1. Introduction
2. Basic methods and concepts
2.1. Generating long-range correlated noises
2.2. The discretized schemes of (1+1)-dimensional KPZ equation
2.3. Skewness and kurtosis of statistical distribution
3. Numerical results and discussions
3.1. The KPZ equation with long-range temporal correlation
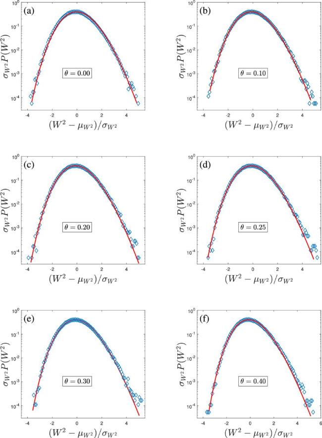
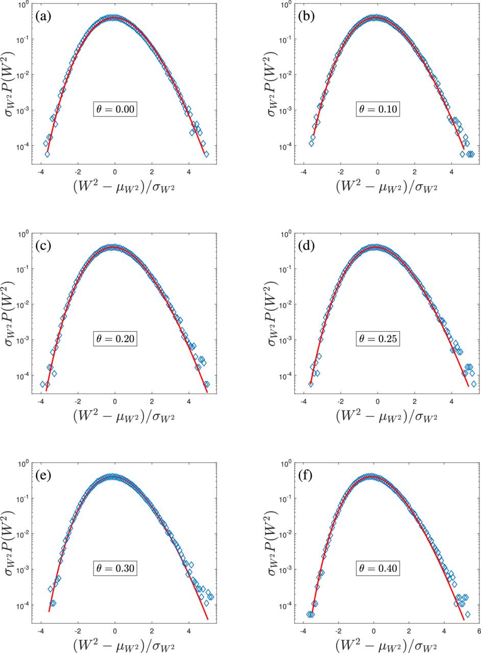
Figure 1. The rescaled distributions for W2(L, t) in the temporally correlated KPZ equation with different θ: (a) θ = 0.00, (b) θ = 0.10, (c) θ = 0.20, (d) θ = 0.25, (e) θ = 0.30, (f) θ = 0.40. Here, ${\mu }_{{W}^{2}}$ and ${\sigma }_{{W}^{2}}$ are the mean value and standard deviation of W2(L, t), respectively. All data are averaged over 105 independent realizations. Comparison with lognormal distribution (red solid line) is provided correspondingly. |
Figure 2. The rescaled distributions for the interface height in the temporally correlated KPZ equation with different θ: (a) θ = 0.00, (b) θ = 0.10, (c) θ = 0.20, (d) θ = 0.25, (e) θ = 0.30, (f) θ = 0.40. Here, μh and σh are the mean value and standard deviation of the interface height, respectively. Comparisons with TW-GOE (blue dash line) and Gaussian distribution (green dash–dot line) are provided correspondingly. |
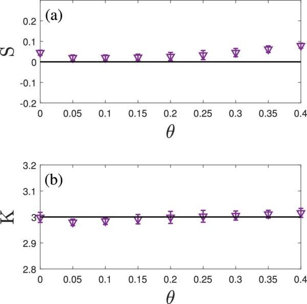
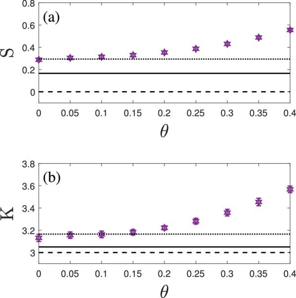
Figure 3. The estimated values of (a) skewness S and (b) kurtosis K with error bars for probability distributions of the logarithm of the squared interface width for KPZ model with long-range temporal correlation. The Gaussian distribution values (solid lines) are provided for quantitative comparison. |
Figure 4. The estimated values of (a) skewness S and (b) kurtosis K with error bars for height distributions for the KPZ model with long-range temporal correlation. The TW-GOE values (dotted lines), TW-GSE values (solid lines) and Gaussian distribution values (dash lines) are provided for quantitative comparison. |
Figure 5. The Q–Q plots of simulation data of the squared interface width for the temporally correlated KPZ equation versus lognormal distribution with different θ. |
3.2. The KPZ equation with long-range spatial correlation
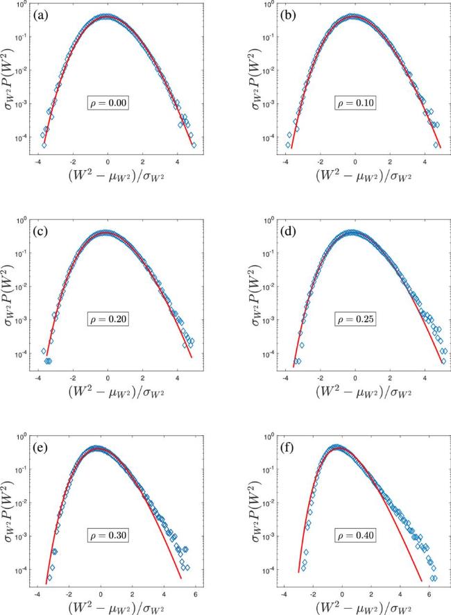
Figure 6. The rescaled distributions for W2(L, t) in the spatially correlated KPZ system with different ρ: (a) ρ = 0.00, (b) ρ = 0.10, (c) ρ = 0.20, (d) ρ = 0.25, (e) ρ = 0.30, (f) ρ = 0.40. Here, ${\mu }_{{W}^{2}}$ and ${\sigma }_{{W}^{2}}$ represent the mean value and standard deviation of W2, respectively. All data are averaged over 105 independent realizations. Comparison with lognormal distribution (red solid line) is provided correspondingly. |
Figure 7. The rescaled distributions for the interface height in the spatially correlated KPZ system with different ρ. Here μh and σh are the mean value and standard deviation of the interface height, respectively. All parameters chosen here are the same as those in figure 6. The suitable distributions are provided for comparison: TW-GOE (blue dash line) and Gaussian distribution (green dash–dot line). |
Figure 8. The estimated values of (a) skewness S and (b) kurtosis K with error bars for probability distributions of the logarithm of the squared interface width W2(L, t) (purple downward-pointing triangle) in the spatially correlated KPZ system with different ρ, which compare quantitatively with the Gaussian distribution values (solid lines). |
Figure 9. The estimated values of (a) skewness S and (b) kurtosis K with error bars for height distributions for the KPZ model with long-range spatial correlation. The TW-GOE values (dotted lines), the TW-GSE values (solid lines) and the Gaussian distribution values (dash lines) are provided for quantitative comparison. |
Figure 10. The Q–Q plots of simulation data of the squared interface width for the spatially correlated KPZ equation versus lognormal distribution with different ρ. |


