Welcome to visit Communications in Theoretical Physics,
Mathematical Physics

Volume-law entanglement fragmentation of quasiparticles

  • Jiaju Zhang
Expand
  • Center for Joint Quantum Studies and Department of Physics, School of Science, Tianjin University, 135 Yaguan Road, Tianjin 300350, China

Received date: 2025-04-14

  Revised date: 2025-06-30

  Accepted date: 2025-08-05

  Online published: 2025-09-12

Supported by

National Natural Science Foundation of China https://doi.org/10.13039/501100001809(12205217)

Tianjin University Self-Innovation Fund Extreme Basic Research Project(2025XJ21-0007)

Copyright

© 2025 Institute of Theoretical Physics CAS, Chinese Physical Society and IOP Publishing. All rights, including for text and data mining, AI training, and similar technologies, are reserved.
This article is available under the terms of the IOP-Standard License.

Abstract

We investigate the entanglement entropy in quantum states featuring repeated sequential excitations of unit patterns in momentum space. In the scaling limit, each unit pattern contributes independently and universally to the entanglement entropy, leading to a characteristic volume-law scaling. Crucially, this universal contribution remains identical for both free and interacting models, enabling decomposition of the total entanglement into pattern-specific components. Numerical verification in fermionic and bosonic chains confirms this volume-law fragmentation phenomenon. For fermionic systems, we derive analytical expressions where many-body entanglement becomes expressible through few-body entanglement components. Notably, this analytical framework extends to spin-1/2 XXZ chains through appropriate identifications.

Cite this article

Jiaju Zhang . Volume-law entanglement fragmentation of quasiparticles[J]. Communications in Theoretical Physics, 2026 , 78(1) : 015002 . DOI: 10.1088/1572-9494/adf79d

1. Introduction

Quantum entanglement has been instrumental in various areas of physics, such as quantum information theory, condensed matter physics, and high-energy physics [16]. Notably, entanglement adheres to distinct scaling laws in various phases of quantum systems, which allows it to serve as an indicator of quantum phase transitions [7, 8]. In the context of one-dimensional quantum spin chains with energy gaps, the ground state entanglement entropy typically conforms to the area law. Conversely, in critical spin chains, the ground state entropy adheres to a logarithmic law, with the proportionality constant being related to the central charge [913].
The study of the time evolution of entanglement entropy following a quantum quench in many-body systems [14] has motivated research into entanglement entropy in excited states. This includes both low-energy states [1533], where the entropy adheres to either the area law or logarithmic law, and high-energy states [3441], where the entropy typically aligns with the volume law. In [4247], the average entanglement entropy across the spectrum has been employed to characterize the universal properties of chaotic and integrable systems.
Entanglement of excited states in integrable models can often be understood in terms of quasiparticles [14, 48, 49]. When a finite number of quasiparticles with large energy and significant momentum differences are excited, a semiclassical picture can describe the entanglement entropy [2528]. For earlier related works, see [18, 20, 23]. On the other hand, when the momentum differences between the excited quasiparticles are small, there are strong coherence effects among the quasiparticles, which results in significant corrections to the semiclassical picture of the entanglement entropy [3133].
In this paper, we study the entanglement entropy in states with a large number of quasiparticles, where certain unit patterns are excited sequentially and repeatedly in the momentum space. We consider a subsystem consisting of a consecutive block within circular quantum systems, including both free and interacting fermionic and bosonic chains, as well as spin-1/2 XXZ chains. Generally, the entanglement entropy in such states follows a volume law. In [15], analytical expressions were obtained for fermionic chains in cases where the subsystem size is much smaller than the size of the entire system. In the case of free fermionic chains, we obtain analytical expressions for subsystems of arbitrary sizes, which, in the scaling limit, also apply to interacting fermionic chains and spin-1/2 XXZ chains.
We discover that the coherence among quasiparticles enables the entanglement entropy to be decomposed into separate contributions from distinct parts, each comprising a few sites in the coordinate space and the corresponding unit pattern quasiparticles in the momentum space. In essence, the volume-law entanglement entropy breaks down into components that correspond to the quasiparticle entanglement entropy of much smaller systems. This universal phenomenon of volume-law entanglement fragmentation could be useful for establishing robust entanglement, which is crucial for applications in quantum information processing and quantum computation.
In the remaining part of the paper, we consider free and interacting fermions in sections 2 and 3, spin-1/2 XXZ chain in section 4, and free and interacting bosons in sections 5 and 6. We conclude with discussions in section 7.

2. Free fermions

A chain of L free fermions has the Hamiltonian
$\begin{eqnarray}H=\displaystyle \sum _{j=1}^{L}\left({a}_{j}^{\dagger }{a}_{j}-\frac{1}{2}\right),\end{eqnarray}$
with the fermionic modes aj and ${a}_{j}^{\dagger }$ satisfying $\{{a}_{{j}_{1}},{a}_{{j}_{2}}\}\,=\{{a}_{{j}_{1}}^{\dagger },{a}_{{j}_{2}}^{\dagger }\}=0$ and $\{{a}_{{j}_{1}},{a}_{{j}_{2}}^{\dagger }\}={\delta }_{{j}_{1}{j}_{2}}$. The Hamiltonian is already in diagonal form, so we can derive the following analytical expressions. The excited states with translational invariance are generated by the global modes
$\begin{eqnarray}{b}_{k}^{\dagger }=\frac{1}{\sqrt{L}}\displaystyle \sum _{j=1}^{L}{a}_{j}^{\dagger }{{\rm{e}}}^{\frac{2\pi {\rm{i}}jk}{L}},\,\,{b}_{k}=\frac{1}{\sqrt{L}}\displaystyle \sum _{j=1}^{L}{a}_{j}{{\rm{e}}}^{-\frac{2\pi {\rm{i}}jk}{L}},\end{eqnarray}$
with the momentum k = 0, 1, …, L − 1. We use the set of excited modes K = {k1k2, …} to denote the corresponding excited energy eigenstate ∣K⟩.
For a subsystem A of LA consecutive sites in a chain of total length L in state ∣K⟩, one has the reduced density matrix (RDM) ${\rho }_{A,K}={{\rm{tr}}}_{\bar{A}}(| K\rangle \langle K| )$, from which one gets the Rényi entropy and entanglement entropy
$\begin{eqnarray}\begin{array}{rcl}{S}_{L,{L}_{A},K}^{(n)} & = & -\frac{1}{n-1}{\mathrm{log}}\,{{\rm{tr}}}_{A}({\rho }_{A,K}^{n}),\\ {S}_{L,{L}_{A},K} & = & -{{\rm{tr}}}_{A}({\rho }_{A,K}{\mathrm{log}}\,{\rho }_{A,K}).\end{array}\end{eqnarray}$
The entanglement entropy is just the n → 1 limit of the Rényi entropy ${S}_{L,{L}_{A},K}^{(1)}={S}_{L,{L}_{A},K}$.
In the free fermionic chain, one has [10, 11, 50, 51]
$\begin{eqnarray}\begin{array}{rcl}{S}_{L,{L}_{A},K}^{(n),\,\rm{fer}\,} & = & -\frac{1}{n-1}{\mathrm{log}}\,\det \left[\displaystyle {C}_{L,{L}_{A},K}^{n}+(1-{C}_{L,{L}_{A},K}^{}{)}^{n}\right],\\ {S}_{L,{L}_{A},K}^{\,\rm{fer}\,} & = & {{\rm{tr}}}_{A}\left[-{C}_{L,{L}_{A},K}{\mathrm{log}}\,{C}_{L,{L}_{A},K}\right.\\ & & \left.-(1-{C}_{L,{L}_{A},K}){\mathrm{log}}\,(1-{C}_{L,{L}_{A},K})\right],\end{array}\end{eqnarray}$
which applies to any Hamiltonian for which the number of excitations is conserved, with the Hamiltonian (2.1) as a specific example. The LA × LA matrix ${C}_{L,{L}_{A},K}$ has entries
$\begin{eqnarray}{[{C}_{L,{L}_{A},K}]}_{{j}_{1}{j}_{2}}={\langle {a}_{{j}_{1}}^{\dagger }{a}_{{j}_{2}}\rangle }_{K}={h}_{L,{j}_{2}-{j}_{1},K},\end{eqnarray}$
with j1j2 = 1, 2, ⋯  , LA and the correlation function
$\begin{eqnarray}{h}_{L,j,K}=\frac{1}{L}\displaystyle \sum _{k\in K}{{\rm{e}}}^{\frac{2\pi {\rm{i}}jk}{L}}.\end{eqnarray}$
Note that ${S}_{L,0,K}^{(n),\,\rm{fer}\,}={S}_{L,L,K}^{(n),\,\rm{fer}\,}=0$.

2.1. Fully occupied states

We first consider the case that K is composed of the repetition of a unit pattern in the whole momentum space. The unit pattern has l consecutive sites in the momentum space, in which the excited modes are κ. The whole system has L = pl sites, and we denote the excited modes of the whole momentum space as K and use the shorthand K = . Explicitly, we have $K={\bigcup }_{a=0}^{p-1}(\kappa +al)$. For instance, there are states
$\begin{eqnarray}\begin{array}{rcl}l & = & 2,\,\kappa =\{0\},\,p=4:\,K=\{0,2,4,6\},\\ l & = & 3,\,\kappa =\{0,1\},\,p=2:\,K=\{0,1,3,4\},\end{array}\end{eqnarray}$
which can be denoted schematically as
$\begin{eqnarray}\bullet \,\circ \,\bullet \,\circ \,\bullet \,\circ \,\bullet \,\circ ,\,\,\bullet \,\bullet \,\circ \,\bullet \,\bullet \,\circ ,\end{eqnarray}$
with the filled circles denoting the excited modes and the empty circles denoting the modes that are not excited.
From (2.6) we get the correlation function
$\begin{eqnarray}{h}_{pl,j,p\kappa }={\delta }_{j\,{\rm{mod}}\,p,0}{h}_{l,j/p,\kappa },\end{eqnarray}$
which is possibly nonvanishing only when j is an integer multiple of p. The L × L correlation matrix of the whole system CL,L,K can be written as a matrix with l × l blocks, with each block being proportional to the p × p identity matrix. The LA × LA correlation matrix ${C}_{L,{L}_{A},K}$ for the LA-sized subsystem is just the first LA rows and the first LA columns of CL,L,K.
We parameterize the subsystem length as LA = αp + a, with α = 0, 1, ⋯  , l − 1 and a = 0, 1, ⋯, p − 1, and the corresponding correlation matrix ${C}_{L,{L}_{A},K}$ can be transformed to the following form via similarity transformation
$\begin{eqnarray}{C}_{pl,\alpha p+a,p\kappa }\sim \mathop{\underbrace{{C}_{l,\alpha +1,\kappa }\oplus \cdots \oplus {C}_{l,\alpha +1,\kappa }}}\limits_{a}\oplus \mathop{\underbrace{{C}_{l,\alpha ,\kappa }\oplus \cdots \oplus {C}_{l,\alpha ,\kappa }}}\limits_{p-a}.\end{eqnarray}$
This indicates that the RDM could be written as
$\begin{eqnarray}{\rho }_{pl,\alpha p+a,p\kappa }\sim \mathop{\underbrace{{\rho }_{l,\alpha +1,\kappa }\otimes \cdots \otimes {\rho }_{l,\alpha +1,\kappa }}}\limits_{a}\otimes \mathop{\underbrace{{\rho }_{l,\alpha ,\kappa }\otimes \cdots \otimes {\rho }_{l,\alpha ,\kappa }}}\limits_{p-a}.\end{eqnarray}$
There are p copies of the unit pattern κ, and each copy is effectively confined in a circle of l sites. The subsystem has LA = αp + a sites, and it effectively decomposes into subsystems across p copies of small systems. An example scheme of the entanglement fragmentation is shown in figure 1.
Figure 1. Example scheme of the entanglement fragmentation. Each pair of concentric circles symbolizes a system. The larger circle represents the spatial configuration, where red and blue points denote the complementary subsystems. The smaller circle depicts the momentum configuration, with filled purple points indicating excited modes and hollow points representing unexcited modes. For this illustration, we have set the parameters to L = 15, LA = 7, α = 1, a = 2, p = 5, l = 3, and κ = {0}.
From the RDM (2.11), we get the decomposition of the Rényi entropy and entanglement entropy
$\begin{eqnarray}{S}_{pl,\alpha p+a,p\kappa }^{(n),{\rm{fer}}}=a{S}_{l,\alpha +1,\kappa }^{(n),{\rm{fer}}}+(p-a){S}_{l,\alpha ,\kappa }^{(n),{\rm{fer}}}.\end{eqnarray}$
Note that we have used the integer p as the number of pattern repetitions. This inspired us to define the contributions to the entanglement from each unit pattern as
$\begin{eqnarray}{s}_{l,\kappa }^{(n),{\rm{fer}}}(x)\equiv \frac{{S}_{pl,xpl,p\kappa }^{(n),{\rm{fer}}}}{p},\end{eqnarray}$
which is the building block for all the results in the paper. Explicitly, we have
$\begin{eqnarray}{s}_{l,\kappa }^{(n),{\rm{fer}}}(x)=y{S}_{l,\alpha +1,\kappa }^{(n),{\rm{fer}}}+(1-y){S}_{l,\alpha ,\kappa }^{(n),{\rm{fer}}},\end{eqnarray}$
with the parameters
$\begin{eqnarray}\begin{array}{rcl}\alpha & \equiv & \lfloor lx\rfloor \in \{0,1,\cdots \,,l-1\},\\ y & \equiv & (lx\,{\rm{mod}}\,1)\in [0,1).\end{array}\end{eqnarray}$
Here we use ⌊lx⌋ to denote the floor function, which gives the largest integer that is smaller than or equal to the argument lx. Note that these formulas are exact, valid for any p, l, α, a, and κ. Furthermore, the function ${s}_{l,\kappa }^{(n),{\rm{fer}}}(x)$ is independent of p. For finite l and large p, i.e. l ≪ p, the Rényi entropy and entanglement entropy (2.12) follow the volume law. Generally, the formula ${s}_{l,\kappa }^{(n),{\rm{fer}}}(x)$ is a piecewise function of x ∈ (0, 1) with l pieces, each piece has length $\frac{1}{l}$, and within each piece the function is linear.
We use ∣κ∣ to denote the number of excited quasiparticles in the set κ. In the special limit, ∣κ∣ ≪ l, the formula (2.14) becomes
$\begin{eqnarray}\mathop{\mathrm{lim}}\limits_{l\to +\infty }{s}_{l,\kappa }^{(n),{\rm{fer}}}(x)=\mathop{\mathrm{lim}}\limits_{l\to +\infty }{S}_{l,xl,\kappa }^{(n),{\rm{fer}}}.\end{eqnarray}$
In the same limit, the formula (2.13) becomes
$\begin{eqnarray}\mathop{\mathrm{lim}}\limits_{l\to +\infty }{s}_{l,\kappa }^{(n),{\rm{fer}}}(x)=\mathop{\mathrm{lim}}\limits_{l\to +\infty }\frac{{S}_{pl,xpl,p\kappa }^{(n),{\rm{fer}}}}{p}.\end{eqnarray}$
The results of (2.16) and (2.17) should be the same and this is consistent with the fact, found in [3133] that quasiparticles with large momentum differences have independent contributions to the entanglement.
For κ = {0}, with l = 2, 3, ⋯ , there are [18, 20, 23, 25, 26]
$\begin{eqnarray}\begin{array}{rcl}{S}_{l,{l}_{A},\{0\}}^{(n),{\rm{fer}}} & = & -\frac{1}{n-1}{\mathrm{log}}\,\left[{\left(\frac{{l}_{A}}{l}\right)}^{n}+{\left(1-\frac{{l}_{A}}{l}\right)}^{n}\right],\\ {S}_{l,{l}_{A},\{0\}}^{{\rm{fer}}} & = & -\frac{{l}_{A}}{l}{\mathrm{log}}\,\frac{{l}_{A}}{l}-\left(1-\frac{{l}_{A}}{l}\right){\mathrm{log}}\,\left(1-\frac{{l}_{A}}{l}\right),\end{array}\end{eqnarray}$
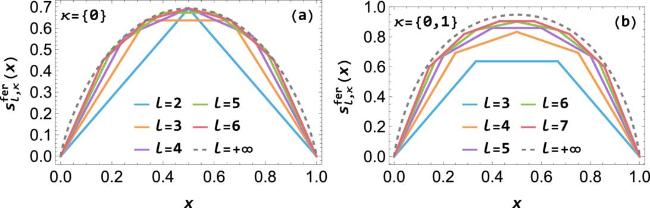
with which the formula (2.12) is the same as the comb entropy defined in [52] after one takes the position-momentum duality [53, 54]. For κ = {k1k2} with l = 3, 4, ⋯  , the analytical formulas for ${S}_{l,{l}_{A},\kappa }^{(n),{\rm{fer}}}$ can be found in [3133]. Examples of the expression (2.14) for the entanglement entropy from each unit pattern are shown in figure 2.
Figure 2. The formula (2.14) of the contribution to the entanglement entropy from each unit pattern in the momentum space of a free fermionic chain. In the left panel we use the unit pattern κ = {0}, and in the right panel we use the unit pattern κ = {0, 1}. In each panel, the value of l increases from lower to upper curves.

2.2. Partially occupied states

In the excited states, the unit pattern κ of length l can be repeated p times in the momentum space and these repeated patterns only occupy a finite ratio of the whole momentum space, leaving the rest of the momentum space unoccupied. We call such states partially occupied states. For example, we may have
$\begin{eqnarray}\begin{array}{rcl}l & = & 2,\,\kappa =\{0\},\,p=2,\,L=12:\,K=\{0,2\},\\ l & = & 3,\,\kappa =\{0,1\},\,p=2,\,L=12:\\ K & = & \{0,1,3,4\},\end{array}\end{eqnarray}$
which may be denoted as
$\begin{eqnarray}\bullet \,\circ \,\bullet \,\circ \,\circ \,\circ \,\circ \,\circ \,\circ \,\circ \,\circ \,\circ ,\,\,\bullet \,\bullet \,\circ \,\bullet \,\bullet \,\circ \,\circ \,\circ \,\circ \,\circ \,\circ \,\circ .\end{eqnarray}$
In the scaling limit, we conjecture that each unit pattern continues to contribute independently to the entanglement entropy, and there is
$\begin{eqnarray}{S}_{L,xL,p\kappa }^{(n),{\rm{fer}}}\approx p{s}_{l,\kappa }^{(n),{\rm{fer}}}(x),\end{eqnarray}$
with the universal function ${s}_{l,\kappa }^{(n),{\rm{fer}}}(x)$ being defined in (2.13) and taking the form (2.14). We further get
$\begin{eqnarray}\mathop{\mathrm{lim}}\limits_{L\to +\infty }\frac{{S}_{L,xL,p\kappa }^{(n),{\rm{fer}}}}{L}=z{s}_{l,\kappa }^{(n),{\rm{fer}}}(x),\end{eqnarray}$
with the definition of the repetition ratio
$\begin{eqnarray}z\equiv \mathop{\mathrm{lim}}\limits_{L\to +\infty }\frac{p}{L}\in \left[0,\frac{1}{l}\right].\end{eqnarray}$
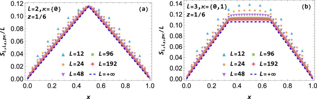
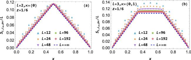
It is easy to confirm the formula (2.22) numerically. We show the examples in figure 3.
Figure 3. The many-body entanglement entropy in the states with partial occupation (symbols) and the result from the few-body entanglement entropy (blue dashed lines). On the left panel we use the unit pattern l = 2, κ = {0}, and on the right panel we use the unit pattern l = 3, κ = {0, 1}. Note the definition of the repetition ratio z in (2.23).
The results indicate the effective form of the RDM
$\begin{eqnarray}\begin{array}{l}{\rho }_{L,{L}_{A},p\kappa }\sim \mathop{\underbrace{{\rho }_{l,\alpha +1,\kappa }\displaystyle \otimes \cdots \displaystyle \otimes {\rho }_{l,\alpha +1,\kappa }}}\limits_{\lfloor za\rfloor }\\ \quad \displaystyle \otimes \mathop{\underbrace{{\rho }_{l,\alpha ,\kappa }\displaystyle \otimes \cdots \displaystyle \otimes {\rho }_{l,\alpha ,\kappa }}}\limits_{\unicode{x0230A}z\left(\unicode{x0230A}\frac{L}{l}\unicode{x0230B}-a\right)\unicode{x0230B}}\displaystyle \otimes {\rho }_{\lceil (1-z){L}_{A}\rceil }^{{\prime} },\end{array}\end{eqnarray}$
where α ≡ ⌊xl⌋,$a\equiv ({L}_{A}\,{\rm{mod}}\,\unicode{x0230A}\frac{L}{l}\unicode{x0230B})$, and ${\rho }_{\lceil (1-z){L}_{A}\rceil }^{{\prime} }$ is a density matrix of about ⌈(1 − z)LA⌉ effective sites with sub-volume-law entanglement entropy.

2.3. States with mixed occupancy

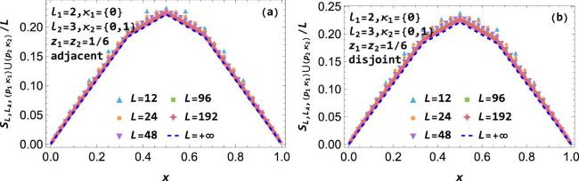
We also consider more general states, in which different unit patterns are excited in different parts of the momentum space. The parts with different unit patterns may be adjacent or disjoint in the momentum space, and all the excited parts together may or may not occupy the entire spectrum. Since the relative positions of the different patterns are not important, we denote such states shorthand as $K={\bigcup }_{i=1}^{r}({p}_{i}{\kappa }_{i})$. Each excited part is characterized by the length of the unit pattern li, the mode of the unit pattern κi, and the number of repetitions pi. In the scaling limit, we define
$\begin{eqnarray}{z}_{i}\equiv \mathop{\mathrm{lim}}\limits_{L\to +\infty }\frac{{p}_{i}}{L}.\end{eqnarray}$
Of course, there is ${\sum }_{i=1}^{r}{z}_{i}{l}_{i}\in (0,1]$.
For example, we may have the unit pattern with l1 = 2 and κ1 = {0} excited in the momentum space $[0,\frac{L}{3}-1]$, and the unit pattern with l2 = 3 and κ2 = {0, 1} excited in the momentum space $[\frac{L}{2},\frac{3L}{4}-1]$. For L = 24, such a state has the excited modes
$\begin{eqnarray}K=(3{\kappa }_{1})\bigcup (2{\kappa }_{2})=\{0,2,4,6,12,13,15,16\},\end{eqnarray}$
and it can be denoted as
$\begin{eqnarray}\bullet \,\circ \,\bullet \,\circ \,\bullet \,\circ \,\bullet \,\circ \,\circ \,\circ \,\circ \,\circ \,\bullet \,\bullet \,\circ \,\bullet \,\bullet \,\circ \,\circ \,\circ \,\circ \,\circ \,\circ \,\circ .\end{eqnarray}$
In such a state with mixed occupancy, we conjecture that each unit pattern still makes an independent and universal contribution to the entanglement entropy
$\begin{eqnarray}{S}_{L,xL,{\bigcup }_{i=1}^{r}({p}_{i}{\kappa }_{i})}^{(n),\,\rm{fer}\,}\approx \displaystyle \sum _{i=1}^{r}{p}_{i}{s}_{{l}_{i},{\kappa }_{i}}^{(n),\,\rm{fer}\,}(x),\end{eqnarray}$
which leads to
$\begin{eqnarray}\mathop{\mathrm{lim}}\limits_{L\to +\infty }\frac{{S}_{L,xL,{\bigcup }_{i=1}^{r}({p}_{i}{\kappa }_{i})}^{(n),\,\rm{fer}\,}}{L}=\displaystyle \sum _{i=1}^{r}{z}_{i}{s}_{{l}_{i},{\kappa }_{i}}^{(n),\,\rm{fer}\,}(x).\end{eqnarray}$
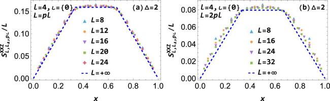
This is the main result of this paper. We have expressed the volume-law many-body entanglement entropy as the sum of few-body entanglement entropies. It is easy to confirm the formula (2.29) numerically. The results are also the same as those in the limit LA ≪ L found in [15]. We show examples of the results in figure 4.
Figure 4. The many-body entanglement entropy in the states with partial occupation (symbols) and the result from the few-body entanglement entropy (blue dashed lines). The unit patterns l1κ1, l2κ2 and their corresponding repetition ratios z1, z2 are shown in each panel. On the left panel the two different patterns are adjacent in the momentum space, while on the right panel the two patterns are disjoint.
The results indicate the effective form of the RDM
$\begin{eqnarray}\begin{array}{l}{\rho }_{L,{L}_{A},{\bigcup }_{i=1}^{r}({p}_{i}{\kappa }_{i})}\sim {[\bigotimes }_{i=1}^{r}(\mathop{\underbrace{{\rho }_{{l}_{i},{\alpha }_{i}+1,{\kappa }_{i}}\displaystyle \otimes \cdots \displaystyle \otimes {\rho }_{{l}_{i},{\alpha }_{i}+1,{\kappa }_{i}}}}\limits_{\lfloor {z}_{i}{a}_{i}\rfloor }\\ \quad \displaystyle \otimes \mathop{\underbrace{{\rho }_{{l}_{i},{\alpha }_{i},{\kappa }_{i}}\displaystyle \otimes \cdots \displaystyle \otimes {\rho }_{{l}_{i},{\alpha }_{i},{\kappa }_{i}}}}\limits_{\unicode{x0230A}{z}_{i}\left(\unicode{x0230A}\frac{L}{{l}_{i}}\unicode{x0230B}-{a}_{i}\right)\unicode{x0230B}})]\displaystyle \otimes {\rho }_{\lceil (1-z){L}_{A}\rceil }^{{\prime} },\end{array}\end{eqnarray}$
where αi ≡ ⌊xli⌋,${a}_{i}\equiv ({L}_{A}\,{\rm{mod}}\,\unicode{x0230A}\frac{L}{{l}_{i}}\unicode{x0230B})$, and ${\rho }_{\lceil (1-z){L}_{A}\rceil }^{{\prime} }$ is a density matrix of about ⌈(1 − z)LA⌉ sites with sub-volume-law entanglement entropy. We have also defined $z={\sum }_{i=1}^{r}{z}_{i}$.

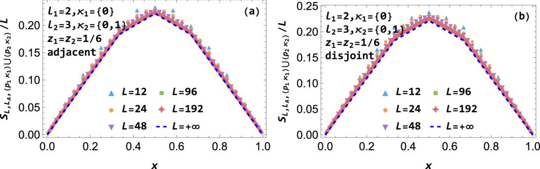
3. Interacting fermions

The numerical verification of formulas (2.22) and (2.29) in free fermionic chains motivates us to further conjecture that these formulas still hold true in integrable interacting fermionic chains. We consider the the transverse field Ising chain
$\begin{eqnarray}H=-\frac{1}{2}\displaystyle \sum _{j=1}^{L}\left({\sigma }_{j}^{x}{\sigma }_{j+1}^{x}+h{\sigma }_{j}^{z}\right).\end{eqnarray}$
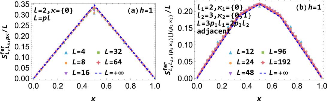
We use j = 1, 2, ⋯  , L to label the sites of the chain. On each site, there is a qubit represented by Pauli matrices ${\sigma }_{j}^{x},{\sigma }_{j}^{y},{\sigma }_{j}^{z}$, and we impose periodic boundary conditions such that ${\sigma }_{L+1}^{x}={\sigma }_{1}^{x}$. By applying the Jordan-Wigner transformation, the chain is transformed into a fermionic chain with nearest-neighbor interactions. This model is solvable, as shown in [55, 56], and the entanglement entropy can be calculated following the methods outlined in [10, 11, 15]. Although we cannot derive the analytical form of the entanglement entropy in such a model, we have carried out extensive numerical verifications of formulas (2.22) and (2.29) in the Ising chain, thereby confirming the aforementioned conjecture. We show examples of numerical results in figure 5.
Figure 5. The many-body entanglement entropy in interacting fermions (symbols) and the corresponding analytical results from the few-body entanglement entropy (blue dashed lines). On the left panel, there is one pattern that occupies the whole momentum space. On the right panel, there are two adjacent patterns, with one occupying 1/3 of the momentum space and the other occupying 1/2 of the momentum space. We have used h = 1 for both panels.

4. Spin-1/2 XXZ chain

The spin-1/2 XXZ chain has the Hamiltonian
$\begin{eqnarray}H=-\frac{1}{4}\displaystyle \sum _{j=1}^{L}\left({\sigma }_{j}^{x}{\sigma }_{j+1}^{x}+{\sigma }_{j}^{y}{\sigma }_{j+1}^{y}+{\rm{\Delta }}{\sigma }_{j}^{z}{\sigma }_{j+1}^{z}\right),\end{eqnarray}$
with periodic boundary conditions for the Pauli matrices ${\sigma }_{L+1}^{\alpha }={\sigma }_{1}^{\alpha }$, α = xyx. The excited states in the XXZ chain can be obtained from the coordinate Bethe ansatz [5760].
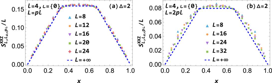
We consider the energy eigenstates $| { \mathcal I }\rangle $ with an extensive number of magnons, which are labeled by the Bethe numbers ${ \mathcal I }=\{{I}_{1},{I}_{2},\cdots \,\}$. For example, there is a length l unit pattern ι = {0} excited in the whole or part of the space of the Bethe numbers [0, L − 1], with the number of repetitions being p. When Δ = 2, this corresponds to a length l − 1 unit pattern κ = {0} with repetition p in the momentum space. We obtain the Rényi entropy and entanglement entropy
$\begin{eqnarray}{S}_{L,xL,p\iota }^{(n),\,\rm{XXZ}\,}\approx p{s}_{l-1,\kappa }^{(n),\,\rm{fer}\,}(x),\end{eqnarray}$
which is numerically checked in figure 6.
Figure 6. Entanglement entropy in states with an extensive number of magnons in the XXZ chain (symbols) is compared with the corresponding analytical formula from the fermionic chain (blue dashed lines). On the left panel, there is one pattern that occupies the whole momentum space. On the right panel, there is one pattern that occupies 1/2 of the momentum space. We have used Δ = 2 for both panels.

5. Free bosons

A chain of free bosons has the Hamiltonian
$\begin{eqnarray}{H}_{\,\rm{bos}\,}=\displaystyle \sum _{j=1}^{L}\left({a}_{j}^{\dagger }{a}_{j}+\frac{1}{2}\right),\end{eqnarray}$
with the bosonic modes aj and ${a}_{j}^{\dagger }$ satisfying $[{a}_{{j}_{1}},{a}_{{j}_{2}}]\,=[{a}_{{j}_{1}}^{\dagger },{a}_{{j}_{2}}^{\dagger }]=0$ and $[{a}_{{j}_{1}},{a}_{{j}_{2}}^{\dagger }]={\delta }_{{j}_{1}{j}_{2}}$. In an energy eigenstate, the entanglement entropy can be obtained from the subsystem mode method [33], and the Rényi entropy with fixed index n could be obtained from the permanent formula derived in [32] using the wavefunction methods [25, 26, 61, 62].
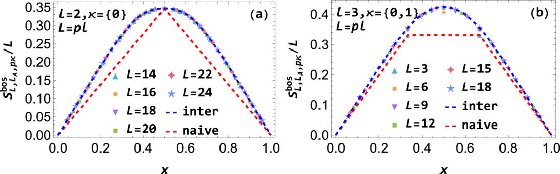
We consider the entanglement entropy in a state with repeated unit patterns in the bosonic chain. Following (2.13) in the fermionic chain, we define the finite contributions to the entanglement from each unit pattern
$\begin{eqnarray}{s}_{l,\kappa }^{(n),\,\rm{bos}\,}(x)\equiv \mathop{\mathrm{lim}}\limits_{p\to +\infty }\frac{{S}_{pl,xpl,p\kappa }^{(n),\,\rm{bos}\,}}{p}.\end{eqnarray}$
Following (2.14), one might naively expect that the function ${s}_{l,\kappa }^{(n),\,\rm{bos}\,}(x)$ takes the form
$\begin{eqnarray}{s}_{l,\kappa }^{(n),\,\rm{naive}\,}(x)\equiv y{S}_{l,\alpha +1,\kappa }^{(n),\,\rm{bos}\,}+(1-y){S}_{l,\alpha ,\kappa }^{(n),\,\rm{bos}\,},\end{eqnarray}$
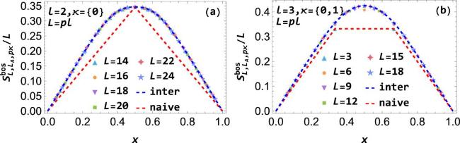
with the definitions of α and y given in (2.15). However, numerical results show that while the function ${s}_{l,\kappa }^{(n),\,\rm{bos}\,}(x)$ is well-defined, it differs from the naive expectation ${s}_{l,\kappa }^{(n),\,\rm{naive}\,}(x)$. We present numerical examples in figure 7. It remains an open problem to derive the explicit analytical expression of ${s}_{l,\kappa }^{(n),\,\rm{bos}\,}(x)$. The bosonic version of the formulas (2.22) and (2.29) still apply with the definitions (5.2), and we have verified the formulas with numerical examples, which are not shown here.
Figure 7. The entanglement entropy in free bosonic chains (symbols) is contrasted with the naive expectation ${s}_{l,\kappa }^{(n),\,\rm{naive}\,}(x)$ (5.3) (red dashed lines). In each panel, the blue dashed line represents the interpolation of the results corresponding to the maximum L, i.e. L = 24 for panel (a) and L = 18 for panel (b). In each panel, there is one pattern that occupies the whole momentum space.

6. Interacting bosons

Similarly to (2.29) in the fermionic chain, we conjecture that in the free and interacting bosonic chains, there is
$\begin{eqnarray}\mathop{\mathrm{lim}}\limits_{L\to +\infty }\frac{{S}_{L,xL,{\bigcup }_{i=1}^{r}({p}_{i}{\kappa }_{i})}^{(n),\,\rm{bos}\,}}{L}=\displaystyle \sum _{i=1}^{r}{z}_{i}{s}_{{l}_{i},{\kappa }_{i}}^{(n),\,\rm{bos}\,}(x),\end{eqnarray}$
with the definition of zi in (2.25) and the definition of ${s}_{{l}_{i},{\kappa }_{i}}^{(n),\,\rm{bos}\,}(x)$ in (5.2). We consider the harmonic chain
$\begin{eqnarray}H=\frac{1}{2}\displaystyle \sum _{j=1}^{L}\left[{p}_{j}^{2}+{m}^{2}{q}_{j}^{2}+{({q}_{j}-{q}_{j+1})}^{2}\right],\end{eqnarray}$
with the periodic boundary condition qL+1 = qj and the commutation relations $[{q}_{{j}_{1}},{q}_{{j}_{2}}]=[{p}_{{j}_{1}},{p}_{{j}_{2}}]=0$ and $[{q}_{{j}_{1}},{p}_{{j}_{2}}]={\rm{i}}{\delta }_{{j}_{1}{j}_{2}}$. The harmonic chain is essentially a chain of bosons with nearest-neighbor interactions. The above conjecture could be easily checked by numerically calculating the Rényi entropy in excited energy eigenstates following the wavefunction methods [25, 26, 63, 64]. In figure 8, we provide numerical results supporting the conjecture. For larger masses m, the model approaches free bosons and exhibits smaller numerical errors. Conversely, smaller masses m lead to larger numerical errors.
Figure 8. The many-body entanglement entropy in interacting bosons (symbols) and the results ${s}_{{l}_{1},{\kappa }_{1}}^{(2)}(x)$ and $z{s}_{{l}_{1},{\kappa }_{1}}^{(2)}(x)$ (blue lines) with l1 = 2, κ1 = {0} and ${s}_{l,\kappa }^{(2)}(x)$ taking the approximate value from the interpolation in panel (a) of figure 7. On the top panels, there is one pattern that occupies the whole momentum space. On the bottom panels, there is one pattern that occupies 1/2 of the momentum space. In different columns, we have used different values of m.

7. Discussions

We have studied the entanglement entropy in quasiparticle states that exhibit repeated and sequential unit patterns in momentum space. We found that each unit pattern contributes independently and universally to the entanglement in the scaling limit, leading to a volume-law scaling of entanglement entropy. Numerical simulations confirmed these findings, demonstrating volume-law entanglement fragmentation in both fermionic and bosonic chains. We derived an analytical formula for free fermions that is applicable not only to interacting fermions in the scaling limit but also, with certain identifications, to the spin-1/2 XXZ chain. Numerical results of free and interacting bosonic chains reveal universal entanglement characteristics in bosonic systems; however, explicit analytical formulations remain elusive. Deriving such analytical expressions for bosonic chains would be an important direction for future work.
The results in this paper reveal a fundamental distinction between fragmented volume-law entanglement and thermal volume-law entanglement. Thermal volume-law entanglement, found in states such as random states or eigenstates of chaotic Hamiltonians [37, 38, 47], emerges from maximal scrambling and adherence to the eigenstate thermalization hypothesis (ETH), resulting in featureless, homogeneous entanglement devoid of substructure. In contrast, fragmented volume-law entanglement in quasiparticle states arises from repeated unit patterns in momentum space and decomposes the state into a sum of few-body entangled components. Although both types exhibit extensive entanglement, fragmented states violate ETH due to the underlying integrability, contrasting sharply with the thermal case. The existence and universality of entanglement fragmentation remain to be further studied. We conjecture that this phenomenon may stem from the existence and independence of quasiparticles resulting from integrability.
It was suggested in [25] to harness the entanglement of quasiparticles for quantum information purposes. However, the entanglement among a small number of quasiparticles is delicate and susceptible to environmental disruptions. The results presented in this paper imply that by successively exciting repeated patterns in momentum space, it is possible to create a robust volume-law entanglement of quasiparticles. The universality of fragmentation suggests potential for robust entanglement, though stability to environmental perturbations requires further study.

The author thanks Olalla A Castro-Alvaredo and M A Rajabpour for reading a previous versions of the draft and helpful comments and discussions. JZ acknowledgements support from the National Natural Science Foundation of China (NSFC) grant number 12205217 and Tianjin University Self-Innovation Fund Extreme Basic Research Project grant number 2025XJ21-0007.

1
Amico L, Fazio R, Osterloh A, Vedral V 2008 Entanglement in many-body systems Rev. Mod. Phys. 80 517

DOI

2
Eisert J, Cramer M, Plenio M B 2010 Area laws for the entanglement entropy - a review Rev. Mod. Phys. 82 277 306

DOI

3
Calabrese P, Cardy J, Doyon B 2009 Entanglement entropy in extended quantum systems J. Phys. A: Math. Theor. 42 500301

DOI

4
Laflorencie N 2016 Quantum entanglement in condensed matter systems Phys. Rept. 646 1

DOI

5
Rangamani M, Takayanagi T 2017 Holographic entanglement entropy Lect. Notes Phys. 931 1 246

DOI

6
Witten E 2018 APS Medal for Exceptional Achievement in Research: Invited article on entanglement properties of quantum field theory Rev. Mod. Phys. 90 045003

DOI

7
Osterloh A, Amico L, Falci G, Fazio R 2002 Scaling of entanglement close to a quantum phase transition Nature 416 608 610

DOI

8
Osborne T J, Nielsen M A 2002 Entanglement in a simple quantum phase transition Phys. Rev. A 66 032110

DOI

9
Holzhey C, Larsen F, Wilczek F 1994 Geometric and renormalized entropy in conformal field theory Nucl. Phys. B 424 443

DOI

10
Vidal G, Latorre J I, Rico E, Kitaev A 2003 Entanglement in quantum critical phenomena Phys. Rev. Lett. 90 227902

DOI

11
Latorre J I, Rico E, Vidal G 2004 Ground state entanglement in quantum spin chains Quant. Inf. Comput. 4 48

DOI

12
Korepin V 2004 Universality of entropy scaling in one dimensional gapless models Phys. Rev. Lett. 92 096402

DOI

13
Calabrese P, Cardy J L 2004 Entanglement entropy and quantum field theory J. Stat. Mech. 2004 P06002

DOI

14
Calabrese P, Cardy J L 2005 Evolution of entanglement entropy in one-dimensional systems J. Stat. Mech. 2005 P04010

DOI

15
Alba V, Fagotti M, Calabrese P 2009 Entanglement entropy of excited states J. Stat. Mech. 2009 P10020

DOI

16
Alcaraz F C, Berganza M I, Sierra G 2011 Entanglement of low-energy excitations in conformal field theory Phys. Rev. Lett. 106 201601

DOI

17
Berganza M I, Alcaraz F C, Sierra G 2012 Entanglement of excited states in critical spin chians J. Stat. Mech. 2012 P01016

DOI

18
Pizorn I Universality in entanglement of quasiparticle excitations arXiv:1202.3336

19
Essler F H L, Läuchli A M, Calabrese P 2013 Shell-filling effect in the entanglement entropies of spinful fermions Phys. Rev. Lett. 110 115701

DOI

20
Berkovits R 2013 Two-particle excited states entanglement entropy in a one-dimensional ring Phys. Rev. B 87 075141

DOI

21
Storms M, Singh R R P 2014 Entanglement in ground and excited states of gapped free-fermion systems and their relationship with Fermi surface and thermodynamic equilibrium properties Phys. Rev. E 89 012125

DOI

22
Calabrese P, Essler F H L, Lauchli A M 2014 Entanglement entropies of the quarter filled Hubbard model J. Stat. Mech. 2014 P09025

DOI

23
Mölter J, Barthel T, Schollwöck U, Alba V 2014 Bound states and entanglement in the excited states of quantum spin chains J. Stat. Mech. 2014 10029

DOI

24
Taddia L, Ortolani F, Pálmai T 2016 Rényi entanglement entropies of descendant states in critical systems with boundaries: conformal field theory and spin chains J. Stat. Mech. 2016 093104

DOI

25
Castro-Alvaredo O A, De Fazio C, Doyon B, Szécsényi I M 2018 Entanglement content of quasiparticle excitations Phys. Rev. Lett. 121 170602

DOI

26
Castro-Alvaredo O A, De Fazio C, Doyon B, Szécsényi I M 2018 Entanglement content of quantum particle excitations: I. Free field theory J. High Energ. Phys. JHEP10(2018)039

DOI

27
Castro-Alvaredo O A, De Fazio C, Doyon B, Szécsényi I M 2019 Entanglement content of quantum particle excitations: II. Disconnected regions and logarithmic negativity J. High Energ. Phys. JHEP11(2019)058

DOI

28
Castro-Alvaredo O A, De Fazio C, Doyon B, Szécsényi I M 2019 Entanglement content of quantum particle excitations: III. Graph partition functions J. Math. Phys. 60 082301

DOI

29
Jafarizadeh A, Rajabpour M 2019 Bipartite entanglement entropy of the excited states of free fermions and harmonic oscillators Phys. Rev. B 100 165135

DOI

30
You Y, Wybo E, Pollmann F, Sondhi S Observing quasiparticles through the entanglement lens arXiv:2007.04318

31
Zhang J, Rajabpour M A 2021 Universal Rényi entanglement entropy of quasiparticle excitations Europhys. Lett. 135 60001

DOI

32
Zhang J, Rajabpour M A 2021 Corrections to universal Rényi entropy in quasiparticle excited states of quantum chains J. Stat. Mech. 2021 093101

DOI

33
Zhang J, Rajabpour M A 2022 Entanglement of magnon excitations in spin chains J. High Energ. Phys. JHEP02(2022)072

DOI

34
Deutsch J, Li H, Sharma A 2013 Microscopic origin of thermodynamic entropy in isolated systems Phys. Rev. E 87 042135

DOI

35
Santos L F, Polkovnikov A, Rigol M 2012 Weak and strong typicality in quantum systems Phys. Rev. E 86 010102

DOI

36
Beugeling W, Andreanov A, Haque M 2015 Global characteristics of all eigenstates of local many-body Hamiltonians: participation ratio and entanglement entropy J. Stat. Mech. 2015 02002

DOI

37
Garrison J R, Grover T 2018 Does a single eigenstate encode the full Hamiltonian? Phys. Rev. X 8 021026

DOI

38
Nakagawa Y O, Watanabe M, Sugiura S, Fujita H 2018 Universality in volume-law entanglement of scrambled pure quantum states Nature Commun. 9 1635

DOI

39
Lu T-C, Grover T 2019 Renyi entropy of chaotic eigenstates Phys. Rev. E 99 032111

DOI

40
Miao Q, Barthel T 2021 Eigenstate entanglement: crossover from the ground state to volume laws Phys. Rev. Lett. 127 040603

DOI

41
Mohapatra S, Moudgalya S, Balram A C Exact volume-law entangled eigenstates in a large class of spin models arXiv:2410.22773

42
Vidmar L, Hackl L, Bianchi E, Rigol M 2017 Entanglement entropy of eigenstates of quadratic fermionic Hamiltonians Phys. Rev. Lett. 119 020601

DOI

43
Vidmar L, Rigol M 2017 Entanglement entropy of eigenstates of quantum chaotic Hamiltonians Phys. Rev. Lett. 119 220603

DOI

44
Vidmar L, Hackl L, Bianchi E, Rigol M 2018 Volume law and quantum criticality in the entanglement entropy of excited eigenstates of the quantum Ising model Phys. Rev. Lett. 121 220602

DOI

45
Huang Y 2019 Universal eigenstate entanglement of chaotic local Hamiltonians Nucl. Phys. B 938 594 604

DOI

46
Łydżba P, Rigol M, Vidmar L 2020 Eigenstate entanglement entropy in random quadratic Hamiltonians Phys. Rev. Lett. 125 180604

DOI

47
Bianchi E, Hackl L, Kieburg M, Rigol M, Vidmar L 2022 Volume-law entanglement entropy of typical pure quantum states PRX Quantum 3 030201

DOI

48
Alba V, Calabrese P 2017 Entanglement and thermodynamics after a quantum quench in integrable systems PNAS 114 7947 7951

DOI

49
Alba V, Calabrese P 2018 Entanglement dynamics after quantum quenches in generic integrable systems SciPost Phys. 4 017

DOI

50
Cheong S-A, Henley C L 2004 Many-body density matrices for free fermions Phys. Rev. B 69 075111

DOI

51
Peschel I 2003 Calculation of reduced density matrices from correlation functions J. Phys. A: Math. Gen. 36 L205

DOI

52
Keating J P, Mezzadri F, Novaes M 2006 Comb entanglement in quantum spin chains Phys. Rev. A 74 012311

DOI

53
Lee C H, Ye P, Qi X-L 2014 Position-momentum duality in the entanglement spectrum of free fermions J. Stat. Mech. 2014 P10023

DOI

54
Carrasco J A, Finkel F, Gonzalez-Lopez A, Tempesta P 2017 A duality principle for the multi-block entanglement entropy of free fermion systems Sci. Rep. 7 11206

DOI

55
Lieb E H, Schultz T, Mattis D 1961 Two soluble models of an antiferromagnetic chain Annals Phys. 16 407

DOI

56
Pfeuty P 1970 The one-dimensional Ising model with a transverse field Annals Phys. 57 79

DOI

57
Karbach M, Müller G 1997 Introduction to the Bethe Ansatz I Comput. Phys. 11 36

DOI

58
Karbach M, Hu K, Müller G 1998 Introduction to the Bethe Ansatz II Comput. Phys. 12 565

DOI

59
Karbach M, Hu K, Müller G Introduction to the Bethe Ansatz III arXiv:cond-mat/0008018

60
Caux J-S 2014 The Bethe Wavefunction [Translated from M. Gaudin, La Fonction d’Onde de Bethe. Masson, 1983.] Cambridge University Press

61
Bombelli L, Koul R K, Lee J, Sorkin R D 1986 A quantum source of entropy for black holes Phys. Rev. D 34 373

DOI

62
Srednicki M 1993 Entropy and area Phys. Rev. Lett. 71 666

DOI

63
Zhang J, Rajabpour M A 2020 Excited state Rényi entropy and subsystem distance in two-dimensional non-compact bosonic theory: I. Single-particle states J. High Energ. Phys. JHEP12(2020)160

DOI

64
Zhang J, Rajabpour M A 2021 Excited state Rényi entropy and subsystem distance in two-dimensional non-compact bosonic theory: II. Multi-particle states J. High Energ. Phys. JHEP08(2021)106

DOI

Outlines

/