1. Introduction
2. Shor’s algorithm and coherence/entanglement quantifiers
2.1. Shor’s algorithm
2.2. Measures of coherence and entanglement
The Tsallis relative α entropy is defined as [31, 32]
Let ${\{| i\rangle \}}_{i=1}^{d}$ be an orthonormal basis in a d dimensional Hilbert space H. For α ∈ (0, 1) ∪ (1, 2], the Tsallis relative α-entropy of coherence has been defined by [12]
The lq,p norm of a matrix A ∈ Mn is defined as the lq norm of the vector obtained by applying the lp norm to the columns of A, given by [13]
Note that lp,p norm is actually the lp norm. The coherence based on lq,p norm is a well-defined coherence measure if and only if q = 1 and p ∈ [1, 2].
The l1,p norm of coherence C1,p of a density operator ρ for p ∈ [1, 2] is defined by [13]
The coherence C1,p introduces a class of coherence measures that hold potential utility and expands the methodological framework for analyzing quantum coherence in multipartite systems. It is worthwhile to note that when p = q = 1, C1,p(ρ) reduces to the l1 norm of coherence ${C}_{{l}_{1}}(\rho )={\sum }_{i\ne j}| {\rho }_{ij}| $ [4].
The fidelity between two quantum states ρ and σ is defined by $F(\rho ,\sigma )={\rm{Tr}}\sqrt{{\rho }^{\frac{1}{2}}\sigma {\rho }^{\frac{1}{2}}}$ [39]. Particularly, when ρ = ∣ψ〉〈ψ∣ is a pure state, we have $F(| \psi \rangle ,\sigma )={\rm{Tr}}\sqrt{\langle \psi | \sigma | \psi \rangle }$.
The geometric coherence is defined by [11]
The geometric entanglement for a state ρ = ∣ψ〉〈ψ∣ is defined as the minimum distance to any separable state ∣φ〉, which corresponds to the maximum overlap between ∣ψ〉and ∣φ〉 [41],
3. Coherence and entanglement dynamics in Shor’s algorithm
The l1,p norm of coherence, the Tsallis relative α entropy of coherence, the geometric coherence and the geometric entanglement of the state ρ1 are given by
According to Theorem
The Tsallis relative α entropy of coherence, the l1,p norm of coherence and the geometric coherence of the state ρ2 are the same as the ones of ρ1. The geometric entanglement of the state ρ2 is given by
Direct calculations show that
It can be seen from Theorem
The l1,p norm of coherence, the Tsallis relative α entropy of coherence, the geometric coherence and the geometric entanglement of the state ρ3 are given by
By substituting equation (
Theorem
4. Variations of coherence and entanglement in Shor’s algorithm
The variations of coherence and entanglement induced by each operator are
The variations of coherence and entanglement in Shor’s algorithm are
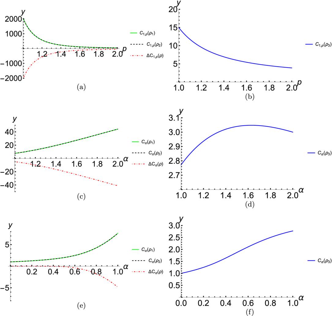
5. Example
Let N = 15 and x = 7 that is coprime to N. The initial quantum state is ∣0〉⨂t∣1〉, where the number t of qubits in register A is related to the precision. Here, we set t = 11, which ensures that the probability of error is less than one quarter. The number L of qubits in register B needs to accommodate the binary representation of the integer N, that is, L = 4 and n = 15.
(i) Applying t Hadamard gates to register A yields the state $| {\psi }_{1}\rangle =\frac{1}{\sqrt{{2}^{11}}}{\sum }_{j=0}^{{2}^{11}-1}| j\rangle | 1\rangle $. Let ρ1 = ∣ψ1〉〈ψ1∣, from Theorem
(ii) The quantum state resulting from the application of the unitary transformation U is $| {\psi }_{2}\rangle =\frac{1}{\sqrt{{2}^{11}}}{\sum }_{j=0}^{{2}^{11}-1}| j\rangle | {7}^{j}{\rm{mod}}15\rangle $. $| {7}^{j}{\rm{mod}}15\rangle $ takes on one of the four states ∣1〉, ∣7〉, ∣4〉 and ∣13〉.
Figure 1. Subfigures (a) and (b) ((c), (d), (e) and (f)) are for the case that the coherence based on the l1,p norm (Tsallis relative α entropy). (a), (b) The coherence with respect to H (green), U (black dashed), F† (blue) and the variations of coherence based on the l1,p norm (red dot-dashed). (c), (d) The coherence with respect to H (green), U (black dashed), F† (blue) and the variations of coherence based on the Tsallis relative α entropy (red dot-dashed), where α ∈ (1, 2]. (e), (f) The coherence with respect to H (green), U (black dashed), F† (blue) and the variations of coherence based on the Tsallis relative α entropy (red dot-dashed), where α ∈ (0, 1). |


