1. Introduction
Figure 1. Phase diagram of the 2D ±J RBIM. The ferromagnetic phase boundary at high temperatures (black line) starts from the pure case at TIS/J = 2.269. . . and ends at the multicritical point on the Nishimori line (red dashed line). Below the multicritical point, the phase boundary curves slightly to the left and reaches the zero-temperature ferromagnetic to spin-glass transition point at pc0 ≃ 0.9. Thus, between pN and pc0, the paramagnetic phase ‘re-enters' at sufficiently low temperatures. These phase boundaries were drawn based on data from [1–3]. |
2. Entropic sampling
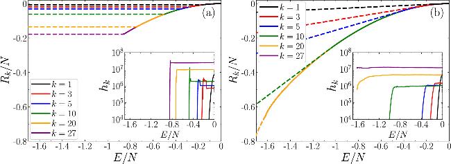
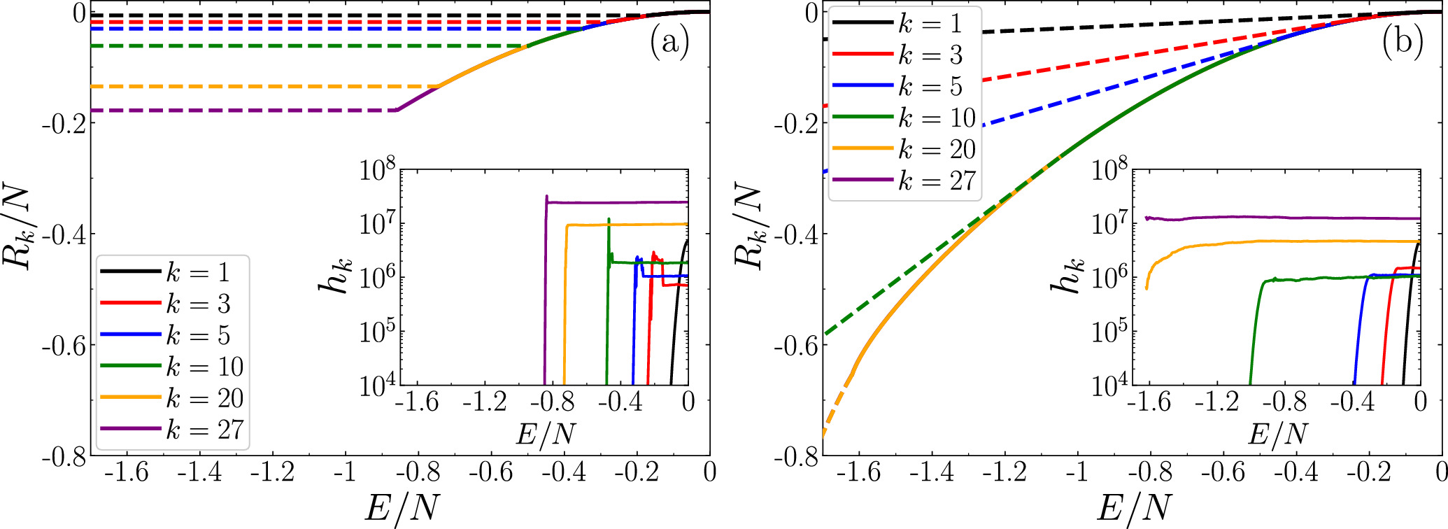
Figure 2. Comparison of two iteration schemes for the 2D ±J RBIM with N = 48 × 48 and p = 0.9. (a) Berg's iterative scheme, (b) the polynomial fitting and extrapolation scheme. Both panels show the evolution of relative entropy and histogram as a function of the number of iterations. The dashed lines indicate regions where hk = 0, while the solid lines correspond to regions where hk > 0. The polynomial fitting and extrapolation scheme exhibits significantly faster convergence compared to Berg's original method. |
3. Ferromagnetic phase boundary and critical exponents
Table 1. Summary of critical point and critical exponent estimates below the MCP for the 2D ±J RBIM on the square lattice. In the table, ${L}_{{\rm{\max }}}$ denotes the largest system size examined in each study, pc is the estimated critical point, ν is the correlation length exponent, and β is the magnetization exponent. |
| Method | Year | Temperature | ${L}_{{\rm{\max }}}$ | pc | ν | β |
|---|---|---|---|---|---|---|
| Series expansion [31] | 1979 | 0 | — | ∼0.901 | — | — |
| Matching algorithm [32] | 1989 | 0 | 210 | 0.895(10) | — | — |
| Matching algorithm [33] | 1994 | 0 | 300 | 0.892∼0.905 | — | — |
| Exact Ground States [34] | 1997 | 0 | 32 | 0.896(1) | 1.30(2) | — |
| Real-space renormalization group [35] | 2001 | 0 | — | 0.8951(3) | — | — |
| 0.5 | — | 0.8919(4) | — | — | ||
| Exact Ground States [36] | 2003 | 0 | 42 | 0.8967(1) | 1.49(2) | — |
| Matching algorithm [2] | 2004 | 0 | 700 | 0.897(1) | 1.55(1) | 0.09(1) |
| Monte Carlo [3] | 2009 | 0.5 | 64 | 0.8925(1) | 1.50(4) | 0.092(2) |
| 0.645 | 64 | 0.8915(2) | 1.50(4) | 0.099(3) | ||
| Pfaffian technique [4] | 2011 | below MCP | 512 | — | 1.52(5) | — |
Figure 3. Binder cumulant B as a function of p below the MCP. Panels (a)–(d) correspond to temperatures T = 0, 0.5, 0.8, and 0.95, respectively. |
Table 2. Fitting results for the FSS of the Binder cumulant B at different temperatures using equation ( |
| Temperature | χ2/DOF | pc | ν | B0 |
|---|---|---|---|---|
| 0 | 47.7/40 | 0.89456(13) | 1.50(8) | 1.0755(10) |
| 0.1 | 47.7/40 | 0.89456(13) | 1.50(8) | 1.0755(10) |
| 0.2 | 47.8/40 | 0.89456(13) | 1.50(8) | 1.0755(10) |
| 0.3 | 47.7/40 | 0.89426(12) | 1.50(8) | 1.0774(9) |
| 0.4 | 29.3/40 | 0.89327(7) | 1.54(7) | 1.0831(8) |
| 0.5 | 33.5/40 | 0.89233(9) | 1.55(8) | 1.0882(9) |
| 0.6 | 36.0/40 | 0.89155(10) | 1.55(7) | 1.0937(9) |
| 0.65 | 36.4/40 | 0.89122(10) | 1.56(6) | 1.0969(9) |
| 0.7 | 36.4/40 | 0.89094(10) | 1.56(6) | 1.1006(10) |
| 0.8 | 35.7/40 | 0.89055(10) | 1.55(6) | 1.1096(10) |
| 0.9 | 35.2/40 | 0.89054(9) | 1.53(5) | 1.1207(10) |
| 0.95 | 36.2/40 | 0.89075(8) | 1.51(5) | 1.1269(9) |
| TNL | 36.3/40 | 0.89078(8) | 1.58(5) | 1.1273(10) |
Table 3. Fitting results for the FSS of the magnetization m at different temperature, using the equation ( |
| Temperature | χ2/DOF | β/ν | β |
|---|---|---|---|
| 0 | 45.0/40 | 0.0552(7) | 0.083(5) |
| 0.1 | 45.0/40 | 0.0552(7) | 0.083(5) |
| 0.2 | 45.0/40 | 0.0552(7) | 0.083(5) |
| 0.3 | 43.8/40 | 0.0563(6) | 0.085(5) |
| 0.4 | 34.4/40 | 0.0598(5) | 0.091(5) |
| 0.5 | 40.4/40 | 0.0631(7) | 0.097(5) |
| 0.6 | 44.7/40 | 0.0666(8) | 0.103(5) |
| 0.65 | 46.4/40 | 0.0688(8) | 0.107(5) |
| 0.7 | 47.8/40 | 0.0712(8) | 0.109(5) |
| 0.8 | 49.4/40 | 0.0771(9) | 0.120(5) |
| 0.9 | 48.8/40 | 0.0843(9) | 0.130(5) |
| 0.95 | 48.0/40 | 0.0883(8) | 0.134(5) |
| TNL | 50.8/40 | 0.0886(9) | 0.141(5) |
4. Ground state and mixed-order transition
4.1. Magnetization-resolved degeneracy of low-lying states
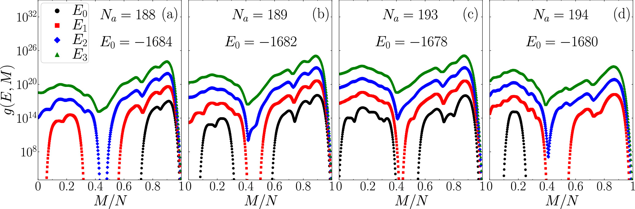
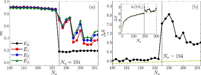
Figure 4. Density of states g(E, M) from the ground state E0 to the third excited state E3, shown for four different values of Na in a system of size L = 32. Each subplot corresponds to a specific Na. A significant change in the ground-state magnetization distribution is observed between Na = 188 and Na = 189, where a bimodal structure emerges. Another abrupt transition occurs between Na = 193 and Na = 194, where the right peak in the ground-state distribution disappears, leaving only the left peak. Both transitions are induced by the addition of a single AFM bond. |
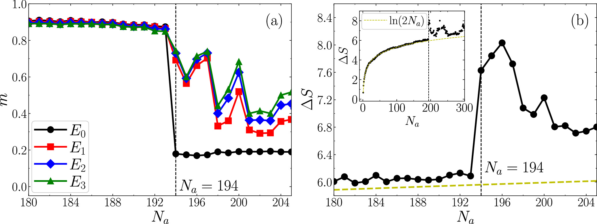
Figure 5. (a): Average magnetization m as a function of the number of AFM bonds Na from the ground state (E0) to the third excited state (E3). For this sequence of bond configurations, the ground-state magnetization exhibits a first-order transition. (b): Entropy gap ΔS between the first excited state and the ground state versus Na. The dashed line, ${\mathrm{ln}}\,(2{N}_{a})$, represents the expected contribution from completely independent (single spin) excitations. A sudden increase in ΔS at Na = 194 suggests a change in the excitation mechanism at this point. |
Figure 6. Spin and bond configurations in the ground state for Na = 193 (a) and Na = 194 (b). Blue and yellow cubes denote spins Si = 1 and Si = −1, respectively, while red bonds indicate frustrated bonds with JijSiSj = −1. For Na = 193, both (a) and (b) represent degenerate ground states, whereas for Na = 194, only configuration (b) remains as the ground state. The primary difference between the two configurations is the presence of a large spin cluster. |
4.2. Finite-size scaling analysis of ground-state magnetization
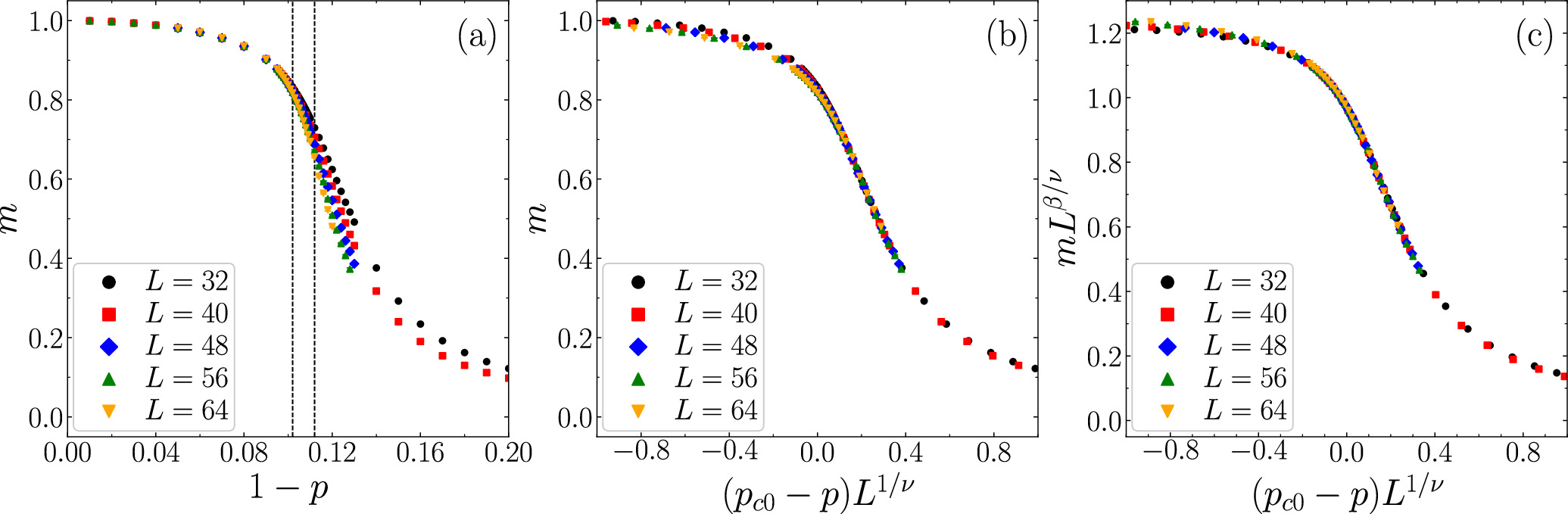
Figure 7. Average ground-state magnetization m and its FSS under different parameters. (a) Ground-state magnetization m as a function of 1 − p. (b) and (c) FSS analysis of m using (pc0, β) = (0.898, 0) in (b) and (pc0, β) = (0.8945, 0.083) in (c). |
Table 4. Fitting results for the FSS of the magnetization m at different ${L}_{{\rm{\min }}}$, using the equation ( |
| Lmin | χ2/DOF | pc0 |
|---|---|---|
| 24 | 3345.9/69 | 0.9008(4) |
| 32 | 974.2/53 | 0.9001(4) |
| 40 | 217.6/37 | 0.8991(7) |
| 48 | 99.6/31 | 0.8988(6) |
| 56 | 16.5/13 | 0.8982(12) |
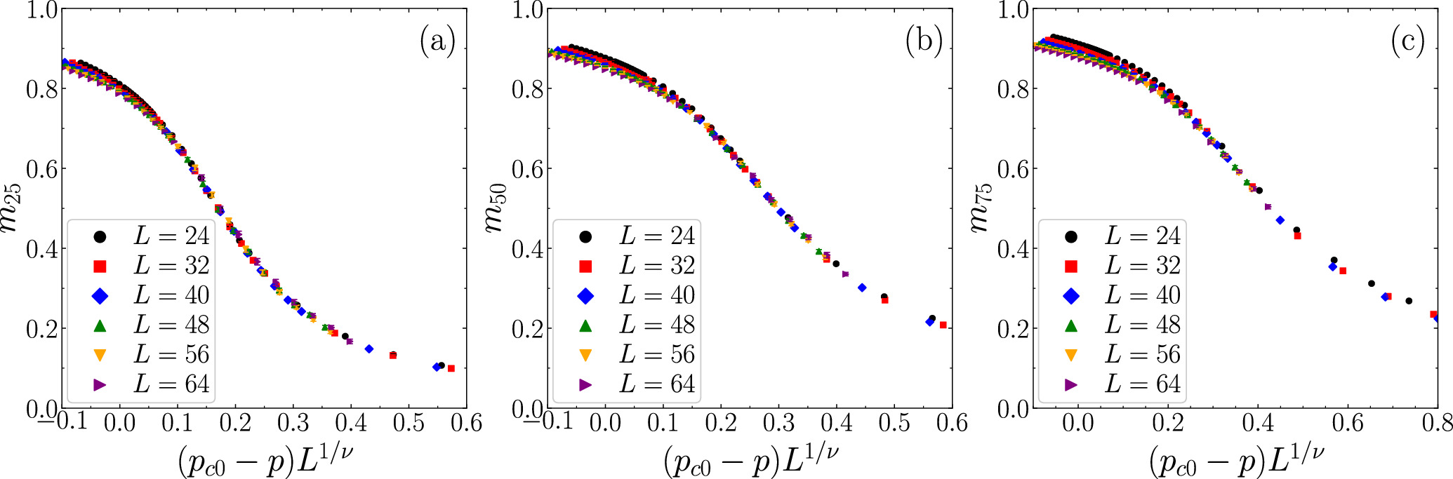
Figure 8. FSS analysis of ground-state magnetization quartiles, performed with fixed critical exponents β = 0 and ν = 1.5. Panels (a)–(c) display scaling collapses for the lower quartile (m25), median (m50), and upper quartile (m75), respectively. (a) m25: Best-fit critical point pc0 = 0.8969(6), minimum system size ${L}_{{\rm{\min }}}=24$, and goodness-of-fit χ2/DOF = 81.1/60.(b) m50: pc0 = 0.8980(7), ${L}_{{\rm{\min }}}=32$, χ2/DOF = 47.9/36. (c) m75: pc0 = 0.898(2), ${L}_{{\rm{\min }}}=40$, χ2/DOF = 25.1/15. |
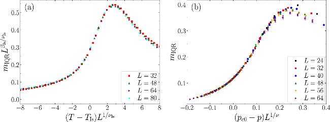
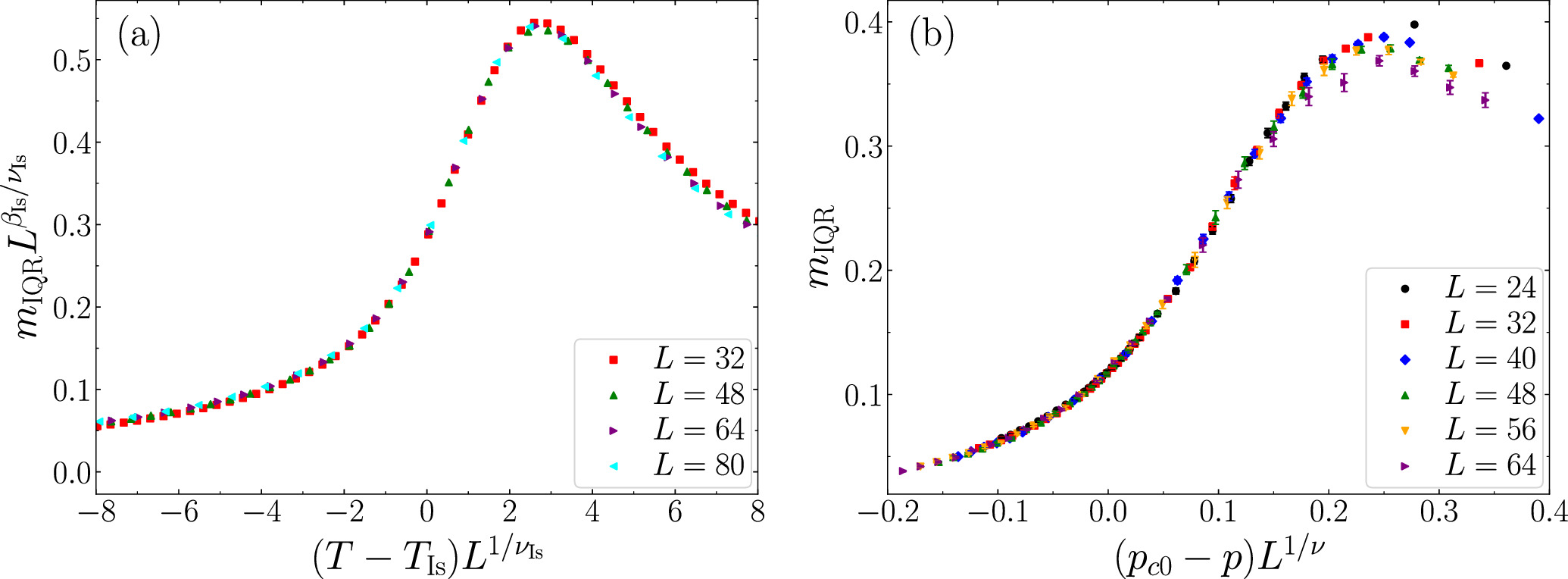
Figure 9. FSS analysis of the IQR of magnetization at the Ising critical point and zero-temperature critical point. (a) FSS at the Ising critical point using TIs = 2.269, βIs = 1/8, and νIs = 1. (b) FSS at zero-temperature critical point, with best-fit pc0 = 0.893(5) and goodness-of-fit χ2/DOF = 88.5/77, using fixed exponents β = 0, ν = 1.5, and minimum system size ${L}_{{\rm{\min }}}=24$. |


