Welcome to visit Communications in Theoretical Physics,
Gravitation Theory, Astrophysics and Cosmology

Topology of the d-dimensional charged AdS black holes with a cloud of strings and quintessence in restricted phase space

  • Shan-Xia Bao 1, 2 ,
  • Zhen-Ju Wan 1 ,
  • Yun-Zhi Du , 1, 2, 3, *
Expand
  • 1Department of Physics, Shanxi Datong University, Datong 037009, China
  • 2Institute of Theoretical Physics, Shanxi Datong University, Datong 037009, China
  • 3State Key Laboratory of Quantum Optics and Quantum Optics Devices, Shanxi University, Taiyuan 030006, China

Author to whom any correspondence should be addressed.

Received date: 2025-05-07

  Revised date: 2025-07-31

  Accepted date: 2025-08-06

  Online published: 2025-09-09

Supported by

Natural Science Foundation of Shanxi Province https://doi.org/10.13039/501100004480(202303021211180)

Copyright

© 2025 Institute of Theoretical Physics CAS, Chinese Physical Society and IOP Publishing. All rights, including for text and data mining, AI training, and similar technologies, are reserved.
This article is available under the terms of the IOP-Standard License.

Abstract

Based on the idea of treating the anti de Sitter (AdS) radius as a fixed parameter, we study the thermodynamics and topology of d-dimensional charged AdS black holes in the restricted phase space utilizing Visser’s holographic approach. For the charged black hole with a cloud of strings and quintessence in the higher-dimensional spacetimes with d = (4, 5, 6), we demonstrate that the topological number remains invariant within the same canonical ensemble; however, a distinct topological number emerges in the grand canonical ensemble for the same black hole system. Notably, these results are independent of the dimension d and other related parameters. The formalism known as restricted phase space thermodynamics is checked in detail and some interesting thermodynamic behavior is revealed in the example case of d-dimensional charged AdS black holes with a cloud of strings and quintessence. This research lays the foundation for establishing a universal framework of restricted phase space thermodynamics and investigating its fundamental thermodynamic properties.

Cite this article

Shan-Xia Bao , Zhen-Ju Wan , Yun-Zhi Du . Topology of the d-dimensional charged AdS black holes with a cloud of strings and quintessence in restricted phase space[J]. Communications in Theoretical Physics, 2026 , 78(1) : 015402 . DOI: 10.1088/1572-9494/adf832

1. Introduction

Black holes represent one of the most intriguing phenomena in the universe. Over several decades, the investigation into black hole thermodynamics has opened new windows to obtain a new perspective on gravitational force. This has also led to the study of the thermodynamic properties of black holes with various distinct backgrounds. A notable example is the study of Letelier, which focuses on solutions to the Einstein equations for a black hole surrounded by a cloud of strings and quintessence [1]. He obtained the generalization of the Schwarzschild solution corresponding to the black hole surrounded by a cloud of strings, as well as some other interesting results [2, 3].
In recent years, the thermodynamic properties of black holes in extended phase space have been widely studied. Initially, the phase transitions between large and small black holes in phase space with negative cosmological constants were investigated, and it was found that the anti de Sitter (AdS) black holes have phase transition properties similar to those of the van der Waals systems [417]. Subsequently, this study was extended to the de Sitter spacetime described by equivalent thermodynamic quantities, where the black hole horizon and the cosmological horizon coexist and its thermodynamical behavior is similar to the phase transition of AdS black holes [1824]. Following this, several new phase transition behavior patterns and phase structures of black holes were discovered, such as the foldback phase transition, the isolated critical point, the triple phase point and the superfluid black hole phase [2533].
Recently, Visser has developed a new version of extended phase space thermodynamics [34], within the framework of AdS/conformal field theory (AdS/CFT) correspondence [35]. Based on Visser’s thermodynamics, which introduced the number of colors and the chemical potential as new variables, the authors of [36] proposed a new formalism for black hole thermodynamics by considering the cosmological constant as fixed while the Newton’s constant was treated as a thermodynamic variable. This formalism, known as restricted phase space thermodynamics (RPST), is free of the dual parameters (P, V), and re-interprets mass as internal energy. Later, this formalism was used in several studies of black holes, including Kerr-AdS black holes [36], Kerr-Sen-AdS black holes [37], NED-AdS black holes [38], 4D-EGB black holes [39], EPYM-AdS black holes [40], Taub-NUT AdS black holes [41], charged AdS black holes in conformal gravity [42] and black holes in higher dimensions and higher curvature gravities [43]. Recently, the holographic thermodynamics [44] and restricted phase space thermodynamics [45] of AdS black holes have been proposed to provide a holographic interpretation of black hole thermodynamics. Conversely, the authors of [46] have presented that, in accordance with the φ-map topological flow theory [47], black hole solutions can be interpreted as topological defects characterized by winding numbers. The corresponding winding number of the local stable black hole is +1, while it is −1 for the local unstable black hole. The global topological nature of a black hole is then determined by the sum of all winding numbers, providing a robust classification scheme for black hole solutions based on their topological numbers. Lately, from a topological perspective, the advantages and potential of investigating thermodynamic phase transitions in black hole spacetimes have been emphasized [48]. And [49] reveals that the Kiselev parameter ω and the f (R, T) gravity parameter γ significantly influence the topological charges of black holes, yielding novel insights into their classification. Additionally, for RN-GB AdS black holes, the role of Gauss–Bonnet coupling in modification of the topological classification has been discussed [50].
Inspired by the above, we will investigate the topological properties of higher-dimensional charged RN-AdS black holes with string clouds and quintessence (HRN-AdSQ) in restricted phase space. The present research is situated within the theoretical framework of Visser’s holographic thermodynamics. In section 2, a calculation is performed on the thermodynamics of the HRN-AdSQ black holes in restricted phase space. Then, in section 3, the discussion concerns the topological properties of the HRN-AdSQ black hole in both canonical and grand canonical ensembles. In addition, from the perspective of topology, we analyze the effects of multiple related parameters and spacetime dimensions on the topological numbers. Furthermore, the topological numbers of the same spacetime in two different ensembles is compared. A brief summary is given in section 4.

2. RPST for the HRN-AdSQ black hole

Under the assumption of [51, 52], the quintessence and cloud of strings have no interaction, and the corresponding spacetime metric of the HRN-AdSQ black hole is given by the general form as follows [51]:
$\begin{eqnarray}\rm{d}\,{s}^{2}=-f(r)\rm{d}\,{t}^{2}+\frac{\,\rm{d}{r}^{2}}{f(r)}+{r}^{2}\,\rm{d}\,{{\rm{\Omega }}}_{d-2}^{2},\end{eqnarray}$
where
$\begin{eqnarray}\begin{array}{rcl}f(r) & = & 1-\frac{m}{{r}^{d-3}}-\frac{2{\rm{\Lambda }}{r}^{2}}{(d-1)(d-2)}+\frac{{q}^{2}}{{r}^{2(d-3)}}\\ & & -\frac{\alpha }{{r}^{(d-1)\omega +d-3}}-\frac{2a}{(d-2){r}^{d-4}},\end{array}\end{eqnarray}$
and $\,\rm{d}\,{{\rm{\Omega }}}_{d-2}^{2}$ denotes the metric unit (d − 2)-sphere, Ωd−2 is the volume of unit (d − 2)-sphere, which takes the form [52]:
$\begin{eqnarray}\,\rm{d}\,{{\rm{\Omega }}}_{d-2}=\frac{2{\pi }^{\frac{d-1}{2}}}{{\rm{\Gamma }}(d-12)}.\end{eqnarray}$
Here, m and q are integration constants that are proportional to the Arnowitt Deser Misner (ADM) mass M and the black hole charge Q, respectively. There are two related expressions as follows [53]:
$\begin{eqnarray}M=\frac{(d-2)}{16\pi }{{\rm{\Omega }}}_{d-2}m,\,\,Q=q\frac{\sqrt{2(d-2)(d-3)}}{8\pi }{{\rm{\Omega }}}_{d-2}.\end{eqnarray}$
Moreover, a in the f(r) is an integration constant related to the presence of a cloud of strings. And a positive normalization factor α is the quintessential parameter, which has a relationship with the energy density for quintessence. The density of quintessence is defined by the equation ${\rho }_{q}=-\frac{\alpha \omega (d-1)(d-2)}{4{r}^{(d-1)(\omega +1)}}$, with the range of the barotropic index: −1 < ω < − 1/3. We will set ω = − (d − 2)/(d − 1) in the numerical analysis when only considering the asymptotically dS behavior.
On the black hole horizon r+ that satisfies the expression f(r+) = 0, we can obtain the ADM mass:
$\begin{eqnarray}\begin{array}{rcl}M & = & \frac{(d-2)}{16\pi G}{{\rm{\Omega }}}_{d-2}\left({r}^{d-3}-\frac{2{\rm{\Lambda }}{r}^{d-1}}{(d-1)(d-2)}\right.\\ & & \left.+\frac{32{\pi }^{2}G{Q}^{2}}{(d-2)(d-3){{\rm{\Omega }}}_{d-2}^{2}{r}^{(d-3)}}-\frac{G\alpha }{{r}^{(d-1)\omega }}-\frac{2Gar}{(d-2)}\right).\end{array}\end{eqnarray}$
According to Visser’s idea [34], the central charge C = Ld−2/G of the holographic dual theory has been taken as a new extensive variable, and we consider the mass M as a function of the variables Ad−2, ${G}^{{a}_{i}-1}{\tau }_{i}$ and G, where Ad−2 represents the area of the event horizon. On the basis of varying-G map, the universal expression of the first law for black hole thermodynamics that satisfies the holographic principle and Euler’s equation is [54]:
$\begin{eqnarray}\begin{array}{rcl}\delta M & = & \frac{k}{8\pi }\delta \left(\frac{{A}_{d-2}}{G}\right)+\frac{{\rm{\Theta }}\delta {\rm{\Lambda }}}{8\pi G}+\displaystyle \sum _{i}{A}_{i}\delta ({G}^{{a}_{i}-1}{\tau }_{i})\\ & & -\left[M+\frac{k}{8\pi G}+\displaystyle \sum _{i}{A}_{i}{G}^{{a}_{i}-1}{\tau }_{i}\right]\frac{\delta G}{G},\end{array}\end{eqnarray}$
where ${\rm{\Theta }}=\frac{{\rm{\Lambda }}}{8\pi }$, τi(i = 1, ⋯ n) is a thermodynamic variable of spacetime. Here, Ai is the intensity quantity corresponding to ${G}^{{a}_{i}-1}{\tau }_{i}$.
Now, we express the variation of G in terms of the variation of novel variables Ld−2 and Ld−2/G (which will be related to the CFT volume and central charge). This gives:
$\begin{eqnarray}\frac{\rm{d}\,{L}^{d-2}/G}{{L}^{d-2}/G}=\frac{\rm{d}{L}^{d-2}}{{L}^{d-2}}-\frac{\,\rm{d}G}{G}.\end{eqnarray}$
Then, equation (2.6) reduces to:
$\begin{eqnarray}\begin{array}{rcl}\delta M & = & \frac{k}{8\pi }\delta \left(\frac{{A}_{d-2}}{G}\right)+\displaystyle \sum _{i}{A}_{i}\delta ({G}^{{a}_{i}-1}{\tau }_{i})+\frac{\,\rm{d}\,{L}^{d-2}/G}{{L}^{d-2}/G}\left[M-\frac{k{A}_{d-2}}{8\pi G}-\displaystyle \sum _{i}{A}_{i}{G}^{{a}_{i}-1}{\tau }_{i}\right]\\ & & -\frac{M}{(d-2)}\frac{\delta {L}^{d-2}}{{L}^{d-2}}+(d-2)\frac{\delta L}{L}\left[\displaystyle \sum _{i}\left[1-{a}_{i}-\frac{{\beta }_{i}}{d-2}\right]{G}^{{a}_{i}-1}{\tau }_{i}{A}_{i}\right].\end{array}\end{eqnarray}$
By combining the second and third terms, equation (2.8) can be rewritten as follows:
$\begin{eqnarray}\begin{array}{rcl}\delta M & = & \frac{k}{8\pi }\delta \left(\frac{{A}_{d-2}}{G}\right)+\displaystyle \sum _{i}\frac{{A}_{i}}{{L}^{(d-2)(1-{a}_{i})-{\beta }_{i}}}\delta ({G}^{{a}_{i}-1}{\tau }_{i}{L}^{(d-2)(1-{a}_{i})-{\beta }_{i}})+\frac{\,\rm{d}\,{L}^{d-2}/G}{{L}^{d-2}/G}\\ & & \times \left[M-\frac{k}{8\pi G}-\displaystyle \sum _{i}\frac{{A}_{i}}{{L}^{(d-2)(1-{a}_{i})-{\beta }_{i}}}{G}^{{a}_{i}-1}{\tau }_{i}{L}^{(d-2)(1-{a}_{i})-{\beta }_{i}}\right]-\frac{M}{(d-2)}\frac{\delta {L}^{d-2}}{{L}^{d-2}}.\end{array}\end{eqnarray}$
For the spacetime equation (2.1), we take [55]:
$\begin{eqnarray}\begin{array}{l}{a}_{1}=1/2,\,\,{\beta }_{1}=0,\,\,{a}_{2}=1,\,\,{\beta }_{2}=(d-1)\omega -1,\\ {a}_{3}=1,\,\,{\beta }_{3}=-2,\,\,E=M,\,\,\tilde{{\rm{\Phi }}}=\frac{{\rm{\Phi }}\sqrt{G}}{{L}^{(d-2)/2}},\,\,\tilde{Q}=\frac{Q{L}^{(d-2)/2}}{\sqrt{G}},\\ \tilde{B}=B{L}^{(d-1)\omega -1},\,\,\tilde{\alpha }=\alpha {L}^{1-(d-1)\omega },\end{array}\end{eqnarray}$
$\begin{eqnarray}\begin{array}{l}\tilde{A}=\frac{A}{{L}^{2}},\,\,S=\frac{{A}_{d-2}}{4G},\,\,{A}_{d-2}={{\rm{\Omega }}}_{d-2}{r}_{+}^{d-2},\\ T=\frac{\kappa }{2\pi },\,\,V={L}^{d-2},\,\,E=(d-2)PV.\end{array}\end{eqnarray}$
Then, for the dual CFT, equation (2.9) can be rearranged in the form:
$\begin{eqnarray}\delta E=T\delta S+\tilde{{\rm{\Phi }}}\delta \tilde{Q}+\tilde{B}\delta \tilde{\alpha }+\tilde{A}\delta \tilde{a}-P\delta V+\mu \delta C.\end{eqnarray}$
Here,
$\begin{eqnarray}\begin{array}{rcl}\tilde{{\rm{\Phi }}} & = & {\left(\frac{\partial M}{\partial \tilde{Q}}\right)}_{S,C,\tilde{\alpha },\tilde{a}}={\left(\frac{C}{4S}\right)}^{(d-3)/(d-2)}\frac{4\pi \tilde{Q}}{{L}^{d-3}C(d-3){{\rm{\Omega }}}_{d-2}^{1/(d-2)}},\\ \tilde{B} & = & {\left(\frac{\partial M}{\partial \tilde{\alpha }}\right)}_{S,C,\tilde{Q},\tilde{a}}=-\frac{(d-2)}{16\pi L}{{\rm{\Omega }}}_{d-2}{\left(\frac{{{\rm{\Omega }}}_{d-2}C}{4S}\right)}^{(d-1)\omega /(d-2)},\tilde{A}={\left(\frac{\partial M}{\partial \tilde{a}}\right)}_{S,C,\tilde{Q},\tilde{\alpha }}=-\frac{4S}{8\pi LC},\\ \mu & = & \frac{{{\rm{\Omega }}}_{d-2}}{16\pi L}\left[{C}^{-(d-3)/(d-2)}{\left(\frac{4S}{{{\rm{\Omega }}}_{d-2}}\right)}^{(d-3)/(d-2)}-{\left(\frac{{{\rm{\Omega }}}_{d-2}}{4S}\right)}^{(d-3)/(d-2)}\frac{32{\pi }^{2}{\tilde{Q}}^{2}{C}^{-(d-1)/(d-2)}}{(d-2)(d-3){{\rm{\Omega }}}_{d-2}^{2}}\right.\\ & & -{C}^{-(d-1)/(d-2)}{\left(\frac{4S}{{{\rm{\Omega }}}_{d-2}}\right)}^{(d-1)/(d-2)}\left.-\frac{\tilde{\alpha }(d-1)\omega }{C}{\left(\frac{{{\rm{\Omega }}}_{d-2}C}{4S}\right)}^{(d-1)\omega /(d-2)}+\frac{8\tilde{a}S}{{C}^{2}{{\rm{\Omega }}}_{d-2}}\right],\end{array}\end{eqnarray}$
where μ is defined using the following identity:
$\begin{eqnarray}\mu =\frac{1}{C}(E-TS-\tilde{{\rm{\Phi }}}\tilde{Q}-\tilde{B}\tilde{\alpha }-\tilde{A}\tilde{a}).\end{eqnarray}$
When L is a constant, equation (2.12), describing RPST for AdS black holes [56], becomes:
$\begin{eqnarray}\delta E=T\delta S+\tilde{{\rm{\Phi }}}\delta \tilde{Q}+\tilde{B}\delta \tilde{\alpha }+\tilde{A}\delta \tilde{a}+\mu \delta C.\end{eqnarray}$

3. Topology of the HRN-AdSQ black hole in the restricted phase space

The following discussion will explore the use of novel thermodynamic quantities in the description of the spacetime thermodynamic properties. Hence, equation (2.5) is rewritten as follows:
$\begin{eqnarray}\begin{array}{rcl}M & = & \frac{(d-2)}{16\pi L}{{\rm{\Omega }}}_{d-2}\left[C{\left(\frac{4S}{{{\rm{\Omega }}}_{d-2}C}\right)}^{(d-3)/(d-2)}+{\left(\frac{{{\rm{\Omega }}}_{d-2}C}{4S}\right)}^{(d-3)/(d-2)}\frac{32{\pi }^{2}{\tilde{Q}}^{2}}{C(d-2)(d-3){{\rm{\Omega }}}_{d-2}^{2}}\right.\\ & & +C{\left(\frac{4S}{{{\rm{\Omega }}}_{d-2}C}\right)}^{(d-1)/(d-2)}\left.-\,\tilde{\alpha }{\left(\frac{{{\rm{\Omega }}}_{d-2}C}{4S}\right)}^{(d-1)\omega /(d-2)}-\frac{2\tilde{a}}{(d-2)}{\left(\frac{4S}{{{\rm{\Omega }}}_{d-2}C}\right)}^{1/(d-2)}\right],\end{array}\end{eqnarray}$
$\begin{eqnarray}\begin{array}{rcl}T & = & \frac{1}{4\pi L}{\left(\frac{{{\rm{\Omega }}}_{d-2}C}{4S}\right)}^{1/(d-2)}\left[d-3-\frac{32{\pi }^{2}{\tilde{Q}}^{2}}{(d-2){{\rm{\Omega }}}_{d-2}^{2/(d-2)}{C}^{2}}{\left(\frac{C}{4S}\right)}^{\frac{2(d-3)}{(d-2)}}+(d-1){\left(\frac{4S}{{{\rm{\Omega }}}_{d-2}C}\right)}^{2/(d-2)}\right.\\ & & +\frac{(d-1)\tilde{\alpha }\omega }{C}{\left(\frac{{{\rm{\Omega }}}_{d-2}C}{4S}\right)}^{\frac{d-3+\omega (d-1)}{(d-2)}}-\left.\frac{2\tilde{a}}{(d-2)C}{\left(\frac{{{\rm{\Omega }}}_{d-2}C}{4S}\right)}^{\frac{d-4}{(d-2)}}\right].\end{array}\end{eqnarray}$
If S, $\tilde{Q}$, C, $\tilde{\alpha }$, $\tilde{a}$ are rescaled as $S\to \lambda S,\tilde{Q}\to \lambda $ $\tilde{Q}$, C → λC, $\tilde{\alpha }\to \lambda \tilde{\alpha }$, $\tilde{a}\to \lambda \tilde{a}$, equation (3.1) tells us that M will also rescale as M → λM, while equations (3.2) and (2.13) indicate that T, $\tilde{{\rm{\Phi }}}$, $\tilde{A}$, $\tilde{B}$, μ will not get rescaled. Thus, the first-order homogeneity of M and the zeroth-order homogeneity of T, $\tilde{{\rm{\Phi }}}$, $\tilde{A}$, $\tilde{B}$, μ are crystal clear. Please note that the zeroth-order homogeneous functions are, by definition, intensive.
We will also study phase transitions induced by the presence of the black hole’s electric charge, as in the original formulation of black hole chemistry. The critical quantities are defined by the saddle points of our thermodynamic functions. In this case, it will be convenient to study the T = T(S) that is found in equation (3.2) and to solve the following system:
$\begin{eqnarray}{\left(\frac{\partial T}{\partial S}\right)}_{\tilde{Q},C,\tilde{\alpha },\tilde{a}}={\left(\frac{{\partial }^{2}T}{\partial {S}^{2}}\right)}_{\tilde{Q},C,\tilde{\alpha },\tilde{a}}=0.\end{eqnarray}$
From equation (3.3), the critical point is characterized by the following equation:
$\begin{eqnarray}\begin{array}{rcl}0 & = & -(d-3)+\frac{(2d-5)32{\pi }^{2}{\tilde{Q}}^{2}{S}^{-2(d-3)/(d-2)}}{(d-2){{\rm{\Omega }}}_{d-2}^{2/(d-2)}{C}^{2}}{\left(\frac{C}{4}\right)}^{\frac{2(d-3)}{(d-2)}}+\,(d-1){S}^{2/(d-2)}{\left(\frac{4}{{{\rm{\Omega }}}_{d-2}C}\right)}^{2/(d-2)}\\ & & -\,[d-2+\omega (d-1)]\frac{(d-1)\tilde{\alpha }\omega }{C}{S}^{-\frac{(d-3)+\omega (d-1)}{(d-2)}}{\left(\frac{{{\rm{\Omega }}}_{d-2}C}{4}\right)}^{\frac{d-3+\omega (d-1)}{(d-2)}}+\,\frac{(d-3)2\tilde{a}{S}^{-\frac{d-4}{(d-2)}}}{(d-2)C}{\left(\frac{{{\rm{\Omega }}}_{d-2}C}{4}\right)}^{\frac{d-4}{(d-2)}},\\ 0 & = & (d-1)(d-3)-\,\frac{(2d-5)(3d-7)32{\pi }^{2}{\tilde{Q}}^{2}{S}^{-2(d-3)/(d-2)}}{(d-2){{\rm{\Omega }}}_{d-2}^{2/(d-2)}{C}^{2}}{\left(\frac{C}{4}\right)}^{\frac{2(d-3)}{(d-2)}}-(d-1)(d-3){S}^{2/(d-2)}{\left(\frac{4}{{{\rm{\Omega }}}_{d-2}C}\right)}^{2/(d-2)}\\ & & +\,[d-2+\omega (d-1)][2(d-2)+\omega (d-1)]\frac{(d-1)\tilde{\alpha }\omega }{C}{S}^{-\frac{(d-3)+\omega (d-1)}{(d-2)}}{\left(\frac{{{\rm{\Omega }}}_{d-2}C}{4}\right)}^{\frac{d-3+\omega (d-1)}{(d-2)}}\\ & & -\,\frac{(d-3)(2d-5)2\tilde{a}{S}^{-\frac{d-4}{(d-2)}}}{(d-2)C}{\left(\frac{{{\rm{\Omega }}}_{d-2}C}{4}\right)}^{\frac{d-4}{(d-2)}}.\end{array}\end{eqnarray}$

3.1. In the canonical ensemble

3.1.1. When $\omega =-\frac{d-2}{d-1}$ and d = 4

The critical point satisfies the equation:
$\begin{eqnarray}\begin{array}{l}-(d-3)+\frac{(2d-5)32{\pi }^{2}{\bar{Q}}^{2}}{(d-2){{\rm{\Omega }}}_{d-2}^{2/(d-2)}}{\left(\frac{1}{4\bar{S}}\right)}^{\frac{2(d-3)}{(d-2)}}+\,(d-1){\left(\frac{4\bar{S}}{{{\rm{\Omega }}}_{d-2}}\right)}^{2/(d-2)}+\,\frac{(d-3)2\bar{a}}{(d-2)}{\left(\frac{{{\rm{\Omega }}}_{d-2}}{4\bar{S}}\right)}^{\frac{d-4}{(d-2)}}=0,\\ (d-1)(d-3)-\frac{(2d-5)(3d-7)32{\pi }^{2}{\bar{Q}}^{2}}{(d-2){{\rm{\Omega }}}_{d-2}^{2/(d-2)}}{\left(\frac{1}{4\bar{S}}\right)}^{\frac{2(d-3)}{(d-2)}}-(d-1)(d-3){\left(\frac{4\bar{S}}{{{\rm{\Omega }}}_{d-2}}\right)}^{2/(d-2)}-\frac{(d-3)(2d-5)2\bar{a}}{(d-2)}{\left(\frac{{{\rm{\Omega }}}_{d-2}}{4\bar{S}}\right)}^{\frac{d-4}{(d-2)}}=0.\end{array}\end{eqnarray}$
Then, when d = 4, the critical thermodynamics become:
$\begin{eqnarray}\begin{array}{rcl}{S}_{c} & = & \frac{\pi C}{6}\left(1-\frac{\tilde{a}}{C}\right),{\tilde{Q}}_{c}^{2}=\frac{{C}^{2}}{36}{\left(1-\frac{\tilde{a}}{C}\right)}^{2},\\ {\bar{S}}_{c} & = & \frac{\pi }{6}\left(1-\bar{a}\right),{\bar{Q}}_{c}^{2}=\frac{1}{36}{\left(1-\bar{a}\right)}^{2},\\ {T}_{c} & = & \frac{1}{2\pi L}{\left(\frac{6}{\left(1-\bar{a}\right)}\right)}^{1/2}\,\left[\frac{2}{3}\left(1-\bar{a}\right)-\bar{\alpha }{\left(\frac{1}{6}\left(1-\bar{a}\right)\right)}^{\frac{1}{2}}\right].\end{array}\end{eqnarray}$
Here, $\bar{\alpha }=\frac{\tilde{\alpha }}{C}$, $\bar{a}=\frac{\tilde{a}}{C}$, $\bar{Q}=\frac{\tilde{Q}}{C}$. When $\bar{S}{S}_{c}=\bar{S}\frac{\pi C}{6}\left(1-\frac{\tilde{a}}{C}\right)=S$, ${\bar{Q}}^{2}{\tilde{Q}}_{c}^{2}={\bar{Q}}^{2}\frac{{C}^{2}}{36}{\left(1-\frac{\tilde{a}}{C}\right)}^{2}={\tilde{Q}}^{2}$, the radiant temperature of spacetime is defined as follows:
$\begin{eqnarray}T=\frac{1}{4\pi L}{\left(\frac{6}{\bar{S}\left(1-\bar{a}\right)}\right)}^{1/2}\left[1-\bar{a}-\frac{{\bar{Q}}^{2}}{6\bar{S}}\left(1-\bar{a}\right)\right.\left.+\frac{\bar{S}}{2}\left(1-\bar{a}\right)-2\bar{\alpha }{\left(\frac{\bar{S}}{6}\left(1-\bar{a}\right)\right)}^{1/2}\right].\end{eqnarray}$
For convenience, with equations (3.1) and (3.2) we introduce the Helmholtz free energy $F=M-TS\,\equiv F(T,\,S,\,\tilde{Q},\,C,\,\tilde{a},\,\tilde{\alpha }$) and the relative parameter of free energy f = F/Fc with ${F}_{c}\,=F({T}_{c},\,{S}_{c},\,{\tilde{Q}}_{c},\,C,\,\tilde{a},\,\tilde{\alpha }$). To construct the thermodynamical topology, we also introduce the relative parameter s = S/Sc, and the vector field mapping φ: $X=\left.(s,\theta )\right|0\lt s\lt \infty ,\,0\lt \theta \lt \pi \to {{\mathbb{R}}}^{2}$ is defined as [5759]:
$\begin{eqnarray}\phi (s,\theta )=\left(\frac{\partial f}{\partial s},-\cot \theta \csc \theta \right).\end{eqnarray}$
The s becomes the first parameter of the domain of the φ mapping when it is used to characterize the AdS black hole. And another parameter θ serves as an auxiliary function that is utilized to construct the second component of the mapping. The component φθ is divergent at θ =0,π; thus, the direction of the vector points outward there. Obviously, the zero point of φ corresponds to the black hole with the temperature of τ = T−1 as θ = π/2. Therefore, the zero point of the mapping can be used to characterize the black hole solution with a given parameter τ.
Using Duan’s φ-mapping topological current theory [47, 60, 61], a topological current can be described as follows:
$\begin{eqnarray}{j}^{\mu }=\frac{1}{2\pi }{\,\rm{e}\,}^{\mu \nu \rho }{\varepsilon }_{ab}{\partial }_{\nu }{n}^{a}{\partial }_{\rho }{n}^{b}.\end{eqnarray}$
The unit vector n reads as n = (nsnθ), where ${n}^{s}={\phi }^{s}/\parallel \phi \parallel $ and ${n}^{\theta }={\phi }^{\theta }/\parallel \phi \parallel $. It is obvious that the current jμ is identically conserved: ∂μjμ = 0. It transpires that the topological current jμ is of a delta function of the field configuration [60, 61]:
$\begin{eqnarray}{j}^{\mu }={\delta }^{2}(\mathop{\phi }\limits^{\rightharpoonup }){J}^{\mu }\left(\frac{\phi }{x}\right),\end{eqnarray}$
where the 3−dimensional Jacobian ${J}^{\mu }\left(\frac{\phi }{x}\right)$ is defined as: ${\varepsilon }^{ab}{J}^{\mu }\left(\frac{\phi }{x}\right)={\varepsilon }^{\mu \nu \rho }{\partial }_{\nu }{\phi }^{a}{\partial }_{\rho }{\phi }^{b}$. It is simple to indicate that jμ equals zero only when φa(xi) = 0. Then, a topological number in a parameter region Σ is calculated as:
$\begin{eqnarray}W={\int }_{{\rm{\Sigma }}}{j}^{0}{\,\rm{d}\,}^{2}x=\displaystyle \sum _{i=1}^{\bar{N}}{\beta }_{i}{\eta }_{i}=\displaystyle \sum _{i=1}^{\bar{N}}{w}_{i},\end{eqnarray}$
where ${j}^{0}={\sum }_{i=1}^{\bar{N}}{\beta }_{i}{\eta }_{i}{\delta }^{2}(\overrightarrow{x}-{\overrightarrow{z}}_{i})$ is the density of the current. Here, βi is the Hopf index, which counts the number of the loops that φa makes in the vector φ space when xμ goes around the zero point zi. Clearly, this index is always positive. Meanwhile, ${\eta }_{i}={\rm{sign}}{J}^{0}{(\phi /x)}_{{z}_{i}}=\pm 1$ is the Brouwer degree, wi is the winding number for the ith zero point of the vector in the region and its values are independent of the shape of the region. The black holes can be treated as thermodynamic topological defects and the local topological properties of the spacetime can be reflected by the winding numbers at the defects; meanwhile, the global topological nature can be classified by the topological number, which is the sum of all local winding numbers. The corresponding winding number of the local stable black hole is +1, while it is −1 for the local unstable black hole. The zero points are determined by the expression of φs = 0. So we have:
$\begin{eqnarray}\frac{1}{\tau }=\frac{{(1-\bar{a})}^{1/2}\left(1-\frac{{\bar{Q}}^{2}}{6\bar{S}}+\frac{\bar{S}}{2}\right)-2\bar{\alpha }{\left(\frac{\bar{S}}{6}\right)}^{1/2}}{2{\bar{S}}^{1/2}\left[\frac{2}{3}{\left(1-\bar{a}\right)}^{1/2}-\bar{\alpha }{\left(\frac{1}{6}\right)}^{12}\right]}.\end{eqnarray}$
It is obvious that there are two extremes:
$\begin{eqnarray}{\tau }_{\min ,\max }=\frac{\frac{2}{3}{(1-\bar{a})}^{1/2}-\bar{\alpha }{\left(\frac{1}{6}\right)}^{\frac{1}{2}}}{\frac{{(1-\bar{a})}^{1/2}(3* (1\mp \sqrt{1-{\bar{Q}}^{2}})-{\bar{Q}}^{2})}{3* (1\mp \sqrt{1-{\bar{Q}}^{2}})}-\bar{\alpha }{\left(\frac{1}{6}\right)}^{\frac{1}{2}}}.\end{eqnarray}$
As Q = 1, ${\tau }_{\max }={\tau }_{\min }={\tau }_{c}=1$. Note that the generation point satisfies the constraint conditions $\frac{\partial \tau }{\partial \bar{S}}=0$, $\frac{{\partial }^{2}\tau }{\partial {\bar{S}}^{2}}\gt 0$, and the annihilation point obeys the conditions $\frac{\partial \tau }{\partial \bar{S}}=0$, $\frac{{\partial }^{2}\tau }{\partial {\bar{S}}^{2}}\lt 0$. The zero points of ${\phi }^{\bar{S}}$ in the diagram of $\bar{S}-\tau $ for the HRN-AdSQ black hole in the canonical ensemble when $\omega =-\frac{d-2}{d-1}$ and d = 4 are displayed in figure 1. Here, ${\tau }_{\min }$ is related to the generation point, and ${\tau }_{\max }$ is of the annihilation point. There are three intersection points for the HRN-AdSQ black hole as ${\tau }_{\min }\lt \tau \lt {\tau }_{\max }$, and for $\tau ={\tau }_{\min ,\max }$, the three intersection points coincide. As delineated in Du’s article [62], there are also three states for the HRN-AdSQ black hole in the canonical ensemble, which are the stable (low-potential), unstable (intermediate-potential), and stable (high-potential) black hole states. The corresponding winding numbers are +1, −1, +1 respectively; therefore, the topological number of the HRN-AdSQ black hole in the canonical ensemble when $\omega =-\frac{d-2}{d-1}$ and d = 4 is W = 1 − 1 + 1 = 1. When $\tau \lt {\tau }_{\min }$ or $\tau \gt {\tau }_{\max }$, the three-branch black holes reduce to the one stable black hole and the topological number is still one. These results are consistent with those in [63].
Figure 1. (a)–(c) The zero points of ${\phi }^{\bar{S}}$ in the diagram of $\bar{S}$-τ for the HRN-AdSQ black hole in the canonical ensemble with different values of the parameters $\bar{a}$, $\bar{\alpha }$ and Q2. ($\omega =-\frac{d-2}{d-1},d=4.)$
As shown in figure 1, the effects of varying parameters $\bar{a}$, $\bar{\alpha }$ and Q2 on the $\bar{S}-\tau $ curves can be clearly observed. It has been demonstrated that as the charge Q2 in spacetime increases, the interval between high and low potentials concomitantly increases for the same value of τ. Specifically, the region of first-order phase transition is increasing. However, the two parameters $\bar{a}$ and $\bar{\alpha }$ have little effect on $\bar{S}-\tau $ curves.

3.1.2. When d = 4 and ω ≠ − 2/3

From equation (3.4), the critical point satisfies the equation as [64]:
$\begin{eqnarray}\begin{array}{l}-1+\frac{3\times 32{\pi }^{2}{\tilde{Q}}^{2}}{8\pi {C}^{2}S}\left(\frac{C}{4}\right)+3S\left(\frac{1}{\pi C}\right)-[2+3\omega ]\frac{3\tilde{\alpha }\omega }{C}{S}^{-\frac{1+3\omega }{2}}{\left(\pi C\right)}^{\frac{1+3\omega }{2}}+\frac{\tilde{a}}{C}=0,\\ \,3-\frac{3\times 5\times 32{\pi }^{2}{\tilde{Q}}^{2}}{8\pi {C}^{2}S}\left(\frac{C}{4}\right)-3S\left(\frac{1}{\pi C}\right)+[2+3\omega ][4+3\omega ]\frac{3\tilde{\alpha }\omega }{C}{S}^{-\frac{1+3\omega }{2}}{\left(\pi C\right)}^{\frac{1+3\omega }{2}}-\frac{3\tilde{a}}{C}=0,\end{array}\end{eqnarray}$
$\begin{eqnarray}\frac{3\pi {\tilde{Q}}^{2}(1-3\omega )}{CS(1+3\omega )}=-\left(1-\frac{\tilde{a}}{C}\right)-\frac{3S}{\pi C}.\end{eqnarray}$
Then, we can obtain:
$\begin{eqnarray}\begin{array}{l}\omega =-\frac{3}{4},{Q}_{c}^{2}=\frac{5{C}^{2}}{12\times 13}{\left(1-\frac{\tilde{a}}{C}\right)}^{2},\,{S}_{c}=\frac{\pi C}{6}\left(1-\frac{\tilde{a}}{C}\right),\\ \omega =-\frac{5}{6},{Q}_{c}^{2}=\frac{{C}^{2}}{28}{\left(1-\frac{\tilde{a}}{C}\right)}^{2},\,{S}_{c}=\frac{\pi C}{6}\left(1-\frac{\tilde{a}}{C}\right).\end{array}\end{eqnarray}$
When $\omega =-\frac{3}{4},\,-\frac{5}{6}$, the critical temperatures are, respectively [65]:
$\begin{eqnarray}{T}_{c}\left(\omega =-\frac{3}{4}\right)=\frac{1}{4\pi L}{\left(\frac{6}{\left(1-\bar{a}\right)}\right)}^{1/2}\left[(1-\bar{a})-\frac{5}{2\times 13}\left(1-\bar{a}\right)+\frac{\left(1-\bar{a}\right)}{2}-\frac{9\bar{\alpha }}{4}{\left(\frac{\left(1-\bar{a}\right)}{6}\right)}^{\frac{5}{8}}\right],\end{eqnarray}$
$\begin{eqnarray}\displaystyle {T}_{c}\left(\omega =-\frac{5}{6}\right)=\frac{1}{4\pi L}{\left(\frac{6}{\left(1-\bar{a}\right)}\right)}^{1/2}\left[\left(1-\bar{a}\right)-\frac{3}{14}\left(1-\bar{a}\right)+\frac{\left(1-\bar{a}\right)}{2}+\,-\frac{5\bar{\alpha }}{2}{\left(\frac{\left(1-\bar{a}\right)}{6}\right)}^{\frac{3}{4}}\right].\end{eqnarray}$
Hence, for ω = $-\frac{3}{4}$, we have
$\begin{eqnarray}\begin{array}{l}t\left(\omega =-\frac{3}{4}\right)=\frac{T}{{T}_{c}}=\frac{{\left(\frac{\pi C}{S}\right)}^{1/2}\left[1-\bar{a}-\frac{4\pi {\tilde{Q}}^{2}}{{C}^{2}}\left(\frac{C}{4S}\right)+3\left(\frac{S}{\pi C}\right)-\frac{9\bar{\alpha }}{4}{\left(\frac{S}{\pi C}\right)}^{\frac{5}{8}}\right]}{{\left(\frac{6}{\left(1-\bar{a}\right)}\right)}^{1/2}\left[1-\bar{a}-\frac{5}{2\times 13}\left(1-\bar{a}\right)+\frac{\left(1-\bar{a}\right)}{2}-\frac{9\bar{\alpha }}{4}{\left(\frac{\left(1-\bar{a}\right)}{6}\right)}^{58}\right]}.\end{array}\end{eqnarray}$
The zero points of ${\phi }^{\bar{S}}$ in the diagram of $\bar{S}-\tau $ with varying parameters $\bar{a}$, $\bar{\alpha }$ and Q2 can be plotted as figure 2 by substituting $\bar{S}{S}_{c}=\bar{S}\frac{\pi C}{6}\left(1-\bar{a}\right)=S$, ${\bar{Q}}^{2}{\tilde{Q}}_{c}^{2}={\bar{Q}}^{2}\frac{5{C}^{2}}{12\times 13}{\left(1-\bar{a}\right)}^{2}={\tilde{Q}}^{2}$ into equation (3.18a).
Then, for ω = $-\frac{5}{6}$, we have:
$\begin{eqnarray}\displaystyle t\left(\omega =-\frac{5}{6}\right)=\frac{T}{{T}_{c}}=\frac{{\left(\frac{\pi C}{S}\right)}^{1/2}\left[1-\bar{a}-\frac{4\pi {\tilde{Q}}^{2}}{{C}^{2}}\left(\frac{C}{4S}\right)+3\left(\frac{S}{\pi C}\right)-\frac{5\bar{\alpha }}{2}{\left(\frac{S}{\pi C}\right)}^{\frac{3}{4}}\right]}{{\left(\frac{6}{\left(1-\bar{a}\right)}\right)}^{1/2}\left[\left(1-\bar{a}\right)-\frac{3}{14}\left(1-\bar{a}\right)+\frac{\left(1-\bar{a}\right)}{2}+-\frac{5\bar{\alpha }}{2}{\left(\frac{\left(1-\bar{a}\right)}{6}\right)}^{34}\right]}.\end{eqnarray}$
Figure 2. (a)–(c) The zero points of ${\phi }^{\bar{S}}$ in the diagram of $\bar{S}-\tau $ for the HRN-AdSQ black hole in the canonical ensemble with different values of the parameters $\bar{a}$, $\bar{\alpha }$ and Q2. ($d=4,\,\omega =-\frac{3}{4}.)$
The zero points of ${\phi }^{\bar{S}}$ in the diagram of $\bar{S}-\tau $ with varying parameters $\bar{a}$, $\bar{\alpha }$ and Q2 can be plotted in figure 3 by substituting $\bar{S}{S}_{c}=\bar{S}\frac{\pi C}{6}\left(1-\bar{a}\right)=S$, ${\bar{Q}}^{2}{\tilde{Q}}_{c}^{2}={\bar{Q}}^{2}\frac{{C}^{2}}{28}{\left(1-\bar{a}\right)}^{2}={\tilde{Q}}^{2}$ into equation (3.18b).
Figure 3. (a)–(c) The zero points of ${\phi }^{\bar{S}}$ in the diagram of $\bar{S}-\tau $ for the HRN-AdSQ black hole in the canonical ensemble with different values of the parameters $\bar{a}$, $\bar{\alpha }$ and Q2. ($d=4,\,\omega =-\frac{5}{6}.)$
Furthermore, the zero points of ${\phi }^{\bar{S}}$ in the diagram of $\bar{S}-\tau $ for the HRN-AdSQ black hole in the canonical ensemble are derived as shown in figure 4 with different values of ω and the fixed parameters d = 4, $\bar{a}=0.01$, $\bar{\alpha }=0.01$ and Q2 = 0.16.
Figure 4. The zero points of ${\phi }^{\bar{S}}$ in the diagram of $\bar{S}$-τ for the HRN-AdSQ black hole in the canonical ensemble with different values of parameter ω. (d = 4, ω=$-\frac{2}{3},-\frac{3}{4},-\frac{5}{6}.$)
As illustrated in figure 4, the phase transition is shown as a function of ω for the spacetime dimension d = 4, with the specified parameters $\bar{a}$, $\bar{\alpha }$ and Q2. It is evident that the values of ${\tau }_{\max }$ increase, while ${\tau }_{\min }$ decreases in magnitude with increasing ω. Hence, the intervals of ${\tau }_{\min }\lt \tau \lt {\tau }_{\max }$ increase with increasing ω. Specifically, the first-order phase transition interval of the black hole increases with the increase in ω.

3.1.3. When $\omega =-\frac{d-2}{d-1}$ and d = 5, 6

The critical point satisfies the equation:
$\begin{eqnarray}\begin{array}{l}-(d-3)(3d-7)+(d-1)(d-3)+{\left(\frac{4\bar{S}}{{{\rm{\Omega }}}_{d-2}}\right)}^{2/(d-2)}[(d-1)(3d-7)-(d-1)(d-3)]\\ \,+\,\frac{2\bar{a}}{(d-2)}{\left(\frac{{{\rm{\Omega }}}_{d-2}}{4\bar{S}}\right)}^{\frac{d-4}{(d-2)}}[(d-3)(3d-7)-(d-3)(2d-5)]=0,\\ \,-\,{(d-3)}^{2}+(d-1)(d-2){\left(\frac{4\bar{S}}{{{\rm{\Omega }}}_{d-2}}\right)}^{2/(d-2)}+\bar{a}(d-3){\left(\frac{{{\rm{\Omega }}}_{d-2}}{4\bar{S}}\right)}^{\frac{d-4}{(d-2)}}=0.\end{array}\end{eqnarray}$
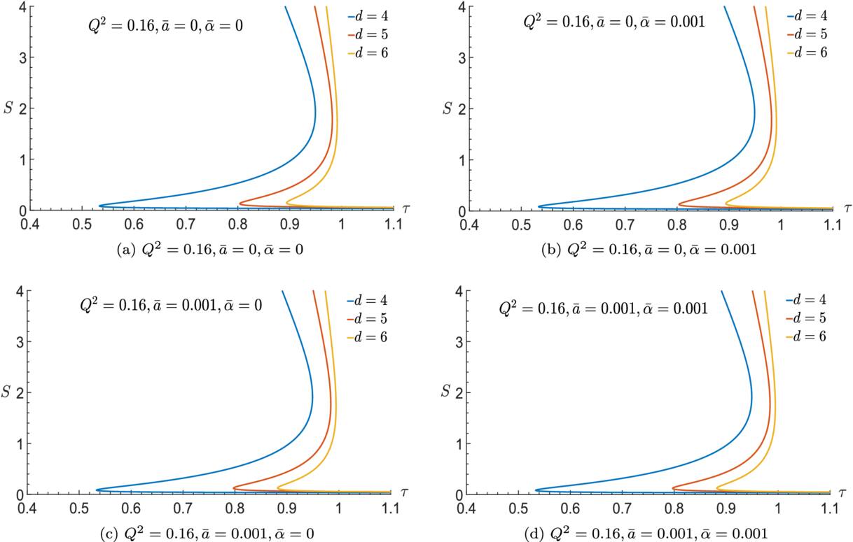
From equation (3.19), we can deduce that the critical value is independent of $\bar{\alpha }$. Setting ${\bar{Q}}^{2}={Q}^{2}{y}_{c}\frac{{{\rm{\Omega }}}_{d-2}^{2}}{{\pi }^{2}}$, $\bar{S}={x}_{c}\frac{{{\rm{\Omega }}}_{d-2}}{4}S$, the critical value is obtained in a variety of dimensions d. When $\bar{a}=0$, the critical values for d = 5 are xc = 0.192447; yc = 0.0014, and for d = 6 are xc = 0.202497; yc = 0.0012. Whereas when $\bar{a}$ =0.001, the critical values for d = 5 are xc = 0.192197; yc = 0.0013, and for d = 6 are xc = 0.202197; yc = 9.8215 × 10−4. The critical temperature Tc of the corresponding parameters can be calculated from the resulting xc and yc. Thus, the zero points of φS in the diagram of S − τ can be plotted for different dimensions d, as shown in figure 5.
Figure 5. (a)–(d) The zero points of φS in the diagram of S − τ for the HRN-AdSQ black hole in the canonical ensemble with different dimensions d (d = 4, 5, 6).
As demonstrated in figure 5, the impact of dimension d on the S-τ curve is more pronounced under identical spacetime constraints. Firstly, it is evident that the interval of ${\tau }_{\min }\lt \tau \lt {\tau }_{\max }$ decreases in proportion to the increase in dimension d. Secondly, it is observed that near the annihilation point ($\tau ={\tau }_{\max }$), the value of $\left|\frac{\partial S}{\partial \tau }\right|$ increases as dimension d increases. When $\tau ={\tau }_{\max }-{\rm{\Delta }}\tau $, the increasing dimension d results in an enhancement of the distance between the high and low potentials for a constant Δτ, thereby leading to an expansion of the two-phase coexistence region. Furthermore, it can be demonstrated that the values of $\bar{a}$ and $\bar{\alpha }$ have no effect on the generalization laws of the S − τ curve in the canonical ensemble.
The zero points of the mapping φ can be calculated by φS = 0. In figures 15, we can see that there are three states as ${\tau }_{\min }\lt \tau \lt {\tau }_{\max }$; this means the existence of a phase transition in the region of ${\tau }_{\min }\lt \tau \lt {\tau }_{\max }$. The three states are stable (low-potential), unstable (intermediate-potential), and stable (high-potential) black hole states, and the relative winding number is +1, −1, +1, respectively. That is, the topological number of the HRN-AdSQ black hole in a canonical ensemble is always W = +1 −1  + 1 = 1 for the multiple different parameters and higher dimensions. Finally, it is important to note that its topological properties are unaffected by these parameters in a canonical ensemble. These results are consistent with those of RN-AdS black holes [63].

3.2. In the grand canonical ensemble

Now we proceed to investigate the topology of the HRN-AdSQ black hole in the grand canonical ensemble.

3.2.1. When $\omega =-\frac{d-2}{d-1}$ and d = 4

The potential of the black hole is:
$\begin{eqnarray}\displaystyle \tilde{{\rm{\Phi }}}={\left(\frac{\partial M}{\partial \tilde{Q}}\right)}_{S,C,\tilde{\alpha },\tilde{a}}={\left(\frac{C}{4S}\right)}^{(d-3)/(d-2)}\frac{4\pi \tilde{Q}}{{L}^{d-3}C(d-3){{\rm{\Omega }}}_{d-2}^{1/(d-2)}}={\left(\frac{C}{4S}\right)}^{1/2}\frac{2\sqrt{\pi }\tilde{Q}}{LC},\tilde{Q}=\frac{{\rm{\Phi }}LC}{2\sqrt{\pi }}{\left(\frac{4S}{C}\right)}^{1/2},\end{eqnarray}$
when
$\begin{eqnarray}\bar{S}{S}_{{\rm{e}}{\rm{x}}{\rm{t}}{\rm{r}}}=\bar{S}\frac{\pi C}{6}\left(1-\frac{\tilde{a}}{C}\right)=S,{\bar{{\rm{\Phi }}}}^{2}{{\rm{\Phi }}}_{{\rm{e}}{\rm{x}}{\rm{t}}{\rm{r}}}^{2}={\bar{{\rm{\Phi }}}}^{2}\frac{\left(1-\bar{a}\right)}{6{L}^{2}}={{\rm{\Phi }}}^{2}.\end{eqnarray}$
Here, ${S}_{{\rm{e}}{\rm{x}}{\rm{t}}{\rm{r}}}=\frac{\pi C}{6}\left(1-\frac{\tilde{a}}{C}\right)$, ${{\rm{\Phi }}}_{{\rm{e}}{\rm{x}}{\rm{t}}{\rm{r}}}^{2}=\frac{\left(1-\bar{a}\right)}{6{L}^{2}}$. Then, the zero points are determined by the expression of φs = 0, so we have:
$\begin{eqnarray}\frac{1}{\tau }=\frac{T}{{T}_{c}}=\frac{\left[{(1-\bar{a})}^{1/2}\left(1-\frac{{\bar{{\rm{\Phi }}}}^{2}}{6}+\frac{\bar{S}}{2}\right)-2\bar{\alpha }{\left(\frac{\bar{S}}{6}\right)}^{1/2}\right]}{2{\bar{S}}^{1/2}\left[\frac{2}{3}{\left(1-\bar{a}\right)}^{1/2}-\bar{\alpha }{\left(\frac{1}{6}\right)}^{12}\right]}.\end{eqnarray}$
It is obvious that there is one extreme, when $\bar{S}=2-\frac{{\bar{{\rm{\Phi }}}}^{2}}{3}$, the extreme is:
$\begin{eqnarray}\displaystyle {\tau }_{{\rm{e}}{\rm{x}}{\rm{t}}{\rm{r}}}=\frac{2{\bar{S}}^{1/2}\left[\frac{2}{3}{\left(1-\bar{a}\right)}^{1/2}-\bar{\alpha }{\left(\frac{1}{6}\right)}^{\frac{1}{2}}\right]}{\left[{(1-\bar{a})}^{1/2}\left(1-\frac{{\bar{{\rm{\Phi }}}}^{2}}{6}+\frac{\bar{S}}{2}\right)-2\bar{\alpha }{\left(\frac{\bar{S}}{6}\right)}^{1/2}\right]}=\frac{{2}^{3/2}{\left(1-\frac{{\bar{{\rm{\Phi }}}}^{2}}{6}\right)}^{1/2}\left[\frac{2}{3}{\left(1-\bar{a}\right)}^{1/2}-\bar{\alpha }{\left(\frac{1}{6}\right)}^{\frac{1}{2}}\right]}{\left[2{(1-\bar{a})}^{1/2}\left(1-\frac{{\bar{{\rm{\Phi }}}}^{2}}{6}\right)-2\bar{\alpha }{\left(\frac{1}{3}\left(1-\frac{{\bar{{\rm{\Phi }}}}^{2}}{6}\right)\right)}^{1/2}\right]}.\end{eqnarray}$
Thus, the zero points of ${\phi }^{\bar{S}}$ in the diagram of $\bar{S}-\tau $ with varying parameters $\bar{a}$, $\bar{\alpha }$ and ${\overline{{\rm{\Phi }}}}^{2}$ in the grand ensemble are displayed in figure 6. Here, τextr is related to the annihilation point. As τ < τextr, there are two intersection points for the HRN-AdSQ black hole in the grand canonical ensemble. They correspond to the stable (low-potential) and unstable (high-potential) black hole states, respectively, as demonstrated in Du’s article [62]. The corresponding winding numbers are +1 and −1; therefore, the topological number when $\omega =-\frac{d-2}{d-1}$ and d = 4 is W = 1 − 1 = 0 as τ < τextr. For τ = τextr, the two intersection points for the HRN-AdSQ black hole coincide. Furthermore, there is no black hole as τ > τextr.
Figure 6. (a)–(b) The zero points of ${\phi }^{\bar{S}}$ in the diagram of $\bar{S}$-τ for the HRN-AdSQ black hole in the grand canonical ensemble with different values of the parameters $\bar{a}$, $\bar{\alpha }$ and ${\overline{{\rm{\Phi }}}}^{2}$. ($d=4,\,\omega =-\frac{d-2}{d-1}.)$
As illustrated in figure 6, the impact of parameters $\bar{a}$, $\bar{\alpha }$ and ${\overline{{\rm{\Phi }}}}^{2}$ on the zero points of φS in the diagram of $\bar{S}-\tau $ for the grand canonical ensemble appears to be analogous to their effects in the canonical ensemble.

3.2.2. When d = 4 and ω ≠ − 2/3

From equation (3.4), the critical point τ = τextr satisfies the equation:
$\begin{eqnarray}\begin{array}{l}\omega =-\frac{3}{4},{\tilde{Q}}_{{\rm{e}}{\rm{x}}{\rm{t}}{\rm{r}}}^{2}=\frac{5{C}^{2}}{12\times 13}{\left(1-\frac{\tilde{a}}{C}\right)}^{2},{S}_{{\rm{e}}{\rm{x}}{\rm{t}}{\rm{r}}}=\frac{\pi C}{6}\left(1-\frac{\tilde{a}}{C}\right),\,{\tilde{{\rm{\Phi }}}}_{{\rm{e}}{\rm{x}}{\rm{t}}{\rm{r}}}^{2}=\frac{15}{13\times 6{L}^{2}}\left(1-\frac{\tilde{a}}{C}\right),\\ \omega =-\frac{5}{6},{\tilde{Q}}_{{\rm{e}}{\rm{x}}{\rm{t}}{\rm{r}}}^{2}=\frac{{C}^{2}}{28}{\left(1-\frac{\tilde{a}}{C}\right)}^{2},{S}_{{\rm{e}}{\rm{x}}{\rm{t}}{\rm{r}}}=\frac{\pi C}{6}\left(1-\frac{\tilde{a}}{C}\right),\,{{\rm{\Phi }}}_{{\rm{e}}{\rm{x}}{\rm{t}}{\rm{r}}}^{2}=\frac{3}{14{L}^{2}}\left(1-\frac{\tilde{a}}{C}\right).\end{array}\end{eqnarray}$
When ω = $-\frac{3}{4},\,-\frac{5}{6}$, the temperatures at the critical points τ = τextr are, respectively:
$\begin{eqnarray}\begin{array}{l}{T}_{{\rm{e}}{\rm{x}}{\rm{t}}{\rm{r}}}(\omega =-\frac{3}{4})=\frac{1}{4\pi L}{\left(\frac{6}{\left(1-\bar{a}\right)}\right)}^{1/2}\left[1-\bar{a}-\frac{5}{2\times 13}\left(1-\bar{a}\right)+\frac{\left(1-\bar{a}\right)}{2}-\frac{9\bar{\alpha }}{4}{\left(\frac{\left(1-\bar{a}\right)}{6}\right)}^{\frac{5}{8}}\right],\\ {T}_{{\rm{e}}{\rm{x}}{\rm{t}}{\rm{r}}}(\omega =-\frac{5}{6})=\frac{1}{4\pi L}{\left(\frac{6}{\left(1-\bar{a}\right)}\right)}^{1/2}\left[\left(1-\bar{a}\right)-\frac{3}{14}\left(1-\bar{a}\right)+\frac{\left(1-\bar{a}\right)}{2}+-\frac{5\bar{\alpha }}{2}{\left(\frac{\left(1-\bar{a}\right)}{6}\right)}^{\frac{3}{4}}\right].\end{array}\end{eqnarray}$
Hence, for ω = −$\frac{3}{4}$, we have:
$\begin{eqnarray}\displaystyle t\left(\omega =-\frac{3}{4}\right)=\frac{T}{{T}_{{\rm{extr}}}}=\frac{{\left(\frac{\pi C}{S}\right)}^{1/2}\left[1-\bar{a}-\frac{4\pi {\tilde{Q}}^{2}}{{C}^{2}}\left(\frac{C}{4S}\right)+3\left(\frac{S}{\pi C}\right)-\frac{9\bar{\alpha }}{4}{\left(\frac{S}{\pi C}\right)}^{\frac{5}{8}}\right]}{{\left(\frac{6}{\left(1-\bar{a}\right)}\right)}^{1/2}\left[1-\bar{a}-\frac{5}{2\times 13}\left(1-\bar{a}\right)+\frac{\left(1-\bar{a}\right)}{2}-\frac{9\bar{\alpha }}{4}{\left(\frac{\left(1-\bar{a}\right)}{6}\right)}^{58}\right]}.\end{eqnarray}$
The zero points of ${\phi }^{\bar{S}}$ in the diagram of $\bar{S}-\tau $ with varying parameters $\bar{a}$, $\bar{\alpha }$ and ${\overline{{\rm{\Phi }}}}^{2}$ can be plotted as shown in figure 7 by substituting $\bar{S}{S}_{{\rm{e}}{\rm{x}}{\rm{t}}{\rm{r}}}=\bar{S}\frac{\pi C}{6}\left(1-\bar{a}\right)=S$, ${\bar{{\rm{\Phi }}}}^{2}{{\rm{\Phi }}}_{{\rm{e}}{\rm{x}}{\rm{t}}{\rm{r}}}^{2}={\bar{{\rm{\Phi }}}}^{2}\frac{15}{13\times 6{L}^{2}}\left(1-\bar{a}\right)={{\rm{\Phi }}}^{2}$ into equation (3.26a).
Then, for ω = −$\frac{5}{6}$, we have:
$\begin{eqnarray}t\left(\omega =-\frac{5}{6}\right)=\frac{T}{{T}_{{\rm{extr}}}}=\frac{{\left(\frac{\pi C}{S}\right)}^{1/2}\left[1-\bar{a}-\frac{4\pi {\tilde{Q}}^{2}}{{C}^{2}}\left(\frac{C}{4S}\right)+3\left(\frac{S}{\pi C}\right)-\frac{5\bar{\alpha }}{2}{\left(\frac{S}{\pi C}\right)}^{\frac{3}{4}}\right]}{{\left(\frac{6}{\left(1-\bar{a}\right)}\right)}^{1/2}\left[\left(1-\bar{a}\right)-\frac{3}{14}\left(1-\bar{a}\right)+\frac{\left(1-\bar{a}\right)}{2}+-\frac{5\bar{\alpha }}{2}{\left(\frac{\left(1-\bar{a}\right)}{6}\right)}^{34}\right]}.\end{eqnarray}$
Figure 7. (a)–(c) The zero points of ${\phi }^{\bar{S}}$ in the diagram of $\bar{S}$-τ for the HRN-AdSQ black hole in the grand canonical ensemble with different values of the parameters $\bar{a}$, $\bar{\alpha }$ and ${\overline{{\rm{\Phi }}}}^{2}$. (d = 4, $\omega =-\frac{3}{4}.)$
The zero points of ${\phi }^{\bar{S}}$ in the diagram of $\bar{S}-\tau $ with varying parameters $\bar{a}$, $\bar{\alpha }$ and ${\overline{{\rm{\Phi }}}}^{2}$ can be plotted as shown in figure 8 by substituting $\bar{S}{S}_{{\rm{e}}{\rm{x}}{\rm{t}}{\rm{r}}}=\bar{S}\frac{\pi C}{6}\left(1-\bar{a}\right)=S$, ${\bar{{\rm{\Phi }}}}^{2}{{\rm{\Phi }}}_{{\rm{e}}{\rm{x}}{\rm{t}}{\rm{r}}}^{2}={\bar{{\rm{\Phi }}}}^{2}\frac{3}{14{L}^{2}}\left(1-\bar{a}\right)={{\rm{\Phi }}}^{2}$ into equation (3.26b).
Figure 8. (a)–(c) The zero points of ${\phi }^{\bar{S}}$ in the diagram of $\bar{S}$-τ for the HRN-AdSQ black hole in the grand canonical ensemble with different values of the parameters $\bar{a}$, $\bar{\alpha }$ and ${\overline{{\rm{\Phi }}}}^{2}$. ($d=4,\,\omega =-\frac{5}{6}.)$
To conclude, the zero points of ${\phi }^{\bar{S}}$ in the diagram of $\bar{S}-\tau $ for the HRN-AdSQ black hole in the grand canonical ensemble are plotted as shown in figure 9 for varying values of ω, while maintaining fixed values of d = 4, $\bar{a}=0.01$, $\bar{\alpha }=0.01$ and ${\overline{{\rm{\Phi }}}}^{2}=0.9$.
Figure 9. The zero points of ${\phi }^{\bar{S}}$ in the diagram of $\bar{S}$-τ for the HRN-AdSQ black hole in the grand canonical ensemble with different values of parameter ω (d = 4, $\omega =-\frac{2}{3},-\frac{3}{4},-\frac{5}{6}$).
As illustrated in figure 9, the zero points of ${\phi }^{\bar{S}}$ in the diagram of $\bar{S}-\tau $ for the HRN-AdSQ black hole in the grand canonical ensemble are shown as a function of ω for the spacetime dimension d = 4, with specified parameters $\bar{a}$, $\bar{\alpha }$ and ${\overline{{\rm{\Phi }}}}^{2}$. It is evident that the values of τextr decrease with the decreasing ω.

3.2.3. When $\omega =-\frac{d-2}{d-1}$ and d = 5, 6

According to equation (3.3), when $\bar{S}=x\frac{{{\rm{\Omega }}}_{d-2}}{4}$, ${\bar{Q}}^{2}={{\rm{\Phi }}}^{2}\frac{{L}^{2}\bar{S}}{\pi }$, ${{\rm{\Phi }}}_{{\rm{e}}{\rm{x}}{\rm{t}}{\rm{r}}}^{2}={y}_{{\rm{e}}{\rm{x}}{\rm{t}}{\rm{r}}}\frac{{{\rm{\Omega }}}_{d-2}}{{L}^{2}}$, as is also the case with the analytical methods in the canonical ensemble. When $\bar{a}=0$, the critical values for d = 5 are xextr = 0.192447; yextr = 0.0092, and for d = 6 are xextr = 0.202497; yextr = 0.0077. Whereas when $\bar{a}=0.001$, the critical values for d = 5 are xextr = 0.192197; yextr = 0.0092, and for d = 6 are xextr = 0.202197; yextr = 0.0077. Setting ${\bar{{\rm{\Phi }}}}^{2}={y}_{{\rm{e}}{\rm{x}}{\rm{t}}{\rm{r}}}\frac{{{\rm{\Omega }}}_{d-2}}{{L}^{2}}{{\rm{\Phi }}}^{2}$, $\bar{S}={x}_{{\rm{extr}}}\frac{{{\rm{\Omega }}}_{d-2}}{4}S$, then the zero points of φS in the diagram of S-τ can be plotted for different $\bar{a}$, $\bar{\alpha }$ and d, as shown in figure 10.
Figure 10. (a)–(d) The zero points of φS in the diagram of S − τ for the HRN-AdSQ black hole in the grand canonical ensemble with different dimensions d (d = 4, 5, 6).
The zero points of ${\phi }^{\bar{S}}$ in the diagram of $\bar{S}-\tau $(S-τ) in the grand canonical ensemble with multiple related parameters, including $\bar{a}$, $\bar{\alpha }$, ${\overline{{\rm{\Phi }}}}^{2}$, ω and dimension d, are displayed in figures 610. As demonstrated in these figures, it is evident that all the specified parameters exert an influence on the $\bar{S}-\tau $(S-τ) curve in the grand canonical ensemble. However, there are always two states, including stable (low-potential) and unstable (high-potential) black hole states; as τ < τextr, the corresponding winding numbers are +1 and −1, respectively. Specifically, the topological number of the HRN-AdSQ black hole in the grand canonical ensemble is always W = 1−1 = 0 for the multiple different parameters and higher dimensions. And most importantly, its topological properties are unaffected by these parameters in the grand canonical ensemble.

4. Discussion and conclusions

In this work, under the restricted phase space frame we investigated the thermodynamical topology of the HRN-AdSQ black hole. We analyzed the effects of varying parameters of spacetime and the higher dimension d on the zero points of ${\phi }^{\bar{S}}$ in the diagram of $\bar{S}-\tau \,(S-\tau $). As demonstrated in section 3, the multiple spacetime parameters have an influence on the $\bar{S}-\tau \,(S-\tau $) curve; however, they do not exert an influence on the topological number of the spacetime. In addition, the dimension d has no effect on the topology. It can thus be concluded that these topological numbers are universal constants that are independent of the specific parameters of black holes. It is imperative to acknowledge their significance in elucidating the fundamental nature of black holes and gravity. Furthermore, these observations may provide new insights for the development of quantum gravity theory. It is important to acknowledge that the topological number of a black hole is contingent on the external environment in which it is located. That is, the environment is the canonical ensemble of only energy exchange between the black hole and the outside world, or the grand canonical ensemble of both energy exchange and particle exchange between the black hole and the outside world. Specifically, when classifying the thermodynamic properties of black holes according to the topological number, it is necessary to take into account the external environment in which the spacetime is located.

We would like to thank Prof. Ren Zhao for his indispensable discussions and comments. This work was supported by the Natural Science Foundation of Shanxi Province (202303021211180) and the Program of State Key Laboratory of Quantum Optics and Quantum Optics Devices (KF202403).

1
Letelier P S 1979 Clouds of strings in general relativity Phys. Rev. D 20 1294 1302

DOI

2
Letelier P S 1981 Fluids of strings in general relativity II Nuovo Cim. B 63 519 528

DOI

3
Letelier P S 1983 String cosmologies Phys. Rev. D 28 2414

DOI

4
Kubizňák D, Mann R B 2012 P-V criticality of charged AdS black holes J. High Energy Phys. JHEP07(2012)033

DOI

5
Cai R G, Cao L M, Li L, Yang R Q 2013 P-V criticality in the extended phase space of Gauss–Bonnet black holes in AdS space J. High Energy Phys. JHEP09(2013)005

DOI

6
Cai R G, Ruan S M, Wang S J, Yang R Q, Peng R H 2016 Complexity growth for AdS black holes J. High Energy Phys. JHEP09(2016)161

DOI

7
Mann R B 2024 Recent developments in holographic black hole chemistry J. Holography Appl. Phys. 4 1 26

DOI

8
Yang J Y, Mann R B 2023 Dynamic behaviours of black hole phase transitions near quadruple points J. High Energy Phys. JHEP08(2023)028

DOI

9
Ma Y B, Cao R Z S 2016 Q-Phi criticality in the extended phase space of (n + 1)-dimensional RN–AdS black holes Eur. Phys. J. C 76 669

DOI

10
Zhao R, Zhao H H, Ma M S, Zhang L C 2013 On the critical phenomena and thermodynamics of charged topological dilaton AdS black holes Eur. Phys. J. C 73 2645

DOI

11
Zhang J L, Cai R G, Yu H W 2015 Phase transition and thermodynamical geometry of Reissner–Nordström–AdS black holes in extended phase space Phys. Rev. D 91 044028

DOI

12
Wei S W, Zhang Y P, Liu Y X, Mann R B 2023 Static spheres around spherically symmetric black hole spacetime Phys. Rev. Res. 5 043050

DOI

13
Wei S W, Liu Y X, Mann R B 2019 Repulsive interactions and universal properties of charged Anti-de Sitter black hole microstructures Phys. Rev. Lett. 123 071103

DOI

14
Du Y Z, Li H F, Zhao R 2022 Overview of thermodynamic properties for Reissner–Nordstrom–de Sitter spacetime in induced phase space Eur. Phys. J. C 82 859

DOI

15
Du Y Z, Li H F, Liu F, Zhang L C 2023 Photon orbits and phase transition for non-Linear charged Anti-de Sitter black holes J. High Energy Phys. JHEP01(2023)137

DOI

16
Goon G, Penco R 2020 Universal relation between corrections to entropy and extremality Phys. Rev. Lett. 124 101103

DOI

17
Ko J, Gwak B 2024 Universality on thermodynamic relation with corrections in de Sitter black holes J. High Energy Phys. JHEP03(2024)072

DOI

18
Simovic F, Mann R B 2019 Critical phenomena of Born–Infeld–de Sitter black holes in cavities J. High Energy Phys. JHEP05(2019)136

DOI

19
Haroon S, Hennigar R A, Mann R B, Simovic F 2020 Thermodynamics of Gauss–Bonnet–de Sitter black holes Phys. Rev. D 101 084051

DOI

20
Dolan B P, Kastor D, Kubizňák D, Mann R B, Traschen J 2013 Thermodynamic volumes and isoperimetric inequalities for de Sitter black holes Phys. Rev. D 87 104017

DOI

21
Bhattacharya S 2016 A note on entropy of de Sitter black holes Eur. Phys. J. C 76 112

DOI

22
Wei S W, Liu Y X 2024 Thermodynamic nature of black holes in coexistence region Sci. China Phys. Mesh. Astron. 67 250412

DOI

23
Ma Y B, Zhang Y, Zhang L C, Wu L, Gao Y, Pan Y 2021 Phase transition and entropic force of de Sitter black hole in massive gravity Eur. Phys. J. C 81 22

DOI

24
Ma Y B, Zhang Y, Zhang L C, Wu L, Huang Y M, Pan Y 2020 Thermodynamic properties of higher-dimensional dS black holes in dRGT massive gravity Eur. Phys. J. C 80 213

DOI

25
Dolan B P, Kostouki A, Kubizňák D, Mann R B 2014 Isolated critical point from Lovelock gravity Class. Quant. Grav. 31 242001

DOI

26
Wei S W, Cheng P, Liu Y X 2016 Analytical and exact critical phenomena of d-dimensional singly spinning Kerr–AdS black holes Phys. Rev. D 93 084015

DOI

27
Hennigar R A, Mann R B, Tjoa E 2017 Superfluid black holes Phys. Rev. Lett. 118 021301

DOI

28
Hendi S H, Li G Q, Mo J X, Panahiyan S, Panah B E 2016 New perspective for black hole thermodynamics in Gauss–Bonnet–Born–Infeld massive gravity Eur. Phys. J. C 76 571

DOI

29
Hendi S H, Mann R B, Panahiyan S, Panah B E 2017 Van der Waals like behaviour of topological AdS black holes in massive gravity Phys. Rev. D 95 021501

DOI

30
Momeni D, Faizal M, Myrzakulov K, Myrzakulov R 2017 Fidelity susceptibility as holographic PV-criticality Phys. Lett. B 765 154

DOI

31
Chakraborty S, Padmanabhan T 2015 Thermodynamical interpretation of the geometrical variables associated with null surfaces Phys. Rev. D 92 104011

DOI

32
Wei S W, Liu Y X 2015 Phys. Insight into the microscopic structure of an AdS black hole from thermodynamical phase transition Rev. Lett. 115 111302

DOI

33
Kubizňák D, Mann R B, Teo M 2017 Black hole chemistry: thermodynamics with Lambda Class. Quant. Grav. 34 063001

DOI

34
Visser M R 2022 Holographic thermodynamics requires a chemical potential for color Phys. Rev. D 105 106014

DOI

35
Maldacena J M 1999 The large N limit of superconformal field theories and supergravity Int. J. Theor. Phys. 38 1113 1133

DOI

36
Gao Z Y, Kong X Q, Zhao L Z 2022 Thermodynamics of Kerr–AdS black holes in the restricted phase space Eur. Phys. J. C 82 112

DOI

37
Ali M S, Ghosh S G, Wang A 2023 Thermodynamics of Kerr–Sen–AdS black holes in the restricted phase space Phys. Rev. D 108 044045

DOI

38
Awal M B, Phukon P 2024 Restricted phase space thermodynamics of nonlinear electrodynamics-Anti-de Sitter black holes Prog. Theor. Exp. Phys. 113E01

DOI

39
Ladghami Y, Asfour B, Bouali A, Errahmani A, Ouali T 2023 4D-EGB black holes in RPS thermodynamics Phys. Dark Univ. 41 101261

DOI

40
Du Y Z, Li H F, Zhang Y, Zhou X N, Zhao J X 2023 Restricted phase space thermodynamics of Einstein–Power–Yang–Mills AdS black hole Entropy 25 687

DOI

41
Sadeghi J, Shokri M, Gashti S, Alipour N 2022 RPS thermodynamics of Taub-NUT AdS black holes in the presence of central charge and the weak gravity conjecture Gen. Rel. Grav. 54 129

DOI

42
Kong X, Zhang Z, Zhao L 2023 Restricted phase space thermodynamics of charged AdS black holes in conformal gravity Chin. Phys. C 47 095105

DOI

43
Kong X, Wang T, Gao Z, Zha L 2022 Restricted phased space thermodynamics for black holes in higher dimensions and higher curvature gravities Entropy 24 1131

DOI

44
Ahmed M B, Cong W, Kubizňák D, Mann R B, Visser M R 2023 Holographic dual of extended black hole thermodynamics Phys. Rev. Lett. 130 181401

DOI

45
Gao Z Y, Zhao L 2022 Restricted phase space thermodynamics for AdS black holes via holography Class. Quantum Grav. 39 075019

DOI

46
Wei S W, Liu Y X, Mann R B 2022 Black hole solutions as topological thermodynamics defects Phys. Rev. Lett. 129 191101

DOI

47
Duan Y S, Ge M L 1979 SU(2) gauge theory and electrodynamics with N magnetic monopoles Sci. Sinica 9 1072 1081

DOI

48
Wu D, Liu W T, Wu S Q, Mann R B 2025 Novel topological classes in black hole thermodynamics Phys. Rev. D 111 L061501

DOI

49
Gashti S N, Afshar M A S, Alipoury M R, Sekhmani Y, Sadeghi J, Rayimbaeva J 2025 Thermodynamic topology of Kiselev–AdS black holes within f(R, T) gravity Chin. Phys. C 49 3

DOI

50
Jeon I, Lee B H, Lee W, Mishra M 2025 Stability and topological nature of charged Gauss–Bonnet AdS black holes in five dimensions Phys. Rev. D 111 064006

DOI

51
Chabab M, Iraoui S 2020 Thermodynamic criticality of d-dimensional charged AdS black holes surrounded by quintessence with a cloud of strings background Gen. Rel. Grav. 52 75

DOI

52
Toledo J M, Bezerra V B 2018 Black holes with cloud of strings and quintessence in Lovelock gravity Eur. Phys. J. C 78 534

DOI

53
Gunasekaran S, Mann R B, Kubizňák D 2012 Extended phase space thermodynamics for charged and rotating black holes and Born–Infeld vacuum polarization J. High Energy Phys. JHEP11(2012)110

DOI

54
Lobo I P, Graca J P M, Capossoli E F, Filho H B 2022 A varying gravitational constant map in asymptotically AdS black hole thermodynamics Phys. Lett. B 835 137559

DOI

55
Wang T, Zhang Z Q, Kong X Q, Zhao L 2023 Topological black holes in Einstein–Maxwell and 4D conformal gravities revisited Nucl. Phys. B 995 116352

DOI

56
Baruah A, Phukon P 2025 CFT phase transitions analysis of charged, rotating black holes in D = 4: a holographic thermodynamics approach Phys. Rev. D 111 066022

DOI

57
Wei S W 2020 Topological charge and black hole photon spheres Phys. Rev. D 102 064039

DOI

58
Wei S W, Liu Y X 2022 Topology of black hole thermodynamics Phys. Rev. D 105 104003

DOI

59
Wu D 2023 Consistent thermodynamics and topological classes for the four-dimensional Lorentzian charged Taub-NUT spacetimes Eur. Phys. J. C 83 589

DOI

60
Duan Y S, Li S, Yang G H 1998 The bifurcation theory of the Gauss–Bonnet–Chern topological current and Morse function Nucl. Phys. B 514 705

DOI

61
Fu L B, Duan Y S, Zhang H 2000 Evolution of the Chern–Simons vortices Phys. Rev. D 61 045004

DOI

62
Wang H, Du Y Z 2024 Topology of charged AdS black hole in restricted phase space Chin. Phys. C 48 095109

DOI

63
Fan Z Y 2023 Topological interpretation for phase transitions of black holes Phys. Rev. D 107 044026

DOI

64
Sadeghi J, Gashti S N, Alipour M R, Afshar M A S 2024 Thermodynamic topology of quantum corrected AdS–Reissner–Nordstrom black holes in Kiselev spacetime Chin. Phys. C 48 115115

DOI

65
Graca J P M, Capossoli E F, Filho H B, Lobo I P 2023 Joule-Thomson expansion for quantum corrected AdS–Reissner–Nordstrom black holes in Kiselev spacetime Phys. Rev. D 107 024045

DOI

Outlines

/