb interaction between electrons with spin-up and spin-down in the ith-QD. t is the inter-dot coupling strength between the two QDs.
Figure 1. Schematic diagram of the SDQD system. The two QDs are coupled to the left and the right leads via the QD-lead coupling strength Δ, respectively. The two QDs are coupled to each other with inter-dot coupling strength t. The left lead is the hot bath (red) and the right lead is the cold bath (blue). The temperature difference of the SDQD system is ΔkBT = kBTh − kBTc.
The Hamiltonian of the two leads is ${H}_{\,\rm{res}\,}\,={\sum }_{k\sigma \alpha =L,R}{\epsilon }_{k\alpha }{\hat{d}}_{k\sigma \alpha }^{\dagger }{\hat{d}}_{k\sigma \alpha }$. The two leads act as a noninteracting electron reservoir, where α = LR labels the left and right leads, respectively. $\epsilon $ is the single particle energy level of the k state in the α lead, ${\hat{d}}_{k\sigma \alpha }^{\dagger }$ and ${\hat{d}}_{k\sigma \alpha }$ are the corresponding creation and anihilation operators, respectively. The Hamiltonian of coupling between the two leads and the DQDs is ${H}_{\,\rm{coupling}\,}={\sum }_{k\sigma \alpha }{t}_{k\sigma \alpha }{\hat{a}}_{i\sigma }^{\dagger }{\hat{d}}_{k\sigma \alpha }+\,\rm{H.c.}\,$. In the bath interaction picture, this Hamiltonian can also be written as ${H}_{\,\rm{coupling}\,}={\sum }_{\sigma }[{f}_{\sigma }^{\dagger }(t){\hat{a}}_{i\sigma }+{\hat{a}}_{i\sigma }^{\dagger }{f}_{\sigma }(t)]$, with the stochastic interactional operator ${f}_{\sigma }^{\dagger }={{\rm{e}}}^{{\rm{i}}{H}_{{\rm{res}}}t}[{\sum }_{k\alpha }{t}_{k\sigma \alpha }^{* }{\hat{d}}_{k\sigma \alpha }^{\dagger }]{{\rm{e}}}^{-{\rm{i}}{H}_{{\rm{res}}}t}$ describing the stochastic nature of the transfer coupling and satisfying the Gauss statistics. The influence of electron reservoirs on the DQDs is taken into account by the hybridization function, ${{\rm{\Delta }}}_{\alpha \sigma }(\omega )\equiv \pi {\sum }_{k}{t}_{\alpha k\sigma }{t}_{\alpha k\sigma }^{* }\delta (\omega -{\epsilon }_{k\alpha })$ =${\delta }_{\sigma {\sigma }^{{\prime} }}{\rm{\Delta }}{W}^{2}/[2{(\omega -{\mu }_{\alpha })}^{2}+{W}^{2}]$, where Δ is the effective QD-lead coupling strength, W is the bandwidth, and μα is the chemical potentials of the α-lead. Here, we adopt a Lorentzian hybridization function to make less computational resource, which specifies a consistent density of states in electrodes and has no quantitative influence on the properties of the SDQDs [42].
The SDQD model is solved by employing the HEOM approach [39]. Based on the Feynman–Vernon path-integral formalism, the HEOM theory [10, 3840] treats the strongly correlated QD system from the perspective of open dissipative dynamics. This method can provide a high precision result on the QDs system, especially on the nonequilibrium Kondo problem, containing the full Fock space of the reduced system, i.e. the QDs.
The reduced density matrix ${\rho }^{(0)}(t)\equiv {{\rm{tr}}}_{\,\rm{res}\,}\,{\rho }_{{\rm{total}}}(t)$ and a set of auxiliary density matrices of the QDs ${\rho }_{{j}_{1}\cdots {j}_{n}}^{(n)}(t)\,\equiv {{\rm{tr}}}_{{\rm{res}}}\,[{({\hat{f}}_{jn}\cdots {\hat{f}}_{j1})}^{o}{\rho }_{{\rm{total}}}(t)]$ are the basic variables in HEOM. Here ${({\hat{f}}_{{j}_{n}}\cdots {\hat{f}}_{{j}_{1}})}^{o}$ specifies an ordered set of n irreducible dissipatons. ${\hat{f}}_{j}$ is the so-called stochastic interactional operator with j = ασ and other possible indices. The equations that govern the time evolution of the reduced density matrix and auxiliary density matrix are obtained as [38, 43, 44],
$\begin{eqnarray}\begin{array}{rcl}{\dot{\rho }}_{{j}_{1}\cdots {j}_{n}}^{(n)} & = & -\left({\rm{i}}{ \mathcal L }+\displaystyle \sum _{r=1}^{n}{\gamma }_{{j}_{r}}\right){\rho }_{{j}_{1}\cdots {j}_{n}}^{(n)}-{\rm{i}}\displaystyle \sum _{j}\,{{ \mathcal A }}_{\bar{j}}\,{\rho }_{{j}_{1}\cdots {j}_{n}j}^{(n+1)}\\ & & -{\rm{i}}\displaystyle \sum _{r=1}^{n}{(-)}^{n-r}\,{{ \mathcal C }}_{{j}_{r}}\,{\rho }_{{j}_{1}\cdots {j}_{r-1}{j}_{r+1}\cdots {j}_{n}}^{(n-1)}.\end{array}\end{eqnarray}$
Here, all $\{{\rho }_{{j}_{1}\cdots {j}_{n}}^{(n)};\,n=0,1,\ldots ,L\}$ are the physically well-defined reduced density matrix and higher-order auxiliary density matrix. ${{ \mathcal A }}_{\bar{j}}={{ \mathcal A }}_{\sigma }^{\bar{\varrho }}$ and ${{ \mathcal C }}_{{j}_{r}}\equiv {{ \mathcal C }}_{\alpha \sigma m}^{\varrho }$ are Grassmannian superoperators with ϱ = + , − , which act on the auxiliary density operators as:
$\begin{eqnarray}{ \mathcal L }{\rho }_{{j}_{1}\cdots {j}_{n}}^{(n)}=\,\left[{H}_{\,\rm{DQDs}\,},{\rho }_{{j}_{1}\cdots {j}_{n}}^{(n)}\right],\end{eqnarray}$
$\begin{eqnarray}{{ \mathcal A }}_{\bar{j}}{\rho }_{{j}_{1}\cdots {j}_{n}}^{(n+1)}=\,{a}_{\bar{j}}{\rho }_{{j}_{1}\cdots {j}_{n}j}^{(n+1)}+{(-1)}^{n+1}{\rho }_{{j}_{1}\cdots {j}_{n}j}^{(n+1)}{a}_{\bar{j}},\end{eqnarray}$
$\begin{eqnarray}\begin{array}{rcl}{{ \mathcal C }}_{{j}_{r}}{\rho }_{{j}_{1}\cdots {j}_{r-1}{j}_{r+1}\cdots {j}_{n}}^{(n-1)} & = & \displaystyle \sum _{{j}_{r}}\left({\eta }_{{j}_{r}}{a}_{{j}_{r}}{\rho }_{{j}_{1}\cdots {j}_{r-1}{j}_{r+1}\cdots {j}_{n}}^{(n-1)}\right.\\ & & \left.-{(-1)}^{n-1}{\eta }_{{j}_{r}* }{\rho }_{{j}_{1}\cdots {j}_{r-1}{j}_{r+1}\cdots {j}_{n}}^{(n-1)}{a}_{{j}_{r}}\right).\end{array}\end{eqnarray}$
Here, ${a}_{\bar{j}}$ is the creation and annihilation of the QD and ${\eta }_{{j}_{r}}$ results from the parametrization of the hybridization function.
As a non-perturbative theory, the HEOM approach is tackled by the decomposition of environmental memory through the Padé spectrum decomposition scheme. Some leading factors of spectrum decomposition, to construct the stochastic interactional operators, are picked up to consider the interaction exerting on the QDs from the environment. For n tier auxiliary density matrix, it includes the environmental interaction with the number of the stochastic interactional operator up to n. The number of the stochastic interactional operator depends on the QDs-environment interaction, so that the truncation L = n − 1 depends on the temperature and the parameters in the hybridization function. In practice, all the results usually converge rapidly with increasing truncation L at finite temperature. Once the convergence is achieved, the numerical outcome is considered to be quantitatively accurate [3841].
Starting from the arbitrary initial state, the time evolving will give the final equilibrium state or the steady state under bias. The time evolution of the reduced density operator and auxiliary density operators ${\rho }_{{j}_{1}\cdots {j}_{n}}^{(n)}(t)$ could be obtained from equation (3), and the other operators, such as ${\hat{a}}_{i\sigma }(t)$ of annihilation operator of QDs, can also be obtained from Heisenberg motion equation as the counterpart of equation (3) in HEOM space [39]. With the first-tier auxiliary density operator ${\hat{\rho }}_{\alpha \sigma }^{\varrho }(t)$, the current operator with σ spin from α-lead to the SDQDs system is defined as
$\begin{eqnarray}{\hat{I}}_{\alpha }=-{\rm{i}}\displaystyle \sum _{i\sigma }({\hat{a}}_{i\sigma }^{\dagger }{\hat{\rho }}_{\alpha \sigma }^{-}-{\hat{\rho }}_{\alpha \sigma }^{+}{\hat{a}}_{i\sigma }).\end{eqnarray}$
After reaching the steady state, the thermocurrent under a temperature bias ΔkBT can be evaluated from ${I}_{\alpha }(t)\,={\rm{Tr}}[{\hat{I}}_{\alpha }{\rho }_{{\rm{total}}}(t)]$ by using the total density operator ρtotal(t). From the system correlation functions ${\tilde{{ \mathcal C }}}_{{\hat{a}}_{i\sigma }^{\dagger }{\hat{a}}_{i\sigma }}(t)\,=\lt \,{\hat{a}}_{i\sigma }^{\dagger }(t){\hat{a}}_{i\sigma }(0)\,{\gt }_{\,\rm{res}\,}$ and ${\tilde{{ \mathcal C }}}_{{\hat{a}}_{\sigma }{\hat{a}}_{\sigma }^{\dagger }}(t)=\,\lt \,{\hat{a}}_{i\sigma }(t){\hat{a}}_{i\sigma }^{\dagger }(0)\,{\gt }_{\,\rm{res}\,}$ via the time evolution of operator a(t) after the steady state t = 0, the spectral function A(ω) can be obtained by the half Fourier transform as
$\begin{eqnarray}{A}_{\sigma }(\omega )=\frac{1}{\pi }\,\rm{Re}\,\left\{{\int }_{0}^{\infty }{\rm{d}}t\{{\tilde{{ \mathcal C }}}_{{\hat{a}}_{\sigma }^{\dagger }{\hat{a}}_{\sigma }}(t)+{[{\tilde{{ \mathcal C }}}_{{\hat{a}}_{\sigma }{\hat{a}}_{\sigma }^{\dagger }}(t)]}^{* }\}{{\rm{e}}}^{{\rm{i}}\omega t}\right\}.\end{eqnarray}$
More details of the HEOM approach and the derivation of other physical quantities can be found in Refs. [10, 3840, 43, 45].

3. Results and discussion

We first study the thermoelectric transport behavior of the SDQD system by changing the energy level of QDs and the temperature difference both at low temperature and high temperature, respectively. Using the current heating technique[46], the temperature difference between the source and drain leads can be applied experimentally. The contact between the QD and the two leads results in the temperature bias on the DQDs and thus trigger the thermocurrent passing through the system. Here, we set the energy levels of the two QDs to ϵ1 = ϵ2 = ϵi. The thermocurrents through the SDQDs system as a function of the energy level of QDs ϵi and the temperature difference ΔkBT at the temperature kBT = 0.02 meV and kBT = 0.25 meV are calculated by the HEOM approach, and the results are shown in figure 2(a) and figure 2(b), respectively. The parameters are set to QD–lead coupling strength Δ = 0.2 meV, bandwidth W = 5.0 meV, Coulomb interaction U = 2.2 meV, and inter-dot coupling strength t = 0.1 meV. In our calculations, if the errors of the numerical results between the truncation L and L + 1 are less than 5%, we regard the results as converged. For the parameters studied in this paper, the HEOM is quantitatively accurate at a technical truncation L = 4 [3841]. The above parameters can be manipulated experimentally and the calculated results under the parameters setting in our work can be observed in experiments. We find that the absolute value of the thermocurrent increases with the temperature difference ΔkBT both for the low and high temperature cases. It is obvious that the response of the thermocurrent for different energy levels of QDs is different. Here, we adopt the range of the energy level of QDs as −1.6 meV < ϵi=1,2 < − 0.6 meV to ensure the occupancy of the SDQD system maintaining Ni = 1 regime. The energy level of QDs for the particle–hole symmetry point is ϵsym = −U/2 = −1.1 meV. It can be found that the thermocurrent as a function of the energy level of QDs emerge as a sign-changing phenomenon both in the low temperature and high temperature cases (figure 2(a), (b)). At a low temperature, with the increase of the energy level of QDs, the thermocurrent gives rise to a continuous transition from negative to positive value (figure 2(a)). The thermocurrent through the SDQD system is negative resulting from the multi-electron-resonant tunneling with the Kondo effect at ϵi < ϵsym. In contrast, for ϵi > ϵsym, the Kondo singlet state would become multi-hole-dominant, leading the thermocurrent through the SDQDs system is positive. At high temperature kBT = 0.25 meV, the thermocurrent as a function of the energy level of QDs owns an opposite behavior, as shown in figure 2(b). With the increase of the energy level of QDs, the thermocurrent gives rise to a continuous transition from positive to negative value. Moreover, the value of the thermocurrent is affected by both the energy level of QDs and the temperature. At low temperature, the thermocurrent is only −64.2 pA at ϵi = − 1.0 meV. While the value of thermocurrent reaches 991.7 pA at the energy level of QDs ϵi = −0.6 meV. At high temperature, the maximum value of thermocurrent emerging at the energy level of QDs ϵi = −1.6 meV is only 118.0 pA. The charge polarity of the thermocurrent through the single QD system can be reversed by the sufficiently strong Kondo correlations [21]. Here, we have extended the study model to a DQDs system. For the comprehensive study of thermoelectric transport of the DQDs system, the effects of the presence and absence of the Kondo correlation on the thermocurrent through the SDQDs system are compared by the thermocurrent as a function both of the energy of QDs and of the temperature differences at the low temperature and high temperature cases, respectively (figure 2(a), (b)). Compared with [21], our result shows that whether there is a Kondo correlation or not, the thermocurrent through the SDQD system always has a sign-changing behavior with the changing of the energy level of QDs. The increase in temperature difference has an enhanced effect on the thermocurrent.
Figure 2. Thermocurrent through the SDQD system as a function of the energy level of QDs and temperature difference at the temperature kBT = 0.02 meV (a), and kBT = 0.25 meV (b). The parameters are Δ = 0.2 meV, W = 5.0 meV, U = 2.2 meV, t = 0.1 meV.
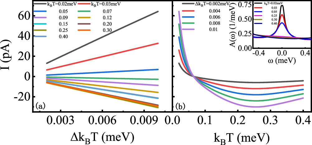
Next, we calculated the thermocurrent through the SDQD system as a function of temperature difference ΔkBT and as a function of temperature kBT at the energy level of QDs ϵi = −1.0 meV, respectively. The thermocurrent as a function of temperature difference ΔkBT for the different temperatures is shown in figure 3(a). The thermocurrent as a function of temperature kBT for the different temperature differences is shown in figure 3(b). The thermocurrent becomes strong with the increasing temperature difference both for low and high temperature cases (see figure 3(a)). It is obvious that the effect of varying temperature on the thermocurrent presents a nonlinear behavior, see figure 3(b). At low temperature, the SDQD system is dominated by the Kondo effect. Due to ϵi = −1.0 meV > ϵsym, the SDQD system is in the multi-hole-resonant tunneling regime. So the thermocurrent through the SDQD system is positive and is enhanced by lowering temperature. Here, the corresponding spectral function A(ω) shows a narrow and sharp Kondo peak at ω = 0 meV. The Kondo effect is suppressed by increasing temperature. The single Kondo peak appearing at ω = 0 meV becomes shorter and wider (see the inset of figure 3(b)). This demonstrates that the thermocurrent decreases with temperature. When the temperature of the SDQD system is further increasing, the Kondo effect vanishes from the SDQD system. Here, a mild single electron tunneling process manipulates the transport behavior. Thus causing the thermocurrent to change into negative with the sign-changing phenomenon. In order to make it clearer, we define a characteristic temperature kBTc, at which the thermocurrent through the SDQD system changes from a positive (negative) value to a negative (positive) value. The previous studies indicate the sign changing in single QD system can show up for the thermopower S(T) with a changing energy level of the QD [16] and an additional sign reversal of the thermopower with a changing magnetic field [19]. In the single QD system, the characteristic temperature for the sign reversal has been qualitatively analyzed [15] and sheds some light on understanding the changing of the quantum states for the single QD system. To reach such an understanding in the SDQD system, we have numerically calculated the characteristic temperature of the thermocurrent through the SDQD system. We find that keeping the energy level of the QDs and inter-dot coupling strength, the sign transition point is exactly the same cross point of the thermocurrent with different temperature biases, which implies the system at certain breakdown of the Kondo correlation and could provide a potential method to measure the other physical quantities. Under the parameters setting in figure 3, from our calculation, we get the characteristic temperature kBTc = 0.064 meV.
Figure 3. (a) Thermocurrent through the SDQD system as a function of temperature difference ΔkBT for the different temperatures. (b) Thermocurrent through the SDQD system as a function of temperature kBT for the different temperature differences. The inset is the corresponding spectral function A(ω). The energy level of QDs ϵi = −1.0 meV and the other parameters are the same as in figure 2.
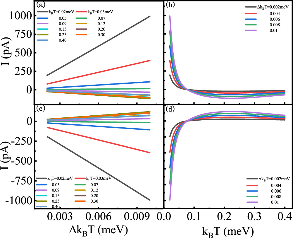
In order to further determine the relationship between characteristic temperature and energy level of QDs, we alter the energy level of QDs to ϵi = −0.6 meV and ϵi = −1.6 meV. In experimental implementation, the energy levels of the two QDs can controlled by adjusting the gate voltage VL(R) on the left(right) plunger gate [24]. The results are shown in figure 4(a) and figure 4(c), respectively. The thermocurrent through the SDQD system as a function of temperature kBT for the different temperature differences both at the above two energy levels of QDs are described in figure 4(b) and figure 4(d). The behavior of thermocurrent at the energy level of QDs ϵi = −0.6 meV is similar to that shown in figure 3. However, the amplitude value of the thermocurrent at ϵi = −0.6 meV is larger than at ϵi = −1.0 meV. For example, the maximum value the thermocurrent can reach is 991.7 pA at the energy level of QDs −0.6 meV. While it only owns the value 64.2 pA at ϵi = −1.0 meV.
Figure 4. Thermocurrent through the SDQD system as a function of temperature difference ΔkBT for the different temperatures at the energy level of QDs ϵi = −0.6 meV (a) and ϵi = −1.6 meV (c). (b) and (d) are the thermocurrent through the SDQD system as a function of temperature kBT for the different temperature differences at the energy level of QDs ϵi = −0.6 meV and ϵi = −1.6 meV. The other parameters are the same as in figure 2.
It can be found that the behavior of the thermocurrent through the SDQD system at the energy level of QDs ϵi = −0.6 meV is mutually symmetric to ϵi = −1.6 meV, as shown in figure 4(a),(b) and figure 4(c),(d). The thermocurrent increases with the temperature difference ΔkBT both for ϵi = −0.6 meV and for ϵi = −1.6 meV. The distinct different feature is that the thermocurrent generates a transition from positive to negative for ϵi = −0.6 meV and shows the opposite transition from negative to positive for ϵi = −1.6 meV. The reason is that the SDQD system transforms from multi-hole-resonant tunneling to multi-electron-resonant tunneling when ϵi passes over ϵsym at low temperatures. As the temperature increases, the Kondo effect is suppressed. It leads to the decrease of the thermocurrent. When the temperature further increases, the SDQD system enters into a mild single electron tunneling regime. The thermocurrent becomes the negative value for ϵi = −0.6 meV and the positive value for ϵi = −1.6 meV. From the calculation, we can get that when the energy level of QDs is −0.6 meV and −1.6 meV, the characteristic temperature is the same kBTc = 0.076 meV due to them having the same gate voltage offset from particle-hole symmetry point. Therefore, the energy level can affect the characteristic temperature. However, the energy level of QDs can be determined by two mutually symmetric thermocurrents at the energy levels with respect to the particle-hole symmetry point, such as at ϵi = −0.6 meV and ϵi = −1.6 meV.
The inter-dot coupling strength changes the ground-state properties of the DQD system as well as the effective antiferromagnetic interaction between the two QDs. So it also affects the characteristic temperature. It is one of the key factors for modulating the Kondo effect through the DQD system, but hard to determine. By changing the inter-dot coupling strength, the SDQD system is able to transform from the weak-coupling regime to the middle-coupling regime and the strong-coupling regime. These coupling strengths, including the one between the QDs, and between the QD and the source/drain lead, can be regulated by adjusting the barrier voltage of the plunger electrodes [47]. The SDQD system has completely different physical properties in these three different regimes. Here, we suggest that the characteristic temperature acts as a good candidate to understand its influence on the Kondo effect and even provides a quantitative description of the inter-dot coupling. In the following, we first explore the modulation of the inter-dot coupling strength on the thermoelectric transport through the SDQD system in the weak-coupling regime. We have calculated the thermocurrent through the SDQDs system as a function of temperature kBT for the different temperature differences in the weak-coupling regime as shown in figure 5.
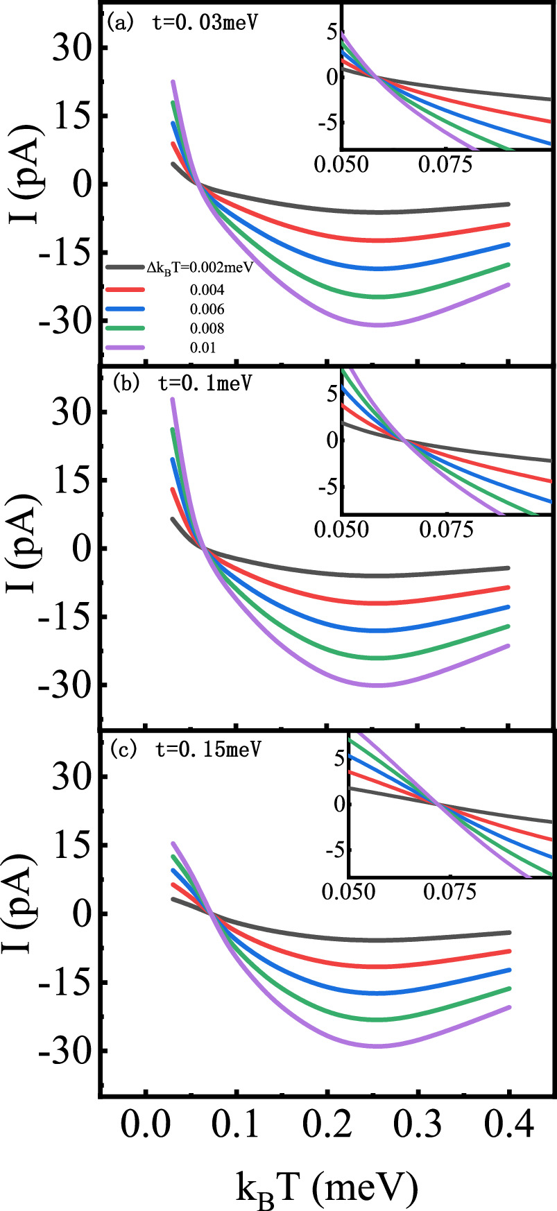
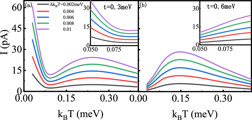
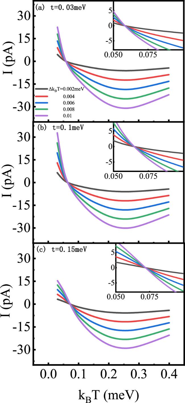
Figure 5. Thermocurrent through the SDQD system as a function of temperature kBT for the different temperature differences at the inter-dot coupling strengths t = 0.03 meV (a), t = 0.1 meV (b), and t = 0.15 meV (c). The insets are the corresponding larger version of the thermocurrent at 0.05 meV < kBT < 0.10 meV. The energy level of QDs ϵi = −1.0 meV and the other parameters are the same as in figure 2.
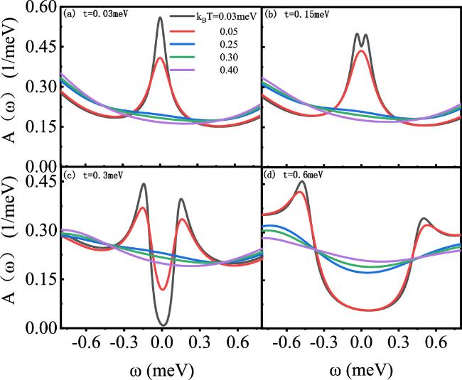
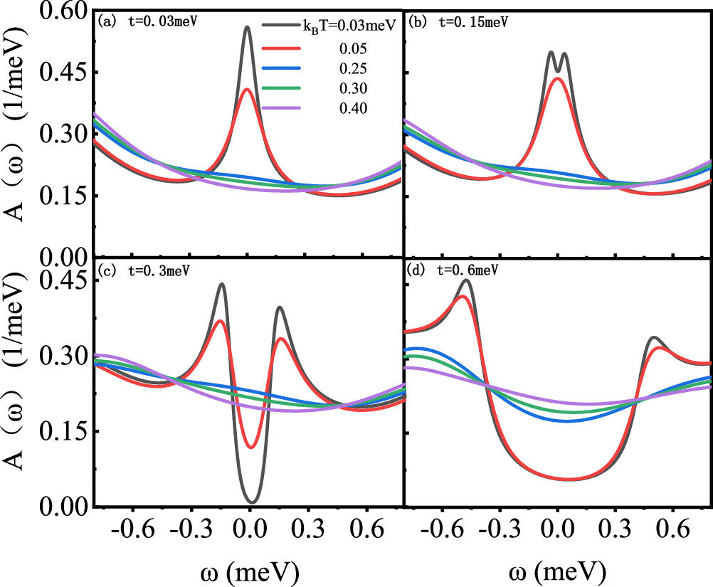
In the weak-coupling regime (t < Δ), (Δ is the QD–lead coupling strength), the two QDs are not yet able to form a molecule structure. At low temperature, the SDQD system is in the Kondo regime. Each QD can be screened by the conduction electrons of the lead. The ground state of the SDQDs system is the degenerate Kondo singlet states of individual QD. The hole tunneling process in the SDQDs system is enhanced by the many-body resonance of the Kondo effect. Therefore, the strong positive thermocurrent arises at low temperature, as shown in figure 5. As the temperature increases, the Kondo effect is suppressed, which is associated with the lower Kondo single peak in the spectral function of the SDQDs system (figure 7(a)). It leads to the decrease of thermocurrent. When the temperature further increases, the SDQD system enters into the single electron tunneling regime. Here, the thermocurrent through the SDQD system gives rise to a transition from positive to negative value. Most distinctly, the thermocurrent through the SDQD system owns a complex changing behavior with the increase of inter-dot coupling strength t. Comparing figure 5(a) and figure 5(b), the thermocurrent increases with the inter-dot coupling strength t from 0.03 meV to 0.1 meV. For example, when kBT = 0.03 meV, ΔkBT = 0.01 meV, the thermocurrent value is 22.50 pA at t = 0.03 meV, the thermocurrent is enhanced to 32.80 pA at t = 0.1 meV due to the increasing inter-dot coupling strength. The reason is that there is a ‘t-enhanced Kondo effect’ enhancing the transport behavior. It can be confirmed by the transition of the corresponding spectral function. As shown in figure 7(a) and the inset of figure 3(b), the Kondo single peak in the spectral function at ω = 0 meV becomes higher and broader from t = 0.03 meV to t = 0.1 meV. But with further increasing inter-dot coupling strength, the antiferromagnetic interaction between the two QDs will be strengthened. It causes the Kondo single peak in the spectral function to split into two peaks, as shown in figure 7(b). Thus the thermocurrent through the SDQDs system is suppressed by the strong t, as shown in figure 5(c). By using the thermocurrents at different temperature differences, it gives a clear point of the changing of the sign, which is at the cross point. It is calculated that in the weak-coupling regime, the characteristic temperature is kBTc = 0.056 meV when t = 0.03 meV; when the inter-dot coupling strength is 0.1 meV, the characteristic temperature is kBTc = 0.064 meV; when t = 0.15 meV, the characteristic temperature shifts to higher to 0.068 meV. In a word, the inter-dot coupling strength not only affects the value of the thermocurrent, but also affects the characteristic temperature of the sign changing in thermocurrents in the weak-coupling regime.
Figure 6. Thermocurrent through the SDQD system as a function of temperature kBT for the different temperature differences at the inter-dot coupling strengths t = 0.3 meV (a) and t = 0.6 meV (b). The insets are the corresponding larger version of the thermocurrent at 0.05 meV < kBT < 0.10 meV. The energy level of QDs ϵi = −1.0 meV and the other parameters are the same as in figure 2.
Figure 7. The spectral function of the SDQDs system for the inter-dot coupling strengths t = 0.03 meV (a), t = 0.15 meV (b), t = 0.3 meV (c), and t = 0.6 meV (d). The energy level of QDs ϵi = −1.0 meV and the other parameters are the same as in figure 2.
When further increasing the inter-dot coupling strength, the SDQD system will set into the middle-coupling regime and strong-coupling regime. Finally, we present the thermocurrent through the SDQD system for a stronger inter-dot coupling strength t = 0.3 meV for the middle-coupling regime and t = 0.6 meV for the strong-coupling regime in figure 6(a) and figure 6(b), respectively. Apparently, for both t = 0.3 meV and t = 0.6 meV, sign changing is absent. To conclude, the sign changing with increasing temperature only shows up when the Kondo effect exists at low temperature, and the characteristic temperature can be used to explore the influence of the t on the Kondo effect in thermoelectric studies.
To compare, the spectral function of the SDQD system for the inter-dot coupling strengths t = 0.03 meV, t = 0.15 meV, t = 0.3 meV, and t = 0.6 meV are calculated and the results are shown in figure 7(a), (b), (c), and (d). The spectral function for the given DQD system can analyze the mechanism for the sign changing of thermocurrent. The transition of the spectral function for the DQD system with different inter-dot coupling strengths has been widely explored [18, 23, 36]. It is found that the single Kondo peak of the spectral function will split into two peaks with increasing inter-dot coupling strength because the DQD system undergoes a continuous transition from the separate Kondo singlet state of individual QD to a spin singlet state forming between the two QDs. At t = 0.03 meV and t = 0.15 meV, the Kondo effect can take place at low temperature. The competition between the two states leads to alternation of the spectral function around the Fermi level, as shown in figure 7(a) and figure 7(b), thus, results in the sign changing in thermocurrent. At the inter-dot coupling strength t = 0.3 meV, the forming coherence bonding and antibonding orbitals associated with the double-peak structure of spectral function (figure 7(c)) and the residual Kondo effect co-dominate the transport process at low temperature. So the distinct thermocurrent emerges at low temperature and decreases with increasing temperature. When the temperature increases further, the residual Kondo effect disappears. Here, the thermocurrent increases with the temperature. When the temperature further increases continuously, the density of state falls into the temperature difference window decreases with temperature. It leads to the thermocurrent decreasing with temperature, as shown in figure 6(a). At the inter-dot coupling strength t = 0.6 meV, the two QDs tend to form a molecule structure. Here, the electron needs to be seen as a coherent wave distributed over the two QDs. With the further increase of the inter-dot coupling strength, the split two peaks in spectral function move to opposite directions centering on ω = 0 meV. The coherence bonding and antibonding transport channels are out of the temperature difference window. The thermocurrent firstly increases and then decreases with the temperature. For high temperature, the two peaks of spectral function vanish (figure 7(d)). The density of state falling into the temperature difference window decreases with temperature. Therefore, the thermocurrent increases for t = 0.6 meV at the temperature kBT < 0.13 meV and decreases at the temperature kBT > 0.13 meV, as shown in the inset of figure 6(b). It is obvious that in the temperature range kBT > 0.25 meV, the same mechanism leads to a decrease in thermocurrent both for t = 0.3 meV and t = 0.6 meV. Moreover, the thermocurrent has no sign changing phenomenon both in the middle-coupling regime and strong-coupling regime. The building of the DQD system [48] and controlling both the energy levels of QDs and the coupling strengths are technically easy to realize nowadays. Once our results are realized and confirmed in the experimental study, beyond bringing more deep theoretic understanding of the thermoelectronic properties in the DQD system, by using a delicate design of an electronic device, it is also feasible to realize a high-precise thermometer to measure the temperature bias or high-efficiency and controllable energy harvesters with thermoelectric energy conversion.

4. Conclusions

In conclusion, we study the thermoelectric transport properties of the SDQD system based on the HEOM approach. The thermocurrent either as a function of the energy level of QDs or as the temperature can give rise to a sign-changing phenomenon. In particular, the transition point of sign changing is exactly the cross point of different temperature biases with increasing temperature. Here, we define a characteristic temperature kBTc, at which the partial breakdown of the Kondo resonance leads to an equal weight for both the electron and hole. This characteristic temperature kBTc relates to the energy level of QDs and the inter-dot coupling. We present sign changing for different energy levels with increasing temperature, and the relationship between the characteristic temperature kBTc and the changing of the energy level is easy to understand.
We also focus on the sign changing of thermocurrent for different inter-dot coupling strengths. The inter-dot coupling has a subtle effect on the Kondo effect, such as the ‘t-enhanced Kondo effect’ and also supplying the transport channel, therefore an understanding of its influence on the Kondo effect in nonequilibrium case is not apparent. In the weak-coupling regime, the thermocurrent can be enhanced by inter-dot coupling strength due to the ‘t-enhanced Kondo effect’. With further increasing inter-dot coupling strength, the thermocurrent is suppressed. The forming coherence bonding and antibonding orbitals associated with the double-peak structure of spectral function and the residual Kondo effect co-dominate the transport process. As the inter-dot coupling strength increases the strong-coupling regime, the two QDs tend to form an artificial molecule structure. The coherence bonding and antibonding transport channels moving away from the temperature difference window leads to a decrease in thermocurrent. However, the sign changing of thermocurrent plays a role in clearly indicating the variations of the Kondo effect. When the Kondo resonance is suppressed, the sign changing with increasing temperature also vanishes at that inter-dot coupling t. Moreover, the related characteristic temperature promises a quantitative estimation of the influence of t, where an equal amount density of states for hole and electron emerges due to the weakening of the Kondo resonance at the sign-changing point. These findings are useful for revealing the properties of non-equilibrium thermoelectric transport and their experimental verification in related QD systems.

We acknowledge the support of NSFC (Grants No. 11804245, No. 11747098, No. 12247101, & No. 12047501), and the Fund from the Ministry of Science and Technology of China (Grant No. 2022YFA1402704).

1
Chen J, Reed M A, Rawlett A M, Tour J M 1999 Large on-off ratios and negative differential resistance in a molecular electronic device Science 286 1550 1552

DOI

2
Chen J, Wang W, Reed M A, Rawlett A M, Price D W, Tour J M 2000 Room-temperature negative differential resistance in nanoscale molecular junctions Appl. Phys. Lett. 77 1224 1226

DOI

3
Park J 2002 Coulomb blockade and the Kondo effect in single-atom transistors Nature 417 722 725

DOI

4
Arseyev P I, Maslova N S, Mantsevich V N 2012 Coulomb correlations effects on localized charge relaxation in the coupled quantum dots Eur. Phys. J. B 85 249

DOI

5
Arseyev P I, Maslova N S, Mantsevich V N 2012 Charge and spin configurations in the coupled quantum dots with Coulomb correlations induced by tunneling current Eur. Phys. J. B 85 410

DOI

6
Dubi Y, Ventra M D 2011 Colloquium: Heat flow and thermoelectricity in atomic and molecular junctions Rev. Mod. Phys. 83 131

DOI

7
Goan H-S, Milburn G J, Wiseman H M, Bi Sun H 2001 Continuous quantum measurement of two coupled quantum dots using a point contact: a quantum trajectory approach Phys. Rev. B 63 125326

DOI

8
Heidrich-Meisner F, Feiguin A E, Dagotto E 2009 Real-time simulations of nonequilibrium transport in the single-impurity Anderson model Phys. Rev. B 79 235336

DOI

9
Cazalilla M A, Marston J B 2002 Time-dependent density-matrix renormalization group: a systematic method for the study of quantum many-body out-of-equilibrium systems Phys. Rev. Lett. 88 256403

DOI

10
Cheng Y, Li Z, Wei J, Nie Y, Yan Y 2018 Transient dynamics of a quantum-dot: from Kondo regime to mixed valence and to empty orbital regimes J. Chem. Phys. 148 134111

DOI

11
Beenakker C W J, Staring A A M 1992 Theory of the thermopower of a quantum dot Phys. Rev. B 46 9667

DOI

12
Scheibner R, Novik E G, Borzenko T, König M, Reuter D, Wieck A D, Buhmann H, Molenkamp L W 2007 Sequential and cotunneling behavior in the temperature-dependent thermopower of few-electron quantum dots Phys. Rev. B 75 041301(R)

DOI

13
Sierra M A, López R, Sánchez D 2017 Fate of the spin -1/2 Kondo effect in the presence of temperature gradients Phys. Rev. B 96 085416

DOI

14
Scheibner R, Buhmann H, Reuter D, Kiselev M N, Molenkamp L W 2005 Thermopower of a Kondo spin-correlated quantum dot Phys. Rev. Lett. 95 176602

DOI

15
Cheng Y, Li Z, Wei J, Luo H, Lin H, Yan Y 2020 Kondo resonance assisted thermoelectric transport through strongly correlated quantum dots Sci. Chin. Phys. Mech. Astron. 63 297811

DOI

16
Costi T A, Zlatić V 2010 Thermoelectric transport through strongly correlated quantum dots Phys. Rev. B 81 235127

DOI

17
Sierra M A, Saiz-Bretín M, Domínguez-Adame F, Sánchez D 2016 Interactions and thermoelectric effects in a parallel-coupled double quantum dot Phys. Rev. B 93 235452

DOI

18
Cheng Y, Li Z, Wei J, Luo H, Lin H 2021 Thermoelectric transport through strongly correlated double quantum dots with Kondo resonance Phys. Lett. A 415 127657

DOI

19
Costi T A 2019 Magnetic field dependence of the thermopower of Kondo-correlated quantum dots Phys. Rev. B 100 161106(R)

DOI

20
Costi T A 2019 Magnetic field dependence of the thermopower of Kondo-correlated quantum dots: Comparison with experiment Phys. Rev. B 100 155126

DOI

21
Svilans A, Josefsson M, Burke A M, Fahlvik S, Thelander C, Linke H, Leijnse M 2018 Thermoelectric characterization of the Kondo resonance in nanowire quantum dots Phys. Rev. Lett. 121 206801

DOI

22
Safdari S, Soltani M, Rashedi G 2023 The effect of inter-dot Coulomb interaction on the charge and energy transport properties of a five-terminal system consisting of three Coulomb-coupled quantum dots Nanotechnology 34 465001

DOI

23
Li Z, Cheng Y, Wei J, Zheng X, Yan Y 2018 Kondo-peak splitting and resonance enhancement caused by interdot tunneling in coupled double quantum dots Phys. Rev. B 98 115133

DOI

24
Dorsch S 2021 Heat drive transport in serial double quantum dot devices Nano Lett. 21 988 994

DOI

25
Rontani M 2004 Molecular phases in coupled quantum dots Phys. Rev. B 69 085327

DOI

26
Jacob D, Wunsch B, Pfannkuche D 2004 Charge localization and isospin blockade in vertical double quantum dots Phys. Rev. B 70 81314(R)

DOI

27
Mehta P, Andrei N, Coleman P, Borda L, Zarand G 2005 Regular and singular Fermi-liquid fixed points in quantum impurity models Phys. Rev. B 72 014430

DOI

28
He W 2020 Performance of the T-matrix based master equation for Coulomb drag in double quantum dots Phys. Rev. B 101 035417

DOI

29
Tabatabaei S M, Sánchez D, Yeyati A L, Sánchez R 2020 Andreev-coulomb drag in coupled quantum dots Phys. Rev. Lett. 125 247701

DOI

30
Sela E, Mitchell A K, Fritz L 2011 Exact crossover Green function in the two-channel and two-impurity Kondo models Phys. Rev. Lett. 106 147202

DOI

31
Azema J, Daré A-M, Schäfer S, Lombardo P 2012 Kondo physics and orbital degeneracy interact to boost thermoelectrics on the nanoscale Phys. Rev. B 86 075303

DOI

32
Loss D, DiVincenzo D P 1998 Quantum computation with quantum dots Phys. Rev. A 57 120

DOI

33
Vrijen R, Yablonovitch E, Wang K, Jiang H, Balandin A, Roychowdhury V, Mor T, Divincenzo D 2000 Electron-spin-resonance transistors for quantum computing in silicon-germanium heterostructures Phys. Rev. A 62 012306

DOI

34
Aguado R, Brandes T 2004 Shot noise spectrum of open dissipative quantum two-level systems Phys. Rev. Lett. 92 206601

DOI

35
Jiao H, Li X, Luo J 2007 Quantum measurement characteristics of a double-dot single electron transistor Phys. Rev. B 75 155133

DOI

36
Daroca D P, Roura-Bas P, Aligia A A 2023 Thermoelectric properties of a double quantum dot out of equilibrium in Kondo and intermediate valence regimes Phys. Rev. B 108 155117

DOI

37
Roura-Bas P, Tosi L, Aligia A A, Cornaglia P S 2012 Thermopower of an SU(4) Kondo resonance under an SU(2) symmetry-breaking field Phys. Rev. B 86 165106

DOI

38
Jin J, Zheng X, Yan Y 2008 Exact dynamics of dissipative electronic systems and quantum transport: hierarchical equations of motion approach J. Chem. Phys. 128 234703

DOI

39
Li Z, Tong N, Zheng X, Hou D, Wei J, Hu J, Yan Y 2012 Hierarchical Liouville-space approach for accurate and universal characterization of quantum impurity systems Phys. Rev. Lett. 109 266403

DOI

40
Yan Y 2014 Theory of open quantum systems with bath of electrons and phonons and spins: many-dissipaton density matrixes approach J. Chem. Phys 140 054105

DOI

41
Cheng Y, Hou W, Wang Y, Li Z, Wei J, Yan Y 2015 Time-dependent transport through quantum-impurity systems with Kondo resonance New J. Phys. 17 033009

DOI

42
Bulla R, Pruschke T, Hewson A C 1997 Anderson impurity in pseudo-gap Fermi systems J. Phys.: Condens. Matter 9 10463

DOI

43
Jin J, Wang S, Zheng X, Yan Y 2015 Current noise spectra and mechanisms with dissipaton equation of motion theory J. Chem. Phys. 142 234108

DOI

44
Hu J, Luo M, Jiang F, Xu R, Yan Y 2011 Padé spectrum decompositions of quantum distribution functions and optimal hierarchical equations of motion construction for quantum open systems J. Chem. Phys. 134 244106

DOI

45
Wang S, Zheng X, Jin J, Yan Y 2013 Hierarchical Liouville-space approach to nonequilibrium dynamical properties of quantum impurity systems Phys. Rev. B 88 035129

DOI

46
Staring A A M 1993 Coulomb-Blockade oscillations in the thermopower of a duantum dot Europhys. Lett. 22 1

DOI

47
van der Wiel W G 2002 Electron transport through double quantum dots Rev. Mod. Phys. 75 1 22

DOI

48
Liu Y, Yang X 2010 Enhancement of thermoelectric efficiency in a double-quantum-dot molecular junction J. Appl. Phys. 108 023710

DOI

Outlines

/