Welcome to visit Communications in Theoretical Physics,
Gravitation Theory, Astrophysics and Cosmology

Lyapunov exponents of scalar and spinor fields in the Schwarzschild spacetime

  • Jia-Jun Gu ,
  • Meng-Ping Wen ,
  • Zhi-Yuan Liu ,
  • Ze-Zheng Liu ,
  • Nai-Yun Xiao ,
  • Xi Luo , *
Expand
  • College of Science, University of Shanghai for Science and Technology, Shanghai 200093, China

Author to whom any correspondence should be addressed.

Received date: 2025-03-25

  Revised date: 2025-07-17

  Accepted date: 2025-08-04

  Online published: 2025-09-09

Supported by

National Natural Science Foundation of China https://doi.org/10.13039/501100001809(11804223)

Copyright

© 2025 Institute of Theoretical Physics CAS, Chinese Physical Society and IOP Publishing. All rights, including for text and data mining, AI training, and similar technologies, are reserved.
This article is available under the terms of the IOP-Standard License.

Abstract

A semiclassical particle moving near the horizon of a Schwarzschild black hole is chaotic, and its Lyapunov exponent saturates the chaos bound proposed by Maldacena, Shenker, and Stanford, with the temperature being the Hawking temperature. Motivated by this, we consider the Lyapunov exponents of scalar and spinor fields in Schwarzschild spacetime by calculating their out-of-time-ordered commutators along the radial direction. Numerically, we find that the Lyapunov exponent of the scalar field is smaller than that of the spinor field. They are mainly contributed by the bound states near the horizon and lie below the chaos bound.

Cite this article

Jia-Jun Gu , Meng-Ping Wen , Zhi-Yuan Liu , Ze-Zheng Liu , Nai-Yun Xiao , Xi Luo . Lyapunov exponents of scalar and spinor fields in the Schwarzschild spacetime[J]. Communications in Theoretical Physics, 2026 , 78(1) : 015401 . DOI: 10.1088/1572-9494/adf718

1. Introductions

The gauge/gravity duality is believed to be a giant leap in understanding quantum gravity [13]. Several important developments were proposed afterward. From the gauge/gravity duality, a holographic interpretation of entanglement entropy in conformal field theory was provided and was soon generalized to black hole entanglement entropy [46]. The proposal of a chaos bound has linked black hole horizon physics with quantum chaos [7], i.e.
$\begin{eqnarray}{\lambda }_{L}\leqslant \frac{2\pi {k}_{{\rm{B}}}T}{\hslash },\end{eqnarray}$
where λL is the Lyapunov exponent, T is the temperature of the system, and in the case of a black hole, it corresponds to the Hawking temperature TH. This bound is saturated for theories with anti-de Sitter/conformal field theory duality. Therefore, when this chaos bound is saturated, it is speculated that the system will necessarily have an Einstein gravity dual, or at least be near its horizon [7, 8]. Another famous example of this bound being saturated is the Sachdev-Ye-Kitaev (SYK) model [913], and the low-energy properties of the SYK model are dual to Jackiw-Teitelboim gravity [14, 15].
In the chaos bound proposal, the authors of [7] introduced a technical tool, the out-of-time-ordered commutator (OTOC), to obtain the Lyapunov exponent, which is characteristic of capturing the quantum chaos behavior. The OTOC is defined by [7]
$\begin{eqnarray}{\tilde{C}}_{T}(t)\equiv -\langle {[W(t),V(0)]}^{2}\rangle ,\end{eqnarray}$
where $\langle \cdot \rangle ={Z}^{-1}{\rm{tr}}[{{\rm{e}}}^{-\beta H}\cdot ]$ denotes the thermal expectation value at temperature T = β−1 and $Z={\rm{tr}}[{{\rm{e}}}^{-\beta H}]$ is the partition function. For fermionic operators, the commutator [WV] is replaced by the anti-commutator {W, V} [16]. The OTOC can be used to diagnose the effects of serial perturbations V and W. If one chooses V = p and W = q(t), then ${\tilde{C}}_{T}$ becomes the Poisson bracket, and in the classical limit it scales as $\exp ({\lambda }_{L}t)$; it diagnoses the butterfly effect if λL > 0. Originally, the OTOC was introduced by Larkin and Ovchinnikov to reduce the field-current relation in a superconductor to a simpler artificial single-electron problem [17]. In [7], the authors propose to consider
$\begin{eqnarray}{C}_{T}(t)=-\langle {[yW(t),yV]}^{2}\rangle ,\end{eqnarray}$
where ${y}^{4}=\frac{1}{Z}{{\rm{e}}}^{-\beta H}$. CT(t) grows as ${{\rm{e}}}^{{\lambda }_{L}t}$ at early times and generally saturates at long times (known as the Ehrenfest time).
Ever since the chaos bound proposal, there have been many efforts and attempts to verify it via OTOC. For example, besides the SYK model and Jackiw-Teitelboim gravity, studies have been conducted on the BTZ black hole [1820], the Kerr-AdS4 black hole [21], and the Myers-Perry-AdS5 black hole [22]. Their chaotic behaviors are diagnosed by OTOC, and holographic dual models are proposed when the chaos bound is saturated.
There is another case: a semiclassical particle moving near the horizon of a Schwarzschild black hole, where the chaos bound may also be saturated [23, 24]. This Lyapunov exponent arises from the classical motion inside an effective inverse harmonic potential near the black hole horizon, and the surface gravity of the black hole, which equals 2πkBTH/, provides a universal Lyapunov exponent and identical to the upper chaos bound [23]. One may then ask an interesting question: can this hold for quantum particles beyond the semiclassical approximation?
In this article, we shall consider the cases of quantum scalar and spinor fields moving in the background of a Schwarzschild black hole and examine the chaos bound by directly calculating their OTOCs. Here we choose V(0) ≡ p(0) and W(t) ≡ x(t) = eiHtx(0)e−iHt. In the energy representation, the OTOC can be written as [25]
$\begin{eqnarray}{C}_{T}(t)=\displaystyle \sum _{n}{f}_{n}{c}_{n}(t),\end{eqnarray}$
where ${f}_{n}=\frac{1}{{{\rm{e}}}^{{E}_{n}}+1}$ for Fermion and ${f}_{n}=\frac{1}{{{\rm{e}}}^{{E}_{n}}-1}$ for Boson.
$\begin{eqnarray}{c}_{n}(t)=\displaystyle \sum _{m}{b}_{nm}(t){b}_{nm}^{* }(t),\end{eqnarray}$
$\begin{eqnarray}\begin{array}{rcl}{b}_{nm}(t) & = & -{\rm{i}}\langle n| [yx(t),yp]| m\rangle \\ & = & -{\rm{i}}\displaystyle \sum _{k}({{\rm{e}}}^{{\rm{i}}{E}_{nk}t-\beta {E}_{nk}/4}{x}_{nk}{{\rm{e}}}^{-\beta {E}_{km}/4}{p}_{km}\\ & & -{{\rm{e}}}^{{\rm{i}}{E}_{km}t-\beta {E}_{km/4}}{p}_{nk}{{\rm{e}}}^{-\beta {E}_{nk}/4}{x}_{km}),\end{array}\end{eqnarray}$
where Enm = En − Em and En is the energy level. xnm ≡ ⟨nxm⟩, and pnm ≡ ⟨npm⟩.
By numerically calculating the OTOCs along the radial direction for both the massive scalar field and the spinor field, we find that the Lyapunov exponents for both fields obtained from the OTOCs are below the chaos bound and mainly arise from the bound states near the horizon. Furthermore, the Lyapunov exponent of the spinor field is larger than that of the scalar field.
Besides theoretical simulations for black hole geometry, several promising condensed matter systems for mimicking black hole physics have been proposed. For example, the black hole or curved space analogs have been proposed in transsonic fluid flow [26], Bose–Einstein condensation [27, 28], magnonic systems [29], fractional quantum Hall effects [3034], graphene [35, 36], deformed crystals [37], Weyl semimetals [3843], and strange metals [4446]. Additionally, with progress in measuring OTOCs in cold atom systems [4749], we believe our results may shed light on the study of quantum chaos behavior in black hole physics and holography.
This paper is organized as follows: In section 2, we set up the radial equations for massive scalar and spinor fields in Schwarzschild spacetime. The radial equations reduce to effective one-dimensional Schrödinger equations with barrier potentials. In section 3, we numerically solve the wave functions for the radial equations and calculate the OTOCs for scalar and spinor fields. The temperature dependence, energy cutoff dependence, and rest mass dependence of the Lyapunov exponents in the numerical calculations are also discussed. The last part is devoted to conclusions.

2. Radial equations for massive scalar and spinor fields in the Schwarzschild spacetime

The asymptotic behaviors of solutions and spectra of states for quantum scalar and spinor fields in Schwarzschild spacetime have recently been discussed in the literature [5052]. We summarize several key results here.

2.1. Massive scalar fields

The standard metric of the Schwarzschild spacetime in Schwarzschild coordinates reads
$\begin{eqnarray}{\rm{d}}{s}^{2}=\left(1-\frac{{r}_{0}}{r}\right){\rm{d}}{t}^{2}-\frac{{\rm{d}}{r}^{2}}{1-\frac{{r}_{0}}{r}}-{r}^{2}\left({\rm{d}}{\theta }^{2}+{\sin }^{2}\theta {\rm{d}}{\varphi }^{2}\right),\end{eqnarray}$
where r0 = 2M is the Schwarzschild radius and M is the black hole mass. And the action for a real massive scalar field φ is
$\begin{eqnarray}{S}_{\mathrm{sc}}=\int \sqrt{-g}\left(\displaystyle \frac{1}{2}{g}^{\mu \nu }{\partial }_{\mu }\phi {\partial }_{\nu }\phi -\displaystyle \frac{{m}_{SC}^{2}}{2}{\phi }^{2}\right){{\rm{d}}}^{4}x.\end{eqnarray}$
The corresponding equation of motion reads
$\begin{eqnarray}\sqrt{-g}{g}^{00}\ddot{\phi }+{\partial }_{i}\left(\sqrt{-g}{g}^{{\rm{i}}j}{\partial }_{j}\phi \right)+{m}_{sc}^{2}\sqrt{-g}\phi =0,\end{eqnarray}$
where $\dot{\phi }={\partial }_{0}\phi $ and msc is the mass of the scalar field. The static solution of φ has the form
$\begin{eqnarray}{{\rm{e}}}^{\pm {\rm{i}}Et}{Y}_{{lm}}(\theta ,\varphi ){f}_{l}(E,r),\end{eqnarray}$
where Ylm are the spherical harmonics. And the radial equation becomes
$\begin{eqnarray}\begin{array}{l}{E}^{2}\frac{r}{r-{r}_{0}}{f}_{l}(E,r)-{M}^{2}{f}_{l}(E,r)\\ +\frac{1}{{r}^{2}}\frac{{\rm{d}}}{{\rm{d}}r}\left(r(r-{r}_{0})\frac{{\rm{d}}{f}_{l}(E,r)}{{\rm{d}}r}\right)-\frac{l(l+1)}{{r}^{2}}{f}_{l}(E,r)=0.\end{array}\end{eqnarray}$
By redefining several dimensionless variables,
$\begin{eqnarray}\begin{array}{rcl}\mu & = & {m}_{\mathrm{sc}}{r}_{0},\quad \epsilon =E{r}_{0},\\ z & = & \displaystyle \frac{r}{{r}_{0}}+{\mathrm{ln}}\,\left(\displaystyle \frac{r}{{r}_{0}}-1\right),\quad {\psi }_{l}(\epsilon ,z)=r{f}_{l}(E,r),\end{array}\end{eqnarray}$
the radial equation (11) becomes an effective one-dimensional Schrödinger equation,
$\begin{eqnarray}-\frac{{{\rm{d}}}^{2}{\psi }_{l}(\epsilon ,z)}{{\rm{d}}{z}^{2}}+{V}_{l}(z){\psi }_{l}(\epsilon ,z)={\epsilon }^{2}{\psi }_{l}(\epsilon ,z),\end{eqnarray}$
where the potential has the form [51]
$\begin{eqnarray}{V}_{l}(z)=\frac{r(z)-{r}_{0}}{r(z)}\left({\mu }^{2}+\frac{l(l+1){r}_{0}^{2}}{{r}^{2}(z)}+\frac{{r}_{0}^{3}}{{r}^{3}(z)}\right).\end{eqnarray}$
We plot several examples of Vl(z) in figure 1. From these examples one can notice that Vl(z) → 0 for z → − and Vl(z) → μ2 for z → + which leads to the following asymptotic behavior of the radial equation,
$\begin{eqnarray}-\frac{{{\rm{d}}}^{2}{\psi }_{l}(\epsilon ,z)}{{\rm{d}}{z}^{2}}+{\mu }^{2}{\psi }_{l}(\epsilon ,z)={\epsilon }^{2}{\psi }_{l}(\epsilon ,z),\,\,\,\,z\to +\infty .\end{eqnarray}$
$\begin{eqnarray}-\frac{{{\rm{d}}}^{2}{\psi }_{l}(\epsilon ,z)}{{\rm{d}}{z}^{2}}={\epsilon }^{2}{\psi }_{l}(\epsilon ,z),\,\,\,\,z\to -\infty .\end{eqnarray}$
For $\left|\epsilon \right|\gt \left|\mu \right|$, it induces the boundary condition
$\begin{eqnarray}\begin{array}{rcl}{\psi }_{l}^{(1)}(\epsilon ,z) & = & \cos (\sqrt{{\epsilon }^{2}-{\mu }^{2}}z),\,\,\,\,z\to +\infty .\\ {\psi }_{l}^{(1)}(\epsilon ,z) & = & \cos (\epsilon z),\,\,\,\,z\to -\infty .\end{array}\end{eqnarray}$
$\begin{eqnarray}\begin{array}{rcl}{\psi }_{l}^{(2)}(\epsilon ,z) & = & \sin (\sqrt{{\epsilon }^{2}-{\mu }^{2}}z),\,\,\,\,z\to +\infty .\\ {\psi }_{l}^{(2)}(\epsilon ,z) & = & \sin (\epsilon z),\,\,\,\,z\to -\infty .\end{array}\end{eqnarray}$
There is a pair of orthogonal solutions ${\psi }_{l}^{(1)}$ and ${\psi }_{l}^{(2)}$ for $\left|\epsilon \right|\gt \left|\mu \right|$, which correspond to ${f}_{l}^{(1)}$ and ${f}_{l}^{(2)}$. For the bound states near the horizon, $\left|\epsilon \right|\lt \left|\mu \right|$, it induces the boundary condition
$\begin{eqnarray}\begin{array}{rcl}{\psi }_{l}(\epsilon ,z) & = & 0,\quad z\to +\infty .\\ {\psi }_{l}(\epsilon ,z) & = & \cos (\epsilon z),\quad z\to -\infty .\end{array}\end{eqnarray}$
Figure 1. Examples of Vl(z) for μ = 1. (a) l = 0, and (b) l = 3.

2.2. Massive spinor fields

The action of a massive spinor field reads
$\begin{eqnarray}\begin{array}{l}{S}_{\mathrm{sp}}=\int \sqrt{-g}\\ \left[\displaystyle \frac{{\rm{i}}}{2}\left(\bar{\psi }{\gamma }^{(\nu )}{{\rm{e}}}_{(\nu )}^{\mu }{\nabla }_{\mu }\,\psi -{\nabla }_{\mu }\,\bar{\psi }{{\rm{e}}}_{(\nu )}^{\mu }{\gamma }^{(\nu )}\psi \right)-{m}_{\mathrm{sp}}\bar{\psi }\psi \right]{{\rm{d}}}^{4}x,\end{array}\end{eqnarray}$
where msp is the mass of the spinor field, ${{\rm{e}}}_{(\nu )}^{\mu }$ are the vielbein fields, and ∇μ are the covariant derivatives defined by
$\begin{eqnarray}\begin{array}{rcl}{{\rm{\nabla }}}_{\mu }\,\psi & = & \left({\partial }_{\mu }\psi +{\omega }_{\mu }\psi \right),\quad {{\rm{\nabla }}}_{\mu }\,\bar{\psi }=\left({\partial }_{\mu }\bar{\psi }-\bar{\psi }{\omega }_{\mu }\right),\\ {\omega }_{\mu } & = & \frac{1}{8}{\omega }_{(\nu )(\rho )\mu }\left[{\gamma }^{(\nu )},{\gamma }^{(\rho )}\right],\\ {\omega }_{(\nu )(\rho )\mu } & = & {g}_{\sigma \tau }{{\rm{e}}}_{(\nu )}^{\tau }\left({\partial }_{\mu }{{\rm{e}}}_{(\rho )}^{\sigma }+{{\rm{\Gamma }}}_{\mu \lambda }^{\sigma }{{\rm{e}}}_{(\rho )}^{\lambda }\right),\end{array}\end{eqnarray}$
where ω(ν)(ρ)μ are the spin connections and ${{\rm{\Gamma }}}_{\mu \lambda }^{\sigma }$ are the Christoffel symbols. ${{\rm{e}}}_{(\rho )}^{\mu }{{\rm{e}}}_{(\sigma )}^{\nu }\left\{{\gamma }^{(\rho )},{\gamma }^{(\sigma )}\right\}=2{g}^{\mu \nu }$. The Dirac equation in the curved spacetime reads
$\begin{eqnarray}{\rm{i}}{\gamma }^{(\nu )}{{\rm{e}}}_{(\nu )}^{\mu }\left({\partial }_{\mu }+{\omega }_{\mu }\right)\psi -{m}_{\mathrm{sp}}\psi =0.\end{eqnarray}$
By introducing [52]
$\begin{eqnarray}\begin{array}{rcl}r & = & R+\frac{{M}^{2}}{4R}+M=R+\frac{{r}_{0}^{2}}{16R}+\frac{{r}_{0}}{2},\\ R & = & \sqrt{{x}^{2}+{y}^{2}+{z}^{2}},\end{array}\end{eqnarray}$
the Schwarzschild metric equation (7) can be rewritten as
$\begin{eqnarray}{g}_{00}=\frac{{\left(1-\frac{{r}_{0}}{4R}\right)}^{2}}{{\left(1+\frac{{r}_{0}}{4R}\right)}^{2}},\quad {g}_{ii}=-{\left(1+\frac{{r}_{0}}{4R}\right)}^{4},\end{eqnarray}$
$\begin{eqnarray}{g}_{\mu \nu }=0,\quad \mu \ne \nu ,\end{eqnarray}$
where the Latin coordinate index i corresponds to the spatial coordinates. Then the vielbein fields are
$\begin{eqnarray}{{\rm{e}}}_{(0)}^{0}=\frac{1+\frac{{r}_{0}}{4R}}{1-\frac{{r}_{0}}{4R}},\quad {{\rm{e}}}_{(k)}^{k}={\left(1+\frac{{r}_{0}}{4R}\right)}^{-2},\end{eqnarray}$
$\begin{eqnarray}{{\rm{e}}}_{(\nu )}^{\mu }=0,\quad \mu \ne \nu .\end{eqnarray}$
The Christoffel symbols are:
$\begin{eqnarray}{{\rm{\Gamma }}}_{\mu \nu }^{0}=\frac{{r}_{0}}{2{R}^{3}}\frac{1}{\left(1-\frac{{r}_{0}}{4R}\right)\left(1+\frac{{r}_{0}}{4R}\right)}\left(\begin{array}{cccc}0 & x & y & z\\ x & 0 & 0 & 0\\ y & 0 & 0 & 0\\ z & 0 & 0 & 0\end{array}\right),\end{eqnarray}$
$\begin{eqnarray}{{\rm{\Gamma }}}_{\mu \nu }^{1}=\frac{{r}_{0}}{2{R}^{3}}\frac{1}{1+\frac{{r}_{0}}{4R}}\left(\begin{array}{cccc}\frac{1-\frac{{r}_{0}}{4R}}{{\left(1+\frac{{r}_{0}}{4R}\right)}^{6}}x & 0 & 0 & 0\\ 0 & -x & -y & -z\\ 0 & -y & x & 0\\ 0 & -z & 0 & x\end{array}\right),\end{eqnarray}$
$\begin{eqnarray}{{\rm{\Gamma }}}_{\mu \nu }^{2}=\frac{{r}_{0}}{2{R}^{3}}\frac{1}{1+\frac{{r}_{0}}{4R}}\left(\begin{array}{cccc}\frac{1-\frac{{r}_{0}}{4R}}{{\left(1+\frac{{r}_{0}}{4R}\right)}^{6}}y & 0 & 0 & 0\\ 0 & y & -x & 0\\ 0 & -x & -y & -z\\ 0 & 0 & -z & y\end{array}\right),\end{eqnarray}$
$\begin{eqnarray}{{\rm{\Gamma }}}_{\mu \nu }^{3}=\frac{{r}_{0}}{2{R}^{3}}\frac{1}{1+\frac{{r}_{0}}{4R}}\left(\begin{array}{cccc}\frac{1-\frac{{r}_{0}}{4R}}{{\left(1+\frac{{r}_{0}}{4R}\right)}^{6}}z & 0 & 0 & 0\\ 0 & z & 0 & -x\\ 0 & 0 & z & -y\\ 0 & -x & -y & -z\end{array}\right).\end{eqnarray}$
And the spin connections read
$\begin{eqnarray}{\omega }_{0}=\frac{{r}_{0}}{8{R}^{3}}{\left(1+\frac{{r}_{0}}{4R}\right)}^{-4}\left[{\gamma }^{(0)},\overrightarrow{x}\overrightarrow{\gamma }\right],\end{eqnarray}$
$\begin{eqnarray}{\omega }_{k}=\frac{{r}_{0}}{8{R}^{3}}{\left(1+\frac{{r}_{0}}{4R}\right)}^{-1}\left[{\gamma }^{(k)},\overrightarrow{x}\overrightarrow{\gamma }\right],\end{eqnarray}$
where $\overrightarrow{\gamma }\equiv \left({\gamma }^{(1)},{\gamma }^{(2)},{\gamma }^{(3)}\right)$ and $\overrightarrow{x}\overrightarrow{\gamma }\equiv {x}^{1}{\gamma }^{(1)}+{x}^{2}{\gamma }^{(2)}\,+{x}^{3}{\gamma }^{(3)}=x{\gamma }^{(1)}+y{\gamma }^{(2)}+z{\gamma }^{(3)}$. By choosing the Dirac representation for γ-matrices, the static solution for the Dirac equation (22) has the form
$\begin{eqnarray}{\psi }_{Ejl{m}_{{\rm{t}}}}\left(t,R,\theta ,\varphi \right)=\left(\begin{array}{c}{F}_{jl}\left(E,R\right){{\rm{\Omega }}}_{jl{m}_{{\rm{t}}}}\left(\theta ,\varphi \right)\\ {\rm{i}}{G}_{{l}^{{\prime} }}\left(E,R\right){{\rm{\Omega }}}_{jl^{\prime} {m}_{{\rm{t}}}}\left(\theta ,\varphi \right)\end{array}\right){{\rm{e}}}^{-{\rm{i}}Et},\end{eqnarray}$
where E is the energy, j is the total angular momentum, mt is its projection; $l=j\pm \frac{1}{2}$ and $l^{\prime} =j\mp \frac{1}{2}$ are the orbital angular momenta,
$\begin{eqnarray}{F}_{jl}=\frac{{f}_{jl}}{r{\left(1-\frac{{r}_{0}}{r}\right)}^{\frac{1}{4}}},\quad {G}_{i{l}^{{\prime} }}=\frac{{g}_{jl^{\prime} }}{r{\left(1-\frac{{r}_{0}}{r}\right)}^{\frac{1}{4}}}.\end{eqnarray}$
$\begin{eqnarray}{{\rm{\Omega }}}_{jl{m}_{{\rm{t}}}}\left(\theta ,\varphi \right)=\left(\begin{array}{c}{C}_{l,{m}_{{\rm{t}}}-\frac{1}{2},\frac{1}{2},\frac{1}{2}}^{j{m}_{{\rm{t}}}}{Y}_{l}^{{m}_{{\rm{t}}}-\frac{1}{2}}\left(\theta ,\varphi \right)\\ {C}_{l,{m}_{{\rm{t}}}+\frac{1}{2},\frac{1}{2},-\frac{1}{2}}^{j{m}_{{\rm{t}}}}{Y}_{l}^{{m}_{{\rm{t}}}+\frac{1}{2}}\left(\theta ,\varphi \right)\end{array}\right),\end{eqnarray}$
are the spherical spinors with ${C}_{l,{m}_{{\rm{t}}}\pm \frac{1}{2},\frac{1}{2},\mp \frac{1}{2}}^{j{m}_{{\rm{t}}}}$ been the Clebsch–Gordan coefficients. Then the radial Dirac equation reads
$\begin{eqnarray}{H}_{r}(\kappa )\left(\begin{array}{c}{f}_{jl}\\ {g}_{jl^{\prime} }\end{array}\right)=E\left(\begin{array}{c}{f}_{jl}\\ {g}_{jl^{\prime} }\end{array}\right),\end{eqnarray}$
with
$\begin{eqnarray}\kappa =l(l+1)-j(j+1)-\frac{1}{4},\end{eqnarray}$
$\begin{eqnarray}\begin{array}{rcl}{H}_{r}(\kappa ) & = & -{\rm{i}}{\sigma }^{(2)}\left(1-\frac{{r}_{0}}{r}\right)\frac{{\rm{d}}}{{\rm{d}}r},\\ & & +{\sigma }^{(1)}\frac{\kappa \sqrt{1-\frac{{r}_{0}}{r}}}{r}+{\sigma }^{(3)}\sqrt{1-\frac{{r}_{0}}{r}}m,\end{array}\end{eqnarray}$
where σ(i) are the Pauli matrices. By omitting the angular momentum indices j, l, ${l}^{{\prime} }$, and introducing the tortoise coordinate $\rho \left(z\right)+{\mathrm{ln}}\,\left(\rho \left(z\right)-1\right)=z$, the dimensionless variables $\rho =\frac{r}{{r}_{0}}$, ϵ = r0E, μ = r0msp, and making the transformation,
$\begin{eqnarray}f=\sqrt{1+\frac{\mu }{\varepsilon }\sqrt{1-\frac{1}{\rho \left(z\right)}}}u,\end{eqnarray}$
then the radial equation for f reduces to [52]
$\begin{eqnarray}-\frac{{{\rm{d}}}^{2}u}{{\rm{d}}{z}^{2}}+{V}_{\kappa }^{(u)}\left(\varepsilon ,z\right)u={\varepsilon }^{2}u,\end{eqnarray}$
with
$\begin{eqnarray}\begin{array}{l}{V}_{\kappa }^{\left(u\right)}\left(\varepsilon ,z\right)=\frac{\mu {\left(\rho \left(z\right)-1\right)}^{\frac{3}{2}}-\kappa \varepsilon \rho \left(z\right)\sqrt{\rho \left(z\right)-1}}{2{\rho }^{\frac{9}{2}}\left(z\right)\left(\varepsilon +\mu \sqrt{\frac{\rho \left(z\right)-1}{\rho \left(z\right)}}\right)}\\ \quad +\frac{{\mu }^{2}\left(\rho \left(z\right)-1\right)-2\mu \varepsilon \sqrt{\left(\rho \left(z\right)-1\right)\rho \left(z\right)}}{16{\rho }^{5}\left(z\right){\left(\varepsilon +\mu \sqrt{\frac{\rho \left(z\right)-1}{\rho \left(z\right)}}\right)}^{2}}\\ \quad +{\mu }^{2}\frac{\rho \left(z\right)-1}{\rho \left(z\right)}+\kappa \frac{{\left(\rho \left(z\right)-1\right)}^{\frac{3}{2}}}{{\rho }^{\frac{7}{2}}\left(z\right)}+{\kappa }^{2}\frac{\rho \left(z\right)-1}{{\rho }^{3}\left(z\right)}.\end{array}\end{eqnarray}$
f and g are related by the transformation
$\begin{eqnarray}f\to g,\quad \varepsilon \to -\varepsilon ,\quad \kappa \to -\kappa .\end{eqnarray}$
Therefore by transforming
$\begin{eqnarray}g=\sqrt{1+\frac{\mu }{\varepsilon }\sqrt{1-\frac{1}{\rho \left(z\right)}}}v,\end{eqnarray}$
the radial equation for g reduces to
$\begin{eqnarray}-\frac{{{\rm{d}}}^{2}v}{{\rm{d}}{z}^{2}}+{V}_{\kappa }^{(v)}\left(\varepsilon ,z\right)v={\varepsilon }^{2}v,\end{eqnarray}$
with
$\begin{eqnarray}{V}_{\kappa }^{(v)}\left(\varepsilon ,z\right)={V}_{-\kappa }^{(u)}\left(-\varepsilon ,z\right).\end{eqnarray}$
We plot several examples of ${V}_{\kappa }^{(u)}\left(\varepsilon ,z\right)$ in figure 2.
Figure 2. Examples of ${V}_{\kappa }^{(u)}\left(\varepsilon ,z\right)$ for (a) ε = 0.2, κ = −1, and μ = 1; (b) ε = 4, κ = 4, and μ = 2.
Similar to the massive scalar field case, for ε > 0, ${V}_{\kappa }\left(\varepsilon ,z\right)\to 0$ for z → − and ${V}_{\kappa }\left(\varepsilon ,z\right)\to {\mu }^{2}$ for z → +. And the corresponding boundary conditions are
$\begin{eqnarray}-\frac{{{\rm{d}}}^{2}u(\epsilon ,z)}{{\rm{d}}{z}^{2}}+{\mu }^{2}u(\epsilon ,z)={\epsilon }^{2}u(\epsilon ,z),\quad z\to +\infty .\end{eqnarray}$
$\begin{eqnarray}-\frac{{{\rm{d}}}^{2}u(\epsilon ,z)}{{\rm{d}}{z}^{2}}={\epsilon }^{2}u(\epsilon ,z),\quad z\to -\infty .\end{eqnarray}$
Considering the condition $\left|\epsilon \right|\gt \left|\mu \right|$,
$\begin{eqnarray}\begin{array}{rcl}{u}^{(1)}(\epsilon ,z) & = & \cos (\sqrt{{\epsilon }^{2}-{\mu }^{2}}z),\quad z\to +\infty .\\ {u}^{(1)}(\epsilon ,z) & = & \cos (\epsilon z),\quad z\to -\infty .\end{array}\end{eqnarray}$
$\begin{eqnarray}\begin{array}{rcl}{u}^{(2)}(\epsilon ,z) & = & \sin (\sqrt{{\epsilon }^{2}-{\mu }^{2}}z),\quad z\to +\infty .\\ {u}^{(2)}(\epsilon ,z) & = & \sin (\epsilon z),\quad z\to -\infty .\end{array}\end{eqnarray}$
There is a pair of orthogonal solutions u(1) and u(2) for $\left|\epsilon \right|\gt \left|\mu \right|$ corresponding to ${F}_{jl}^{(1)}$ and ${F}_{jl}^{(2)}$. For the bound states near the horizon, $\left|\epsilon \right|\lt \left|\mu \right|$, it induces the boundary condition
$\begin{eqnarray}\begin{array}{rcl}u(\epsilon ,z) & = & 0,\quad z\to +\infty .\\ u(\epsilon ,z) & = & \cos (\epsilon z),\quad z\to -\infty .\end{array}\end{eqnarray}$
It is the same for v(εz) when $\left|\epsilon \right|\gt \left|\mu \right|$; similarly, v(1) and v(2) corresponding to ${G}_{jl}^{(1)}$ and ${G}_{jl}^{(2)}$.

3. OTOC and Lyapunov exponents of scalar and spinor fields in the Schwarzschild spacetime

The expectation value of an operator $\hat{O}$ of the radial direction for the scalar field is defined by [50]
$\begin{eqnarray}\langle m| \hat{O}| n\rangle =\displaystyle \sum _{l}{\int }_{{r}_{0}}^{\infty }\frac{{r}^{3}}{r-{r}_{0}}{f}_{l}^{* }({E}_{m},r)\hat{O}{f}_{l}({E}_{n},r){\rm{d}}r,\end{eqnarray}$
where fl(Er) and r can be obtained according from equation (12). And for the spinor field it is defined by [52]
$\begin{eqnarray}\begin{array}{l}\langle m| \hat{O}| n\rangle =\displaystyle \sum _{j}{\displaystyle \int }_{{r}_{0}}^{\infty }\frac{{r}^{2}{\rm{e}}r}{\sqrt{1-\frac{{r}_{0}}{r}}}\\ \left({F}_{jl}^{* }\left({E}_{m},r\right)\hat{O}{F}_{jl}\left({E}_{n},r\right)+{G}_{jl^{\prime} }^{* }\left(E,r\right)\hat{O}{G}_{jl^{\prime} }\left(E^{\prime} ,r\right)\right),\end{array}\end{eqnarray}$
and Fjl and Gjl are obtained from equation (35). Additionally, we have a pair of orthogonal solutions for the condition of $\left|\epsilon \right|\gt \left|\mu \right|$. For the scalar field
$\begin{eqnarray}{f}_{l}=\frac{1}{\sqrt{2}}({f}_{l}^{(1)}+{f}_{l}^{(2)}).\end{eqnarray}$
For the spinor field
$\begin{eqnarray}\begin{array}{rcl}{F}_{jl} & = & \frac{1}{\sqrt{2}}({F}_{jl}^{(1)}+{F}_{jl}^{(2)}),\\ {G}_{jl} & = & \frac{1}{\sqrt{2}}({G}_{jl}^{(1)}+{G}_{jl}^{(2)}).\end{array}\end{eqnarray}$
Therefore, in the calculation of OTOC equation (6), we consider the radial position $\hat{x}=r$ and the radial momentum $\hat{p}={\rm{i}}\partial /\partial r$. For the scalar field, the matrix elements are
$\begin{eqnarray}{x}_{mn}=\displaystyle \sum _{l}{\int }_{{r}_{0}}^{\infty }\frac{{r}^{4}{\rm{d}}r}{r-{r}_{0}}{f}_{l}^{* }({E}_{m},r){f}_{l}({E}_{n},r),\end{eqnarray}$
$\begin{eqnarray}{p}_{mn}=\displaystyle \sum _{l}-{\rm{i}}{\int }_{{r}_{0}}^{\infty }\frac{{r}^{3}{\rm{d}}r}{r-{r}_{0}}{f}_{l}^{* }({E}_{m},r)\frac{\partial }{\partial r}{f}_{l}({E}_{n},r).\end{eqnarray}$
And for the spinor fields they are
$\begin{eqnarray}\begin{array}{rcl}{x}_{mn} & = & \displaystyle \sum _{j}{\displaystyle \int }_{{r}_{0}}^{\infty }\frac{{r}^{3}{\rm{d}}r}{\sqrt{1-\frac{{r}_{0}}{r}}}({F}_{jl}^{* }\left({E}_{m},r\right){F}_{jl}\left({E}_{n},r\right)\\ & & +{G}_{jl^{\prime} }^{* }\left({E}_{m},r\right){G}_{jl^{\prime} }\left({E}_{n},r\right)),\end{array}\end{eqnarray}$
$\begin{eqnarray}\begin{array}{rcl}{p}_{mn} & = & \displaystyle \sum _{j}-{\rm{i}}{\displaystyle \int }_{{r}_{0}}^{\infty }\frac{{r}^{2}{\rm{d}}r}{\sqrt{1-\frac{{r}_{0}}{r}}}({F}_{jl}^{* }\left({E}_{m},r\right)\frac{\partial }{\partial r}{F}_{jl}\left({E}_{n},r\right)\\ & & +{G}_{jl^{\prime} }^{* }\left({E}_{m},r\right)\frac{\partial }{\partial r}{G}_{jl^{\prime} }\left({E}_{n},r\right)).\end{array}\end{eqnarray}$
We numerically solve the normalized wave functions for the radial equations (13) and (41) with the boundary conditions equation (18) for the scalar field and equation (50) for the spinor field. The solution of equation (45) can be obtained via the transformation equation (43).
We plot the typical OTOC diagrams for the scalar and spinor fields respectively in figure 3. The OTOCs for both fields grow exponentially at early times and saturate at large times (the Ehrenfest time) as expected. In the calculations, we have chosen μ = 5 and β = 10, and set  = kB = 1. The Lyapunov exponent is conveniently obtained by taking the logarithm of CT(t); i.e. ${\mathrm{ln}}\,{C}_{T}(t)$ is linear with the slope being the Lyapunov exponent at early times. We find that when β = 10, the Lyapunov exponents for both the scalar and spinor fields are smaller than the chaos bound, which is 2π/β. The Lyapunov exponent of the spinor field is larger than that of the scalar field. Furthermore, the main contribution to the Lyapunov exponent arises from the bound states near the horizon, which is consistent with the semiclassical result that only considers the particle moving near the horizon [23, 24].
Figure 3. The diagrams of the OTOCs: μ = 5 and β = 10. The energy cutoff is chosen as ${E}_{{\rm{\min }}}=0.5$ and ${E}_{{\rm{\max }}}=100$. The red line regime is nearly linear, and its slope corresponds to the Lyapunov exponent. (a) and (b) are for the scalar fields while (c) and (d) are for the spinor fields. (a) and (c) are the total OTOCs while (b) and (d) only include the contributions of the bound states near the horizon. Therefore, the main part of the Lyapunov exponent arises from the bound states.
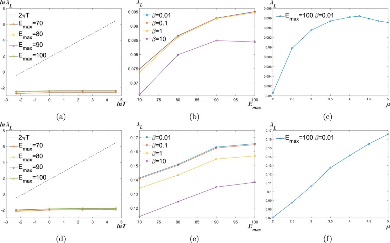
In the numerical calculation, the energy ε is bounded by ${E}_{{\rm{\min }}}\lt \epsilon \lt {E}_{{\rm{\max }}}$, where ${E}_{{\rm{\min }}}$ is the minimum energy cutoff and ${E}_{{\rm{\max }}}$ is the maximum cutoff. For the spinor field, the energy is bounded by ${E}_{{\rm{\min }}}\lt | E| \lt {E}_{{\rm{\max }}}$ (E for the wave functions of Fjl, and −E for Gjl). In both fields, we set ε as a geometric progression from ${E}_{{\rm{\min }}}$ to ${E}_{{\rm{\max }}}$ (300 points for each field). The states with energy $\left|\epsilon \right|\lt \left|\mu \right|$ are identified as the bound states, while states with $\left|\epsilon \right|\gt \left|\mu \right|$ move away from the horizon. l is set as a arithmetic progression from 0 to ${E}_{{\rm{\max }}}$ with the interval of 1 for the scalar field and κ as a arithmetic progression from $-{E}_{{\rm{\max }}}$ to ${E}_{{\rm{\max }}}$ with an interval of 1 for the spinor field. In choosing the cutoff for l and κ, we have tried from $0.5{E}_{{\rm{\max }}}$ to a very large number. We find that the results are already sufficiently clear and almost saturate to determine the Lyapunov exponents when the cutoff is set at ${E}_{{\rm{\max }}}$.
We plot the temperature dependence of the Lyapunov exponents in figures 4(a) and (d), where the dashed line is the chaos bound equation (1). We find that the Lyapunov exponents for both the scalar and spinor fields remain below the chaos bound and saturate at large temperatures T. By increasing the energy cutoff ${E}_{{\rm{\max }}}$, the Lyapunov exponent also increases and saturates as shown in figures 4(b) and (e). For larger temperatures, in principle, a larger ${E}_{{\rm{\max }}}$ should be taken into account, but we fixed ${E}_{{\rm{\max }}}$ when plotting figures 4(a) and (d), which may explain the saturating behavior of the Lyapunov exponents.
Figure 4. (a) and (d) show the temperature dependence of the OTOC. The dashed line corresponds to the chaos bound. μ = 5. (b) and (e) show the cutoff ${E}_{{\rm{\max }}}$ dependence of the OTOC. μ = 5. (c) and (f) show the μ dependence of the OTOC. ${E}_{{\rm{\max }}}=100$ and β = 0.01. (a), (b), and (c) are for the scalar field. (d), (e), and (f) are for the spinor field.
We also consider the μ-dependence of the Lyapunov exponent for a fixed temperature in figures 4(d) and (f). We find that Lyapunov exponents also increase with respect to small μ, indicating that more bound states correspond to a larger Lyapunov exponent. For large μ, the Lyapunov exponent saturates and tends to decrease. This may be related to the numerical method we use. The main contribution of Lyapunov exponent arises from the bound states near ε ∼ μ, while for large μ, the density of bound states near ε ∼ μ decreases for the geometric progression. Therefore, the Lyapunov exponent decreases at large μ.

4. Conclusions

In this article, we numerically calculated the OTOCs for massive scalar and spinor fields in the Schwarzschild spacetime along the radial direction. We find that the Lyapunov exponent of the spinor field is larger than that of the scalar field. The main contribution to the total OTOC comes from the bound states near the horizon, which is consistent with the semiclassical case [23, 24]. However, unlike the semiclassical case, we find that the corresponding Lyapunov exponents are below the chaos bound. Furthermore, the Lyapunov exponent increases with the spin magnitude of the quantum field, which may eventually violate the chaos bound for quantum fields with very large spins and break causality. This is consistent with studies in the conformal field theory literature, where the chaos bound can be violated by higher-spin fields with large central charges [53, 54]. The finite towers of higher spin fields lead to acausality, which aligns with the structure of higher-dimensional gravity.

This work is supported by the National Natural Science Foundation of China with Grants No. 12174067 and No. 11804223.

1
Maldacena J M 1999 The large-N limit of superconformal field theories and supergravity Int. J. Theor. Phys. 38 1113

DOI

2
Witten E 1998 Anti-de Sitter space and holography Adv. Theor. Math. Phys. 2 253

DOI

3
Gubser S S, Klebanov I R, Polyakov A M 1998 Gauge theory correlators from non-critical string theory Phys. Lett. B 428 105

DOI

4
Ryu S, Takayanagi T 2006 Holographic derivation of entanglement entropy from the anti-de Sitter space/conformal field theory correspondence Phys. Rev. Lett. 96 181602

DOI

5
Emparan R 2006 Black hole entropy as entanglement entropy: a holographic derivation J. High Energy Phys. JHEP06(2006)012

DOI

6
Solodukhin S N 2006 Entanglement entropy of black holes and anti-de Sitter space/conformal-field-theory correspondence Phys. Rev. Lett. 97 201601

DOI

7
Maldacena J, Shenker S H, Stanford D 2016 A bound on chaos J. High Energy Phys. JHEP08(2016)106

DOI

8
Kitaev A 2014 Hidden correlations in the hawking radiation and thermal noise talk given at Fundamental Physics Prize Symposium https://online.kitp.ucsb.edu/online/joint98/kitaev/

9
Sachdev S, Ye J W 1993 Gapless spin-fluid ground state in a random quantum Heisenberg magnet Phys. Rev. Lett. 70 3339

DOI

10
Kitaev A 2014 A simple model of quantum holography talks at Kavli Institute for Theoretical Physics, Santa Barbara, U.S.A http://online.kitp.ucsb.edu/online/entangled15/kitaev/

11
Maldacena J, Stanford D 2016 Remarks on the Sachdev-Ye-Kitaev model Phys. Rev. D 94 106002

DOI

12
Polchinski J, Rosenhaus V 2016 The spectrum in the Sachdev-Ye-Kitaev model J. High Energy Phys. JHEP04(2016)001

DOI

13
Kitaev A, Suh S J 2018 The soft mode in the Sachdev-Ye-Kitaev model and its gravity dual J. High Energy Phys. JHEP05(2018)183

DOI

14
Kobrin B, Yang Z, Kahanamoku-Meyer G D, Olund C T, Moore J E, Stanford D, Yao N Y 2021 Many-body chaos in the Sachdev-Ye-Kitaev Model Phys. Rev. Lett. 126 030602

DOI

15
Altland A, Bagrets D, Callebaut N, Weisenberger K 2025 The chiral SYK model in three-dimensional holography SciPost Phys. 18 205

DOI

16
Xu S, Swingle B 2024 Scrambling dynamics and out-of-time-ordered correlators in quantum many-body systems PRX Quantum 5 010201

DOI

17
Larkin A I, Ovchinnikov Y N 1969 Quasiclassical method in the theory of superconductivity JETP 28 1200 http://jetp.ras.ru/cgi-bin/e/index/e/28/6/p1200?a=list

18
Jahnke V, Kim K-Y, Yoon J 2019 On the chaos bound in rotating black holes J. High Energy Phys. JHEP05(2019)37

DOI

19
Craps B, Clerck M D, Hacker P, Nguyen K, Rabideau C 2021 Slow scrambling in extremal BTZ and microstate geometries J. High Energy Phys. JHEP03(2021)020

DOI

20
Craps B, Khetrapal S, Rabideau C 2021 Chaos in CFT dual to rotating BTZ J. High Energy Phys. JHEP11(2021)105

DOI

21
Blake M, Davison R A 2022 Chaos and pole-skipping in rotating black holes J. High Energy Phys. JHEP01(2022)013

DOI

22
Amano M A G, Blake M, Cartwright C, Kaminski X, Thompson A P 2023 Chaos and pole-skipping in a simply spinning plasma J. High Energy Phys. JHEP02(2023)253

DOI

23
Hashimoto K, Tanahashi N 2017 Universality in chaos of particle motion near black hole horizon Phys. Rev. D 95 024007

DOI

24
Morita K 2019 Thermal emission from semiclassical dynamical systems Phys. Rev. Lett. 122 101603

DOI

25
Hashimoto K, Murata K, Yoshii R 2017 Out-of-time-order correlators in quantum mechanics J. High Energy Phys. JHEP10(2017)138

DOI

26
Unruh W G 1981 Experimental black-hole evaporation? Phys. Rev. Lett. 46 1351

DOI

27
Lahav O, Itah A, Blumkin A, Gordon C, Rinott S, Zayats A, Steinhauer J 2010 Realization of a sonic black hole analog in a Bose–Einstein condensate Phys. Rev. Lett. 105 240401

DOI

28
de Nova J R M, Golubkov K, Kolobov V, Steinhauer J 2019 Observation of thermal Hawking radiation and its temperature in an analogue black hole Nature 569 688

DOI

29
Roldan-Molina A, Nunez A S, Duine R A 2017 Magnonic black holes Phys. Rev. Lett. 118 061301

DOI

30
Haldane F D M 2011 Geometrical description of the fractional quantum Hall effect Phys. Rev. Lett. 107 116801

DOI

31
Qiu R-Z, Kou S P, Hu Z X, Wan X, Yi S 2011 Quantum Hall effects in fast-rotating Fermi gases with anisotropic dipolar interaction Phys. Rev. A 83 063633

DOI

32
Yang K 2016 Acoustic wave absorption as a probe of dynamical geometrical response of fractional quantum Hall liquids Phys. Rev. B 93 161302(R)

DOI

33
Luo X, Wu Y-S, Yu Y 2016 Noncommutative Chern–Simons theory and exotic geometry emerging from the lowest Landau level Phys. Rev. D 93 125005

DOI

34
Liou S-F, Haldane F D M, Yang K, Rezayi E H 2019 Chiral gravitons in fractional quantum Hall liquids Phys. Rev. Lett. 123 146801

DOI

35
Volovik G E, Zubkov M A 2015 Emergent geometry experienced by fermions in graphene in the presence of dislocations Ann. Phys. 356 255

DOI

36
Salgado-Rebolledo P, Pachos J K 2023 Emerging D massive graviton in graphene-like systems New J. Phys. 25 033019

DOI

37
Dong L, Niu Q 2018 Geometrodynamics of electrons in a crystal under position and time-dependent deformation Phys. Rev. B 98 115162

DOI

38
Volovik G E 2016 Black hole and hawking radiation by type-II Weyl fermions JETP Lett. 104 645

DOI

39
Nissinen J, Volovik G E 2017 Type-III and IV interacting Weyl points JETP Lett. 105 447

DOI

40
Zhang K, Volovik G E 2017 Lifshitz transitions, type-II Dirac and Weyl fermions, event horizon and all that J. Low Temp. Phys. 189 276

DOI

41
Volovik G E 2018 Exotic Lifshitz transitions in topological materials Phys. Usp. 61 89

DOI

42
Huang H Q, Jin K-H, Liu F 2018 Black-hole horizon in the Dirac semimetal Zn2In2S5 Phys. Rev. B 98 121110(R)

DOI

43
Chen Y-G, Luo X, Li F-Y, Chen B, Yu Y 2020 Quantum chaos associated with an emergent ergosurface in the transition layer between type-I and type-II Weyl semimetals Phys. Rev. B 101 035130

DOI

44
Sachdev S 2010 Strange metals and the AdS/CFT correspondence J. Stat Mech. 1011 11022

DOI

45
Sachdev S 2015 Beskenstein–Hawking entropy and strange metals Phys. Rev. X 5 041025

DOI

46
Patel A A, Guo H, Esterlis I, Sachdev S 2023 Universal theory of strange metals from spatially random interactions Science 381 790

DOI

47
Swingle B, Bentsen G, Schleier-Smith M, Hayden P 2016 Measuring the scrambling of quantum information Phys. Rev. A 94 040302(R)

DOI

48
Gärttner M, Bohnet J G, Safavi-Naini A, Wall M L, Bollinger J J, Rey A M 2017 Measuring out-of-time-order correlations and multiple quantum spectra in a trapped-ion quantum magnet Nat. Phys. 13 781

DOI

49
Li J, Fan R, Wang H, Ye B, Zeng B, Zhai H, Peng X, Du J 2017 Measuring out-of-time-order correlators on a nuclear magnetic resonance quantum simulator Phys. Rev. X 7 031011

DOI

50
Egorov V, Smolyakov M, Volobuev I 2023 Doubling of physical states in the quantum scalar field theory for a remote observer in the Schwarzschild spacetime Phys. Rev. D 107 025001

DOI

51
Smolyakov M N 2023 Asymptotic behavior of solutions and spectrum of states in the quantum scalar field theory in the Schwarzschild spacetime Phys. Rev. D 108 105006

DOI

52
Egorov V, Smolyakov M, Volobuev I 2024 Quantization of spinor field in the Schwarzschild spacetime and spin sums for solutions of the Dirac equation Class. Quantum Grav. 41 045002

DOI

53
Roberts D A, Stanford D 2015 Diagnosing chaos using four-point functions in two-dimensional conformal field theory Phys. Rev. Lett. 115 131603

DOI

54
Perlmutter E 2016 Bounding the space of holographic CFTs with chaos J. High Energy Phys. JHEP10(2016)069

DOI

Outlines

/