Welcome to visit Communications in Theoretical Physics,
Condensed Matter Theory

Topological Euler insulators and metals on triangular lattices

  • Mei-Song Wei , 1 ,
  • Jingping Xu , 2 ,
  • Yaping Yang , 2
Expand
  • 1Department of Physics, Shanghai Normal University, Shanghai 200234, China
  • 2MOE Key Laboratory of Advanced Micro-Structured Materials, School of Physics Science and Engineering, Tongji University, Shanghai 200092, China

Received date: 2024-10-28

  Revised date: 2025-02-18

  Accepted date: 2025-05-13

  Online published: 2025-08-22

Copyright

© 2025 Institute of Theoretical Physics CAS, Chinese Physical Society and IOP Publishing. All rights, including for text and data mining, AI training, and similar technologies, are reserved.
This article is available under the terms of the IOP-Standard License.

Abstract

The topological phases and edge states of a topological Euler insulator on a triangular lattice is studied. Differently from two-band Chern insulators, a topological Euler insulator is a kind of three-band model, described by the Euler number not the Chern number. The spin textures of a topological Euler insulator in the momentum space is like a Néel-type skyrmion. It is found that the topological edge states exist in the band gap of the topological Euler insulator, and the topological Euler insulator can be transformed into a topological metal without the topological phase transition.

Cite this article

Mei-Song Wei , Jingping Xu , Yaping Yang . Topological Euler insulators and metals on triangular lattices[J]. Communications in Theoretical Physics, 2025 , 77(12) : 125701 . DOI: 10.1088/1572-9494/ade763

1. Introduction

A topological insulator (TI) with a fantastic topological phase and edge states has drawn a lot of interest [16], forming a hot topic in condensed-matter physics. TIs have a topological phase and trivial phase, and the phase transitions are characterized by different topological invariants for different TIs. For Chern insulators [79], a version of the quantum anomalous Hall effect, the topological invariant is described by the Chern number. The topological edge states emerge in the topological phase with a nonzero Chern number, and the chiral edge states are topologically protected and robust against scattering. The robust topological edge states, including higher-order corner states, have been investigated in many physical systems, such as photonic [1017], acoustic [1822], mechanical [2326], and electric circuit [2731] systems. These topological states have also been applied to many tasks, including quantum state transfer [3238], quantum computation, beam splitter and wireless power transfer [39].
Most research is focused on TIs including Chern insulators, time-reversal-invariant TIs and topological crystalline insulators. Recently, another kind of TI, topological Euler insulators, has attracted some attention [4046]. The Euler insulator is a kind of three-band model, with the Hamiltonian in the momentum space being a real symmetric matrix. The Chern insulators result from the broken time reversal symmetry, corresponding to the quantum Hall effect. However, for the topological Euler insulator, its Hamiltonian has inversion symmetry and time-reversal symmetry. So, the topological Euler insulator has parity-time (PT) symmetry, resulting in the real Hamiltonian and eigenfunctions, different from the complex eigenfunctions of the Chern Hamiltonian. Besides, the topological invariant of a Euler system is described by the Euler number [40, 43] or the Pontryagin skyrmion number [47], while Chern systems are described by the Chern number. Recently, the Euler band topology has been discovered in the nearly flat bands of twisted bilayer graphene at magic angles [4853]. The quench dynamics of Euler class have been studied in optical lattices [43], and the bulk-edge correspondence for topological Euler insulators has also been investigated on the square lattice [44]. The edge states of the Euler class system have been investigated in the electric circuit [44] and acoustic topological Euler insulator [45].
In this work, we propose a three-band Euler model on the triangular lattice. By calculating the Euler number through the real eigenfunctions of the system, we analyze the topological phase transition of the Euler system. It is found that the Euler system has two kinds of topological phases with different Euler numbers. The edge states exist in the band gap of the Euler insulators in the topological phases, and the topological metals can be realized by adjusting the parameters to close the band gap of the topological insulator.
The paper is organized as follows. In section 2, we describe the Euler system on the triangle lattice, and discuss the topological properties through the topological invariant—Euler number. In section 3, we explore the edge states of the topological Euler insulators and metals on the semi-infinite nanoribbon and finite triangle lattice. Conclusions are presented in section 4.

2. Hamiltonian and topological invariant

The Euler insulators are three-band models, and the Hamiltonian can be written as a real symmetric matrix with three real eigenstates {∣n1⟩, ∣n2⟩, ∣n3⟩}. The eigenstates can be expressed as three normalized three-dimensional vectors
$\begin{eqnarray}{\overrightarrow{n}}_{1}=\frac{\{{x}_{1},{x}_{2},{x}_{3}\}}{\sqrt{{x}_{1}^{2}+{x}_{2}^{2}+{x}_{3}^{2}}},\end{eqnarray}$
$\begin{eqnarray}{\overrightarrow{n}}_{2}=\frac{\{{x}_{2},-{x}_{1},0\}}{\sqrt{{x}_{1}^{2}+{x}_{2}^{2}}},\end{eqnarray}$
and
$\begin{eqnarray}\begin{array}{rcl}{\overrightarrow{n}}_{3} & = & {\overrightarrow{n}}_{1}\times {\overrightarrow{n}}_{2}\\ & = & \frac{\{{x}_{1}{x}_{2},{x}_{2}{x}_{3},-({x}_{1}^{2}+{x}_{2}^{2})\}}{\sqrt{{x}_{1}^{2}+{x}_{2}^{2}}\sqrt{{x}_{1}^{2}+{x}_{2}^{2}+{x}_{3}^{2}}}.\end{array}\end{eqnarray}$
Then, the diagonalized Hamiltonian is
$\begin{eqnarray}H={E}_{1}| {n}_{1}\rangle \langle {n}_{1}| +{E}_{2}| {n}_{2}\rangle \langle {n}_{2}| +{E}_{3}| {n}_{3}\rangle \langle {n}_{3}| ,\end{eqnarray}$
and we take ${E}_{1}={c}_{1}({x}_{1}^{2}+{x}_{2}^{2}+{x}_{3}^{2})$, ${E}_{2}={c}_{2}({x}_{1}^{2}+{x}_{2}^{2})$ and E3 = 0 for convenience. In the basis {{1, 0, 0}T, {0, 1, 0}T, {0, 0, 1}T}, the Hamiltonian of the system is given by
$\begin{eqnarray}H=\left(\begin{array}{ccc}{c}_{1}{x}_{1}^{2}+{c}_{2}{x}_{2}^{2} & ({c}_{1}-{c}_{2}){x}_{1}{x}_{2} & {c}_{1}{x}_{1}{x}_{3}\\ ({c}_{1}-{c}_{2}){x}_{1}{x}_{2} & {c}_{2}{x}_{1}^{2}+{c}_{1}{x}_{2}^{2} & {c}_{1}{x}_{2}{x}_{3}\\ {c}_{1}{x}_{1}{x}_{3} & {c}_{1}{x}_{2}{x}_{3} & {c}_{1}{x}_{3}^{2}\\ \end{array}\right).\end{eqnarray}$
We consider a model on the triangle lattice as shown in figure 1, with each site having three orbitals A, B and C. The orbitals on each site can also be treated as the three sites in a cell of the kagome lattice. By taking
$\begin{eqnarray}{x}_{1}=\lambda \left(\sin \frac{1}{2}{k}_{x}\cos \frac{\sqrt{3}}{2}{k}_{y}+\sin {k}_{x}\right),\end{eqnarray}$
$\begin{eqnarray}{x}_{2}=\sqrt{3}\lambda \cos \frac{1}{2}{k}_{x}\sin \frac{\sqrt{3}}{2}{k}_{y},\end{eqnarray}$
$\begin{eqnarray}{x}_{3}=t\left(2\cos \frac{1}{2}{k}_{y}\cos \frac{\sqrt{3}}{2}{k}_{y}+\cos {k}_{x}\right)-\mu ,\end{eqnarray}$
we can obtain a Hamiltonian for the triangle lattice in the momentum space, where x1 and x2 correspond to the spin-orbit interaction term, and x3 corresponds to the chemical potential term in a Chern insulator [54]. Then, the components of the Hamiltonian (5) are written as
$\begin{eqnarray}\begin{array}{rcl}{H}_{11} & = & \frac{3{\lambda }^{2}}{4}({c}_{1}+{c}_{2})+\frac{{\lambda }^{2}}{4}(3{c}_{2}-{c}_{1})(\cos {k}_{x}-\cos \sqrt{3}{k}_{y})\\ & & +\frac{{c}_{1}{\lambda }^{2}}{2}\left(\cos (\frac{1}{2}{k}_{x}+\frac{\sqrt{3}}{2}{k}_{y})+\cos \left(\frac{1}{2}{k}_{x}-\frac{\sqrt{3}}{2}{k}_{y}\right)\right.\\ & & -\cos (\frac{3}{2}{k}_{x}+\frac{\sqrt{3}}{2}{k}_{y})-\cos \left(\frac{3}{2}{k}_{x}-\frac{\sqrt{3}}{2}{k}_{y}\right)\\ & & \left.-\cos 2{k}_{x}\right)-\frac{{\lambda }^{2}}{8}({c}_{1}+3{c}_{2})(\cos ({k}_{x}+\sqrt{3}{k}_{y})\\ & & +\cos ({k}_{x}-\sqrt{3}{k}_{y})),\end{array}\end{eqnarray}$
$\begin{eqnarray}\begin{array}{rcl}{H}_{22} & = & \frac{3{\lambda }^{2}}{4}({c}_{1}+{c}_{2})+\frac{{\lambda }^{2}}{4}(3{c}_{1}-{c}_{2})(\cos {k}_{x}-\cos \sqrt{3}{k}_{y})\\ & & +\frac{{c}_{2}{\lambda }^{2}}{2}(\cos \left(\frac{1}{2}{k}_{x}+\frac{\sqrt{3}}{2}{k}_{y}\right)+\cos \left(\frac{1}{2}{k}_{x}-\frac{\sqrt{3}}{2}{k}_{y}\right)\\ & & -\cos \left(\frac{3}{2}{k}_{x}+\frac{\sqrt{3}}{2}{k}_{y}\right)-\cos \left(\frac{3}{2}{k}_{x}-\frac{\sqrt{3}}{2}{k}_{y}\right)\\ & & -\cos 2{k}_{x})-\frac{{\lambda }^{2}}{8}(3{c}_{1}+{c}_{2})(\cos ({k}_{x}+\sqrt{3}{k}_{y})\\ & & +\cos ({k}_{x}-\sqrt{3}{k}_{y})),\end{array}\end{eqnarray}$
$\begin{eqnarray}\begin{array}{rcl}{H}_{33} & = & c1(\frac{3{t}^{2}}{2}+{\mu }^{2})+{c}_{1}t(t-\mu )(\cos {k}_{x}\\ & & +\cos \left(\frac{1}{2}{k}_{x}+\frac{\sqrt{3}}{2}{k}_{y}\right)+\cos \left(\frac{1}{2}{k}_{x}-\frac{\sqrt{3}}{2}{k}_{y}\right))\\ & & +{c}_{1}{t}^{2}(\cos \left(\frac{3}{2}{k}_{x}+\frac{\sqrt{3}}{2}{k}_{y}\right)+\cos \left(\frac{3}{2}{k}_{x}-\frac{\sqrt{3}}{2}{k}_{y}\right)\\ & & +\cos \sqrt{3}{k}_{y}+\frac{1}{2}\cos ({k}_{x}+\sqrt{3}{k}_{y})\\ & & +\frac{1}{2}\cos ({k}_{x}-\sqrt{3}{k}_{y})),\end{array}\end{eqnarray}$
$\begin{eqnarray}\begin{array}{rcl}{H}_{12} & = & \frac{\sqrt{3}{\lambda }^{2}}{4}({c}_{2}-{c}_{1})(\cos \left(\frac{1}{2}{k}_{x}+\frac{\sqrt{3}}{2}{k}_{y}\right)\\ & & -\cos \left(\frac{1}{2}{k}_{x}-\frac{\sqrt{3}}{2}{k}_{y}\right)+\cos \left(\frac{3}{2}{k}_{x}+\frac{\sqrt{3}}{2}{k}_{y}\right)\\ & & -\cos \left(\frac{3}{2}{k}_{x}-\frac{\sqrt{3}}{2}{k}_{y}\right))+\frac{\sqrt{3}{\lambda }^{2}}{8}({c}_{2}-{c}_{1})\\ & & \times (\cos ({k}_{x}+\sqrt{3}{k}_{y})-\cos ({k}_{x}-\sqrt{3}{k}_{y})),\end{array}\end{eqnarray}$
$\begin{eqnarray}\begin{array}{rcl}{H}_{13} & = & \frac{{c}_{1}\lambda }{4}(t-2\mu )(2\sin {k}_{x}+\sin \left(\frac{1}{2}{k}_{x}+\frac{\sqrt{3}}{2}{k}_{y}\right)\\ & & +\sin \left(\frac{1}{2}{k}_{x}-\frac{\sqrt{3}}{2}{k}_{y}\right))+\frac{{c}_{1}t\lambda }{4}(2\sin 2{k}_{x}\\ & & +3\sin \left(\frac{3}{2}{k}_{x}+\frac{\sqrt{3}}{2}{k}_{y}\right)+3\sin \left(\frac{3}{2}{k}_{x}-\frac{\sqrt{3}}{2}{k}_{y}\right)\\ & & +\sin ({k}_{x}+\sqrt{3}{k}_{y})+\sin ({k}_{x}-\sqrt{3}{k}_{y})),\end{array}\end{eqnarray}$
$\begin{eqnarray}\begin{array}{rcl}{H}_{23} & = & \frac{\sqrt{3}{c}_{1}\lambda }{4}(t-2\mu )\left(\sin \left(\frac{1}{2}{k}_{x}+\frac{\sqrt{3}}{2}{k}_{y}\right)\right.\\ & & \left.-\sin \left(\frac{1}{2}{k}_{x}-\frac{\sqrt{3}}{2}{k}_{y}\right)\right)+\frac{\sqrt{3}{c}_{1}t\lambda }{4}\\ & & \times \left(\sin (\frac{3}{2}{k}_{x}+\frac{\sqrt{3}}{2}{k}_{y})-\sin \left(\frac{3}{2}{k}_{x}-\frac{\sqrt{3}}{2}{k}_{y}\right)\right.\\ & & +\sin ({k}_{x}+\sqrt{3}{k}_{y})+\sin ({k}_{x}-\sqrt{3}{k}_{y})\\ & & +2\cos (\sqrt{3}{k}_{y})),\end{array}\end{eqnarray}$
H21 = H12, H31 = H13, and H32 = H23.
Figure 1. Illustration of a triangle lattice, with each site coupled with the surrounding sites like the center site.
The band structure of the Hamiltonian is shown in figure 2. It can be found in the contour plot of the band structure in figure 2(a) that the system has C6 symmetry with the high-symmetry points Γ(0, 0), $M(0,2\pi /\sqrt{3})$ and $L(2\pi /3,2\pi /\sqrt{3})$. In figure 2(b), the band of the eigenstates ∣n3⟩ is always a flat band with the eigenvalue Ek = 0, and the value of the eigenvalue of the eigenstates ∣n2⟩ at the Γ point is also Ek = 0, so the gap between the bands of ∣n2⟩ and ∣n3⟩ is always closed. However, the band gap can exist between the bands of ∣n1⟩ and ∣n2⟩, which provide the possibility of the realization of an insulator.
Figure 2. (a) A contour plot of the band structure of the Hamiltonian and (b) the band structure of the Hamiltonian in the Brillouin zone. The parameters are set as c1 = 1, c2 = 0.2, λ = 1, t = 1 and μ = t.
The topological invariant of the Euler system is calculated via the Euler number, which can also be calculated via the Pontryagin number [43, 47]
$\begin{eqnarray}{{\rm{\Xi }}}_{i}=\frac{1}{2\pi }{\int }_{BZ}{\overrightarrow{n}}_{i}\cdot ({\overrightarrow{n}}_{i}\times {\overrightarrow{n}}_{i}){\rm{d}}{k}_{x}{\rm{d}}{k}_{y}.\end{eqnarray}$
for each vector ${\overrightarrow{n}}_{i}$ in the Brillouin zone, with
$\begin{eqnarray}{\xi }_{i}={\overrightarrow{n}}_{i}\cdot ({\overrightarrow{n}}_{i}\times {\overrightarrow{n}}_{i})\end{eqnarray}$
the Pontraygin density. This invariant has the same form as the invariant of a skyrmion. In figure 3, we plot the Pontraygin density ξ1 in the Brillouin zone and the Euler number Ξ1 as a function of μ/t for the vector ${\overrightarrow{n}}_{1}$. In figure 3(d), we obtain the Euler number via calculating the integral of the Pontraygin density over the Brillouin zone. It is found that the Euler number Ξ1 = − 4 for −1.5 < μ/t < − 1, Ξ1 = 2 for −1 < μ/t < 3, and Ξ1 = 0 otherwise. The Euler numbers Ξ1 = 2 and Ξ1 = − 4 indicate that the system has two different types of topological phases, and Ξ1 = 0 corresponds to the trivial phase.
Figure 3. (a)-(c) Pontraygin density ξ1 for the band of the vector ${\overrightarrow{n}}_{1}$ with (a) μ = t, (b) μ = − 1.2t and (c) μ = 4t. (d) Euler numbers Ξ1 as a function of μ/t for the band of the vector ${\overrightarrow{n}}_{1}$.
In figure 4, we plot the spin textures in the momentum space for the vector ${\overrightarrow{n}}_{1}$ in the Brillouin zone. Due to the same form as the invariant of a skyrmion, the spin texture of ${\overrightarrow{n}}_{1}$ looks like a Néel-type skyrmion when the system is in the two types of topological phases in figures 4(a) and (b), while the spin texture is not a skyrmion when Ξ1 = 0 for the trivial phase in figure 4(c).
Figure 4. Spin textures in the momentum space for the vector ${\overrightarrow{n}}_{1}$ with (a) μ = t, (b) μ = − 1.2t and (c) μ = 4t. The parameters are set as λ = 1 and t = 1.

3. Topological edge states

In this section, we explore the topological edges of the Euler system on a semi-infinite ribbon and a finite lattice.
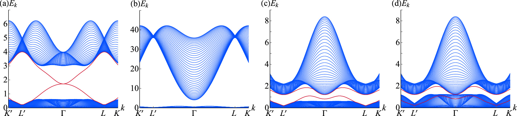
In figure 5, we plot the band structure of a semi-infinite nanoribbon of the Euler system with 40-site width. The band structure shown in figure 5(a) corresponds to the topological phase with Euler number Ξ1 = 2 in figure 3(d), and it can be found that the closed edge states exist in the band gap. However, for the trivial phase in figure 5(b), the edge state is absent. However, the edge states may not always be closed as figure 5(c) shows.
Figure 5. Band structure of the nanoribbon of a triangle lattice with 40-site width for (a) a topological Euler insulators with μ = t and (b) a trivial insulators with μ = 4t. The parameters are set as c1 = 1, c2 = 0.2 and λ = 1. Band structure of the nanoribbon of (c) a topological Euler insulators and (d) a topological Euler metal. The parameters are set as λ = 1, t = 1, μ = 0.1t, c1 = 1, (c) c2 = 0.2 and (d) c2 = 0.4.
It should be noticed that the topological invariant is independent of the parameters c1 and c2, so the band structure can be changed by c1 and c2 without changing the topological properties of the system. Besides, the band E1 is independent of the parameters c2, while the band E2 depends on c2. The band gap can be changed by adjusting the parameter c2, as is shown in figure 5(d). In this case, the edge states also exist like figure 5(c), but the band gap is closed, resulting in a topological metal.
In figure 6, we investigate the edge states of a finite triangle lattice with the rhombus-shape edge. The energy spectrum of the finite lattice is shown in figure 6(a). The eigenvalues corresponding to the edge states are marked by the red points in the band gap. As each site has three orbitals A, B and C, the probability amplitudes of the orbitals on each site are ${\psi }_{n}^{A}$, ${\psi }_{n}^{B}$ and ${\psi }_{n}^{C}$. Then, the probability density of each site is written as $| {\psi }_{n}| =\sqrt{| {\psi }_{n}^{A}{| }^{2}+| {\psi }_{n}^{B}{| }^{2}+| {\psi }_{n}^{C}{| }^{2}}$. figure 6(b) shows one of the edge states, where the density of the state is mainly localized at the edges of the rhombus.
Figure 6. (a) The energy spectrum of a rhombus made of the triangle lattice and (b) an edge state in the band gap. The parameters are set as c1 = 1, c2 = 0.2, λ = 1, t = 1, and μ = t.

4. Conclusion

In summary, we have studied the topological properties of a Euler system on the triangle lattice. We find the system has two types of topological phase with different topological invariant values Ξ1 = 2 and Ξ1 = − 4. The spin texture of the eigenstate ∣n1⟩ in the momentum space is like a Néel-type skyrmion when the system is in the two types of topological phases. Moreover, the topological invariant only depends on the eigenvector ∣n1⟩ and is independent of the parameter c1 and c2. For this reason, the topological Euler insulator can be turned into the topological Euler metals by adjusting the parameters, without the topological phase transition. Our conclusions of the topological Euler insulators on triangular lattices are similar to that on the square lattices [44]. The spin textures in their Brillouin zones are all skyrmions for the topological phases, and there exist two topological phases on both triangular and tetragonal lattices, but with different values of the Euler number. The energy spectrum and edge states of a finite triangle lattice with the rhombus-shape edge are also displayed in our discussions.

This work is supported by the National Natural Science Foundation of China (Grants Nos. 12174288 and 12274326) and the National Key R&D Program of China (Grant No. 2021YFA1400602).

1
Hasan M Z, Kane C L 2010 Colloquium: topological insulators Rev. Mod. Phys. 82 3045

DOI

2
Qi X-L, Zhang S-C 2011 Topological insulators and superconductors Rev. Mod. Phys. 83 1057

DOI

3
Langbehn J, Peng Y, Trifunovic L, von Oppen F, Brouwer P W 2017 Reflection-symmetric second-order topological insulators and superconductors Phys. Rev. Lett. 119 246401

DOI

4
Schindler F, Cook A M, Vergniory M G, Wang Z, Parkin S S P, Bernevig B A, Neupert T 2018 Higher-order topological insulators Sci. Adv. 4 eaat0346

DOI

5
Ezawa M 2018 Higher-order topological insulators and semimetals on the breathing kagome and pyrochlore lattices Phys. Rev. Lett. 120 026801

DOI

6
Ezawa M 2018 Topological switch between second-srder topological insulators and topological crystalline insulators Phys. Rev. Lett. 121 116801

DOI

7
Klitzing K, Dorda G, Pepper M 1980 New method for high-accuracy determination of the fine-structure constant based on quantized Hall resistance Phys. Rev. Lett. 45 494 497

DOI

8
Haldane F D M 1988 Model for a quantum Hall effect without Landau Levels: condensed-matter realization of the “parity anomaly” Phys. Rev. Lett. 61 2015 2018

DOI

9
Qi X-L, Wu Y-S, Zhang S-C 2006 Topological quantization of the spin Hall effect in two-dimensional paramagnetic semiconductors Phys. Rev. B 74 085308

DOI

10
Khanikaev A B, Mousavi S H, Tse W-K, Kargarian M, MacDonald A H, Shvets G 2013 Photonic topological insulators Nat. Mater. 12 233

DOI

11
Hafezi M, Demler E, Lukin M, Taylor J 2011 Robust optical delay lines with topological protection Nat. Phys. 7 907

DOI

12
Hafezi M, Mittal S, Fan J, Migdall A, Taylor J 2013 Imaging topological edge states in silicon photonics Nat. Photon. 7 1001

DOI

13
Lu L, Joannopoulos J D, Soljacic M 2014 Topological photonics Nat. Photon. 8 821

DOI

14
Khanikaev A B, Shvets G 2017 Two-dimensional topological photonics Nat. Photon. 11 763

DOI

15
Bahari B, Ndao A, Vallini F, Amili A E, Fainman Y, Kanté B 2017 Nonreciprocal lasing in topological cavities of arbitrary geometries Science 358 636

DOI

16
Ozawa T 2019 Topological photonics Rev. Mod. Phys. 91 015006

DOI

17
Li M, Zhirihin D, Filonov D, Ni X, Slobozhanyuk A, Alù A, Khanikaev A B 2020 Higher-order topological states in photonic kagome crystals with long-range interactions Nat. Photon. 14 89

DOI

18
Yang Z, Gao F, Shi X, Lin X, Gao Z, Chong Y, Zhang B 2015 Topological acoustics Phys. Rev. Lett. 114 114301

DOI

19
Wang P, Lu L, Bertoldi K 2015 Topological phononic crystals with one-way elastic edge waves Phys. Rev. Lett. 115 104302

DOI

20
He C, Ni X, Ge H, Sun X-C, Chen Y-B, Lu M-H, Liu X-P, Feng L, Chen Y-F 2016 Acoustic topological insulator and robust one-way sound transport Nat. Phys. 12 1124

DOI

21
Xue H, Yang Y, Gao F, Chong Y, Zhang B 2019 Acoustic higher-order topological insulator on a kagome lattice Nat. Mater. 18 108

DOI

22
Ni X, Weiner M, Alu A, Khanikaev A B 2019 Observation of higher-order topological acoustic states protected by generalized chiral symmetry Nat. Mater. 18 113

DOI

23
Chen B G-g, Upadhyaya N, Vitelli V 2014 Nonlinear conduction via solitons in a topological mechanical insulator Proc. Natl. Acad. Sci. USA 111 13004

DOI

24
Nash L M, Kleckner D, Read A, Vitelli V, Turner A M, Irvine W T M 2015 Topological mechanics of gyroscopic metamaterials Proc. Natl. Acad. Sci. USA 112 14495

DOI

25
Paulose J, Meeussen A S, Vitelli V 2015 Selective buckling via states of self-stress in topological metamaterials Proc. Natl. Acad. Sci. USA 112 7639

DOI

26
Susstrunk R, Huber S D 2015 Observation of phononic helical edge states in a mechanical topological insulator Science 349 47

DOI

27
Lee C H, Imhof S, Berger C, Bayer F, Brehm J, Molenkamp L W, Kiessling T, Thomale R 2018 Topolectrical circuits Commun. Phys. 1 39

DOI

28
Imhof S 2018 Topolectrical-circuit realization of topological corner modes Nat. Phys. 14 925

DOI

29
Ezawa M 2018 Higher-order topological electric circuits and topological corner resonance on the breathing kagome and pyrochlore lattices Phys. Rev. B 98 201402(R)

DOI

30
Ezawa M 2019 Non-Hermitian boundary and interface states in nonreciprocal higher-order topological metals and electrical circuits Phys. Rev. B 99 121411(R)

DOI

31
Ezawa M 2019 Non-Hermitian higher-order topological states in nonreciprocal and reciprocal systems with their electric-circuit realization Phys. Rev. B 99 201411(R)

DOI

32
Leijnse M, Flensberg K 2011 Quantum information transfer between topological and spin qubit systems Phys. Rev. Lett. 107 210502

DOI

33
D'Angelis F M, Pinheiro F A, Guéry-Odelin D, Longhi S, Impens F 2020 Fast and robust quantum state transfer in a topological Su–Schrieffer–Heeger chain with next-to-nearest-neighbor interactions Phys. Rev. Res. 2 033475

DOI

34
Palaiodimopoulos N E, Brouzos I, Diakonos F K, Theocharis G 2021 Fast and robust quantum state transfer via a topological chain Phys. Rev. A 103 052409

DOI

35
Huang L, Tan Z, Zhong H, Zhu B 2022 Fast and robust quantum state transfer assisted by zero-energy interface states in a splicing Su–Schrieffer–Heeger chain Phys. Rev. A 106 022419

DOI

36
Yao N Y, Laumann C R, Gorshkov A V, Weimer H, Jiang L, Cirac J I, Zoller P, Lukin M D 2013 Topologically protected quantum state transfer in a chiral spin liquid Nat. Commun. 4 1585

DOI

37
Dlaska C, Vermersch B, Zoller P 2017 Robust quantum state transfer via topologically protected edge channels in dipolar arrays Quantum Sci. Technol. 2 015001

DOI

38
Bello M, Creffield C E, Platero G 2017 Sublattice dynamics and quantum state transfer of doublons in two-dimensional lattices Phys. Rev. B 95 094303

DOI

39
Song J, Yang F, Guo Z, Wu X, Zhu K, Jiang J, Sun Y, Li Y, Jiang H, Chen H 2021 Wireless power transfer via topological modes in dimer chains Phys. Rev. Appl. 15 014009

DOI

40
Bouhon A, Bzdušek T, Slager R-J 2020 Geometric approach to fragile topology beyond symmetry indicators Phys. Rev. B 102 115135

DOI

41
Ahn J, Park S, Kim D, Kim Y, Yang B-J 2019 Stiefel–Whitney classes and topological phases in band theory Chin. Phys. B 28 117101

DOI

42
Ahn J, Park S, Yang B-J 2019 Failure of Nielsen–Ninomiya theorem and fragile topology in two-dimensional systems with space-time inversion symmetry: application to twisted bilayer graphene at magic angle Phys. Rev. X 9 021013

DOI

43
Ünal F N, Bouhon A, Slager R-J 2020 Topological Euler class as a dynamical observable in optical lattices Phys. Rev. Lett. 125 053601

DOI

44
Ezawa M 2021 Topological Euler insulators and their electric circuit realization Phys. Rev. B 103 205303

DOI

45
Jiang B, Bouhon A, Wu S-Q, Kong Z-L, Lin Z-K, Slager R-J, Jiang J-H 2024 Observation of an acoustic topological Euler insulator with meronic waves Sci. Bull. 69 1653

DOI

46
Bouhon A, Wu Q S, Slager R-J, Weng H, Yazyev O V, Bzdusek T 2020 Non-Abelian reciprocal braiding of Weyl nodes and its manifestation in ZrTe Nat. Phys. 16 1137

DOI

47
Pontryagin L S 1941 A classification of mappings of the threedimensional complex into the two-dimensional sphere Mat. Sbornik (Recueil Mathematique NS) 9 331

48
Törmä P, Peotta S, Bernevig B A 2022 Superconductivity, superfluidity and quantum geometry in twisted multilayer systems Nat. Rev. Phys. 4 528

DOI

49
Xie F, Song Z, Lian B, Bernevig B A 2020 Topology-bounded superfluid weight in twisted bilayer graphene Phys. Rev. Lett. 124 167002

DOI

50
Zhang K, Zhang Y, Fu L, Kim E-A 2022 Fractional correlated insulating states at one-third filled magic angle twisted bilayer graphene Commun. Phys. 5 250

DOI

51
Löthman T, Schmidt J, Parhizgar F, Black-Schaffer A M 2022 Nematic superconductivity in magic-angle twisted bilayer graphene from atomistic modeling Commun. Phys. 5 92

DOI

52
Julku A, Peltonen T J, Liang L, Heikkilä T T, Törmä P 2020 Superfluid weight and Berezinskii–Kosterlitz–Thouless transition temperature of twisted bilayer graphene Phys. Rev. B 101 060505(R)

DOI

53
Hu X, Hyart T, Pikulin D I, Rossi E 2019 Geometric and conventional contribution to the superfluid weight in twisted bilayer graphene Phys. Rev. Lett. 123 237002

DOI

54
Ezawa M 2014 Electrically tunable conductance and edge modes in topological crystalline insulator thin films: minimal tight-binding model analysis New J. Phys. 16 065015

DOI

Outlines

/