Welcome to visit Communications in Theoretical Physics,
Statistical Physics, Soft Matter and Biophysics

Quantum coherence and thermodynamic performance of an Otto heat engine using a pair of dipole-coupled two-level atoms

  • Hao Wang , *
Expand
  • Shanghai Normal University Tianhua College, Shanghai 201815, China

Author to whom any correspondence should be addressed.

Received date: 2025-06-17

  Revised date: 2025-08-13

  Accepted date: 2025-08-14

  Online published: 2025-11-06

Supported by

University-Industry Collaborative Education Program(220506627183928)

Copyright

© 2025 Institute of Theoretical Physics CAS, Chinese Physical Society and IOP Publishing. All rights, including for text and data mining, AI training, and similar technologies, are reserved.
This article is available under the terms of the IOP-Standard License.

Abstract

We developed a model of a quantum Otto engine using two coupled two-level atoms. Based on the platform, we show that frequency detuning and the coupling strength induced by dipole-dipole interactions can lead to decoherence by disrupting coherent energy exchange. We focus on fundamental thermodynamic quantities, including heat absorption, release to heat baths, work done and efficiency. It is noteworthy that the interatomic coupling strength and frequency detuning do not merely affect the shape of the work and the efficiency but ultimately govern its quantitative magnitude. In the field of quantum thermodynamics, we have established an upper bound efficiency that is stricter than the Carnot limit. Moreover, our analysis confirms that quantum coherence enables the system to exceed the efficiency threshold of a classical Otto heat engine. The second law of thermodynamics holds all the while. Our results constitute a step forward in the design of conceptually new quantum thermodynamic devices which take advantage of uniquely quantum resources of quantum coherence.

Cite this article

Hao Wang . Quantum coherence and thermodynamic performance of an Otto heat engine using a pair of dipole-coupled two-level atoms[J]. Communications in Theoretical Physics, 2026 , 78(1) : 015604 . DOI: 10.1088/1572-9494/adfb53

1. Introduction

In recent years, there has been expanding attention toward quantum thermodynamic research through quantum resources. Quantum resource theories (QRT) [1] provide a rigorous and general framework to study various and different quantum phenomena in quantum mechanics. With the advancement of quantum information technology, quantum resources including quantum coherence [24] and quantum correlations [57], along with quantum control strategies, have emerged as a prominent research focus in quantum thermodynamics. In addition to the quantum resources, many other quantum traits and strategies such as the environmental memory effect (non-Markovianity) [8, 9] and noise-induced interference within shared environments [10, 11] have been demonstrated to thermodynamics.
Quantum coherence and correlations have been extensively applied in quantum technologies to achieve various schemes that are otherwise unfeasible only by means of classical resources. It was shown that the coherence and correlation can be exploited to improve the performance and/or the power of thermal machines [12], to enhance work extraction from a quantum system [13] and to increase the system’s thermalization temperature [14]. It is emphasized that quantum coherence rather than quantum correlations can reflect the effects of the reservoir on the system’s work capability effectively [15, 16]. The role of coherences and correlations in Landauer’s Principle have also been studied [17, 18]. Subsequently, extensive research has focused on the utilization of quantum coherence and quantum correlations in optimizing the design and performance of quantum thermal devices [19], facilitating work extraction processes [20], and elevating the operational thermalization temperature thresholds in quantum systems [21, 22].
Due to the well-known advantages of quantum over conventional computers, it is natural to wonder whether coherence effects might be able to enhance thermal machines similarly. The phenomenon of quantum coherence was systematically examined through a theoretical investigation of the photo-Carnot engine [23], a thermodynamic framework featuring a working medium constituted by a four-level quantum system. Pioneering research conducted by Scully et al established that operational efficiency enhancement could be attained through non-equilibrium state preparation facilitated by coherent thermal reservoirs, with the realized efficiency exceeding the classical Carnot thermodynamic efficiency limit [24]. The advantage of quantum coherence in driving engines has been experimentally realized in the platform of nitrogen vacancy centers in diamond [25]. Most recently the thermodynamic effects of quantum coherence have attracted much attention as a promising candidate for designing thermal machines. Many interesting investigations have been performed in various systems and models, such as quantum optical systems including microwave cavities [26], ion traps [27], optical lattices [28], optomechanical systems [29], and biological systems [30]. Nevertheless, how to quantify the role of quantum coherence in thermodynamics with a general approach remains an open problem, despite substantial progress through case-specific investigations [31, 32].
The fundamental significance of quantum coherences in the realm of quantum thermodynamics has been garnered through a growing number of practical applications including quantum thermal machines. Study of coupled quantum systems as quantum heat engines is an interesting research area. The quantum systems with quantum coherence are generally served as the working substance of quantum engines or thermodynamic cycles, i.e., the coherence come from the working substance of quantum engines. Coherence in system-bath interactions that originates from the interference may enhance the power [33, 34] and efficiency [35]. So far, many quantum coherence effects have been studied in continuously working bosonic devices [3336]. Notably, coupled systems as heat engine [3739], heat pump [40], and multitask thermal machine can be driven by pure quantum coherence [41]. It has been shown that appropriate coupling can increase the efficiency of the system compared to the uncoupled model [42, 43].
Motivated by recent advancements in experimental techniques for the manipulation of single or few-body quantum systems [44], a thermodynamic description of microscale and nanoscale phenomena has been attracting a huge deal of attention [45]. The dipole-dipole interaction (DDI) between atoms is one of the most important features for the many-atom system. It is the cause of the van der Waals attraction which plays a considerable role in various chemical physics processes [4648]. In fact, the dipole-dipole interaction (DDI) can profoundly affect the light absorption characteristics and lead to a shift of the atomic energy levels [49]. In recent years, substantial progress has been made on solid materials [50, 51] and ultracold atoms [52, 53]. Motivated by these works, the present work is an attempt to use a pair of a system of two dipole-dipole coupled two-level atoms in a cavity as working substance for the quantum Otto cycle.
The remainder of the paper is structured as follows. In section 2, we present the model of two coupled two-level atoms system and obtain the eigenvalues and corresponding eigenstates. In section 3, we introduce the general QOE theories. In section 4, we study the relation between thermodynamics and quantum coherence. In section 5, we provide a discussion of the results. In section 6, we analysis the relations between local and global efficiency. Finally, some conclusions are given.

2. Description of physical model

We consider a pair of two-level atoms labeled A and B with ground states $\left|g\right\rangle $ and excited states $\left|e\right\rangle $ (see figure 1). The Hamiltonian for the total system reads [54, 55]
$\begin{eqnarray}\begin{array}{r}\hat{{ \mathcal H }}\,=\,\frac{\hslash }{2}\left({\omega }_{{\rm{A}}}{\hat{\sigma }}_{{\rm{A}}}^{z}\displaystyle \otimes {\hat{\sigma }}_{0}+{\omega }_{{\rm{B}}}{\hat{\sigma }}_{0}\displaystyle \otimes {\hat{\sigma }}_{{\rm{B}}}^{z}\right)\\ \,+\,\hslash {\rm{\Omega }}\left({\hat{\sigma }}_{{\rm{A}}}^{-}\displaystyle \otimes {\hat{\sigma }}_{{\rm{B}}}^{+}+{\hat{\sigma }}_{{\rm{A}}}^{+}\displaystyle \otimes {\hat{\sigma }}_{{\rm{B}}}^{-}\right),\end{array}\end{eqnarray}$
where ${\hat{\sigma }}_{i}^{z}=\left|{e}_{i}\right\rangle \left\langle {e}_{i}\right|-\left|{g}_{i}\right\rangle \left\langle {g}_{i}\right|$ is the energy operator, ${\hat{\sigma }}_{i}^{+}=\left|{e}_{i}\right\rangle \left\langle {g}_{i}\right|$ and ${\hat{\sigma }}_{i}^{-}=\left|{g}_{i}\right\rangle \left\langle {e}_{i}\right|$ are the dipole raising and lowering operators, ωi is the atomic transition frequency of the ith $\left(i={\rm{A}},{\rm{B}}\right)$ atom. The second term represents the dipole-dipole Van der Waals coupling between the atoms and Ω is the coupling constant of the dipole interaction.
Figure 1. Schematic energy level diagram of two coupled two-level atoms in thermal equilibrium and the equivalent four-level system. Here label $g\left(e\right)$ indicates ground (excited) state.
In the basis of the product states $\left\{\left|ee\right\rangle ,\left|eg\right\rangle ,\left|ge\right\rangle ,\left|gg\right\rangle \right\}$, the Hamiltonian (1) can be written in a matrix form as
$\begin{eqnarray}\hat{{ \mathcal H }}=\left(\begin{array}{cccc}{ \mathcal G } & 0 & 0 & 0\\ 0 & {\rm{\Delta }} & {\rm{\Omega }} & 0\\ 0 & {\rm{\Omega }} & -{\rm{\Delta }} & 0\\ 0 & 0 & 0 & -{ \mathcal G }\end{array}\right),\end{eqnarray}$
where ${ \mathcal G }=\frac{\hslash }{2}\left({\omega }_{{\rm{A}}}+{\omega }_{{\rm{B}}}\right)$ represents the average frequency of atomic transition frequencies, and ${\rm{\Delta }}=\frac{\hslash }{2}\left({\omega }_{{\rm{A}}}-{\omega }_{{\rm{B}}}\right)$ denotes the frequency detuning arising from dipole-dipole interactions.
The eigenvalues can be readily evaluated as
$\begin{eqnarray}\begin{array}{l}{E}_{1}={ \mathcal G },\\ {E}_{2}=\sqrt{{{\rm{\Delta }}}^{2}+{{\rm{\Omega }}}^{2}},\\ {E}_{3}=-\sqrt{{{\rm{\Delta }}}^{2}+{{\rm{\Omega }}}^{2}},\\ {E}_{4}=-{ \mathcal G },\end{array}\end{eqnarray}$
and the corresponding eigenvectors are given by
$\begin{eqnarray}\begin{array}{l}\left|{\psi }_{1}\right\rangle =\left|ee\right\rangle ,\\ \left|{\psi }_{2}\right\rangle =\frac{1}{\sqrt{1+{\eta }_{+}^{2}}}\left({\eta }_{+}\left|ge\right\rangle +\left|eg\right\rangle \right),\\ \left|{\psi }_{3}\right\rangle =\frac{1}{\sqrt{1+{\eta }_{-}^{2}}}\left({\eta }_{-}\left|ge\right\rangle +\left|eg\right\rangle \right),\\ \left|{\psi }_{4}\right\rangle =\left|gg\right\rangle ,\end{array}\end{eqnarray}$
with ${\eta }_{\pm }=\frac{{\rm{\Delta }}\pm \sqrt{{{\rm{\Delta }}}^{2}+{{\rm{\Omega }}}^{2}}}{{\rm{\Omega }}}$.

3. General quantum Otto engine

We study the QOE operating under a four-stroke cycle. This cycle is composed of two quantum isochoric processes (stages 1 and 3) and two quantum adiabatic processes (stages 2 and 4). The working substance interacts with a cold (hot) reservoir at temperature ${{ \mathcal T }}_{{\rm{l}}}\left({{ \mathcal T }}_{{\rm{h}}}\right)$. We will consider that the dipole-dipole interaction coupling strength Ω is kept constant throughout the cycle. The thermodynamic cycle is shown in figure 1 and proceeds is described as follows.
Stage 1: Quantum isochoric process (hot bath stage). The system prepared in the initial state is connected to a hot thermal reservoir at temperature ${{ \mathcal T }}_{{\rm{h}}}$ until it reaches thermal equilibrium with average frequency ${{ \mathcal G }}_{{\rm{h}}}$. In the isochoric process, the population of the four discrete level is changing from the population pil, (i = 1, 2, 3, 4) to the population pih, (i = 1, 2, 3, 4) and only heat is transferred to yield a change in the occupation probabilities, and there is no change in the values of the energy levels.
$\begin{eqnarray}\begin{array}{l}{p}_{1{\rm{h}}}=\frac{1}{{Z}_{{\rm{h}}}}{\rm{\exp }}\left(-{\beta }_{{\rm{h}}}{{ \mathcal G }}_{{\rm{h}}}\right),{p}_{2{\rm{h}}}=\frac{1}{{Z}_{{\rm{h}}}}{\rm{\exp }}\left(-{\beta }_{{\rm{h}}}\sqrt{{{\rm{\Delta }}}^{2}+{{\rm{\Omega }}}^{2}}\right),\\ {p}_{3{\rm{h}}}=\frac{1}{{Z}_{{\rm{h}}}}{\rm{\exp }}\left({\beta }_{{\rm{h}}}\sqrt{{{\rm{\Delta }}}^{2}+{{\rm{\Omega }}}^{2}}\right),{p}_{4{\rm{h}}}=\frac{1}{{Z}_{{\rm{h}}}}{\rm{\exp }}\left({\beta }_{{\rm{h}}}{{ \mathcal G }}_{{\rm{h}}}\right),\end{array}\end{eqnarray}$
and
$\begin{eqnarray}\begin{array}{l}{p}_{1{\rm{l}}}=\frac{1}{{Z}_{{\rm{l}}}}{\rm{\exp }}\left(-{\beta }_{{\rm{l}}}{{ \mathcal G }}_{l}\right),{p}_{2{\rm{l}}}=\frac{1}{{Z}_{l}}{\rm{\exp }}\left(-{\beta }_{{\rm{l}}}\sqrt{{{\rm{\Delta }}}^{2}+{{\rm{\Omega }}}^{2}}\right),\\ {p}_{3{\rm{l}}}=\frac{1}{{Z}_{{\rm{l}}}}{\rm{\exp }}\left({\beta }_{{\rm{l}}}\sqrt{{{\rm{\Delta }}}^{2}+{{\rm{\Omega }}}^{2}}\right),{p}_{4{\rm{l}}}=\frac{1}{{Z}_{{\rm{l}}}}{\rm{\exp }}\left({\beta }_{{\rm{l}}}{{ \mathcal G }}_{{\rm{l}}}\right),\end{array}\end{eqnarray}$
where
$\begin{eqnarray}{{ \mathcal Z }}_{{\rm{h}}}=2\left[\cosh \left({\beta }_{{\rm{h}}}{{ \mathcal G }}_{{\rm{h}}}\right)+\cosh \left({\beta }_{{\rm{h}}}\sqrt{{{\rm{\Delta }}}^{2}+{{\rm{\Omega }}}^{2}}\right)\right],\end{eqnarray}$
and
$\begin{eqnarray}{{ \mathcal Z }}_{{\rm{l}}}=2\left[\cosh \left({\beta }_{{\rm{l}}}{{ \mathcal G }}_{{\rm{l}}}\right)+\cosh \left({\beta }_{{\rm{l}}}\sqrt{{{\rm{\Delta }}}^{2}+{{\rm{\Omega }}}^{2}}\right)\right].\end{eqnarray}$
Stage 2: Quantum adiabatic (expansion) process. The average frequency of the working medium is changed from ${{ \mathcal G }}_{{\rm{h}}}$ to ${{ \mathcal G }}_{{\rm{l}}}\quad \left({{ \mathcal G }}_{{\rm{l}}}\lt {{ \mathcal G }}_{{\rm{h}}}\right)$, provided the expansion rate is sufficiently slow according to the quantum adiabatic theorem. During this process, the occupation probability pih, (i = 1, 2, 3, 4) is kept fixed. The working medium is decoupled from the hot reservoir, and the energy structure is varied from Eih, (i = 1, 2, 3, 4) to Eil, (i = 1, 2, 3, 4). The engine performs an amount of positive work when the energy spacings decrease.
$\begin{eqnarray}\begin{array}{rcl}{E}_{1{\rm{h}}} & = & {{ \mathcal G }}_{{\rm{h}}},{E}_{2{\rm{h}}}=\sqrt{{{\rm{\Delta }}}^{2}+{{\rm{\Omega }}}^{2}},\\ {E}_{3{\rm{h}}} & = & -\sqrt{{{\rm{\Delta }}}^{2}+{{\rm{\Omega }}}^{2}},{E}_{4{\rm{h}}}=-{{ \mathcal G }}_{{\rm{h}}},\end{array}\end{eqnarray}$
and
$\begin{eqnarray}\begin{array}{rcl}{E}_{1{\rm{l}}} & = & {{ \mathcal G }}_{{\rm{l}}},{E}_{2{\rm{l}}}=\sqrt{{{\rm{\Delta }}}^{2}+{{\rm{\Omega }}}^{2}},\\ {E}_{3{\rm{l}}} & = & -\sqrt{{{\rm{\Delta }}}^{2}+{{\rm{\Omega }}}^{2}},{E}_{4{\rm{l}}}=-{{ \mathcal G }}_{{\rm{l}}}.\end{array}\end{eqnarray}$
Stage 3: Quantum isochoric process (cold bath stage). Stage 3 is almost an inverse process of Stage 1. The working substance with average frequency ${{ \mathcal G }}_{{\rm{l}}}$ is coupled to a cold reservoir of temperature ${{ \mathcal T }}_{{\rm{l}}}$ and its energy structure is kept fixed. The population of the four discrete level is changing from the initial population pih, (i = 1, 2, 3, 4) to population pil, (i = 1, 2, 3, 4) and some heat is thus transferred but no work is performed in this stage.
Stage 4: Quantum adiabatic (compression) process. The system is isolated from the cold reservoir and the average frequency is changed from ${{ \mathcal G }}_{{\rm{l}}}$ to ${{ \mathcal G }}_{{\rm{h}}}$. During this process the populations pil, (i = 1, 2, 3, 4) remain constant while the energy structure is varied from Eil, (i = 1, 2, 3, 4) to Eih, (i = 1, 2, 3, 4). In this stage an amount of work is done on the system.
The expectation value of the system is
$\begin{eqnarray}{ \mathcal U }=\left\langle E\right\rangle =\displaystyle \sum _{j={\rm{h}},{\rm{l}}}\displaystyle \sum _{i=1,}^{4}{p}_{ij}{E}_{ij},\end{eqnarray}$
in which Eij, (i = 1, 2, 3, 4; j = h, l) are the energy levels and pij, (i = 1, 2, 3, 4; j = h, l) are the corresponding occupation probabilities. Infinitesimally,
$\begin{eqnarray}{\rm{d}}{ \mathcal U }=\displaystyle \sum _{j={\rm{h}},{\rm{l}}}\displaystyle \sum _{i=1}^{4}{E}_{ij}{\rm{d}}{p}_{ij}+{p}_{ij}{\rm{d}}{E}_{ij},\end{eqnarray}$
from which we make the following identifications for infinitesimal heat transferred $d{ \mathcal Q }$ and work done $d{ \mathcal W }$.
$\begin{eqnarray}{\rm{d}}{ \mathcal Q }=\displaystyle \sum _{j={\rm{h}},{\rm{l}}}\displaystyle \sum _{i=1}^{4}{E}_{ij}{\rm{d}}{p}_{ij},{\rm{d}}{ \mathcal W }=\displaystyle \sum _{j={\rm{h}},{\rm{l}}}\displaystyle \sum _{i=1}^{4}{p}_{ij}{\rm{d}}{E}_{ij}.\end{eqnarray}$

4. Relation between thermodynamics and quantum coherence

The state of two coupled two-level atoms interacting with the environmental thermal reservoir under the thermal equilibrium conditions is described by
$\begin{eqnarray}\hat{\varrho }\left({ \mathcal T }\right)=\frac{1}{{ \mathcal Z }}{\rm{\exp }}\left(-\beta \hat{{ \mathcal H }}\right),\end{eqnarray}$
in which the partition function is ${ \mathcal Z }$ = $Tr\left[\exp \left(-\hat{{ \mathcal H }}/{k}_{{\rm{B}}}{ \mathcal T }\right)\right]$, kB is the Boltzmann’s constant and ${ \mathcal T }$ is the temperature. The thermal density matrix of the system in the standard basis $\left\{\left|ee\right\rangle ,\left|eg\right\rangle ,\left|ge\right\rangle ,\left|gg\right\rangle \right\}$ takes the following form
$\begin{eqnarray}\hat{\varrho }=\left(\begin{array}{cccc}{p}_{1} & 0 & 0 & 0\\ 0 & \frac{1+{\rm{\Gamma }}}{2}{p}_{2}+\frac{1-{\rm{\Gamma }}}{2}{p}_{3} & \frac{{\rm{\Lambda }}}{2}\left({p}_{2}-{p}_{3}\right) & 0\\ 0 & \frac{{\rm{\Lambda }}}{2}\left({p}_{2}-{p}_{3}\right) & \frac{1-{\rm{\Gamma }}}{2}{p}_{2}+\frac{1+{\rm{\Gamma }}}{2}{p}_{3} & 0\\ 0 & 0 & 0 & {p}_{4}\end{array}\right).\end{eqnarray}$
The occupation probabilities of the system in the thermal state at temperature ${ \mathcal T }$ are given by
$\begin{eqnarray}\begin{array}{rcl}{p}_{1} & = & \frac{1}{{ \mathcal Z }}{{\rm{e}}}^{-\beta { \mathcal G }},{p}_{2}=\frac{1}{{ \mathcal Z }}{{\rm{e}}}^{-\beta \sqrt{{{\rm{\Delta }}}^{2}+{{\rm{\Omega }}}^{2}}},\\ {p}_{3} & = & \frac{1}{{ \mathcal Z }}{{\rm{e}}}^{\beta \sqrt{{{\rm{\Delta }}}^{2}+{{\rm{\Omega }}}^{2}}},{p}_{4}=\frac{1}{{ \mathcal Z }}{{\rm{e}}}^{\beta { \mathcal G }},\end{array}\end{eqnarray}$
where the partition function ${ \mathcal Z }$ = $2\left[\cosh \left(\beta G\right)\right.$ + $\left.\cosh \left(\beta \sqrt{{{\rm{\Delta }}}^{2}+{{\rm{\Omega }}}^{2}}\right)\right]$, ${\rm{\Gamma }}=\frac{{\rm{\Delta }}}{\sqrt{{{\rm{\Delta }}}^{2}+{{\rm{\Omega }}}^{2}}}$ and ${\rm{\Lambda }}=\frac{{\rm{\Omega }}}{\sqrt{{{\rm{\Delta }}}^{2}+{{\rm{\Omega }}}^{2}}}$.
To quantify the coherence of two coupled two-level atoms, we focus on the off-diagonal elements of $\hat{\varrho }$ in the basis $\left\{\left|ee\right\rangle ,\left|eg\right\rangle ,\left|ge\right\rangle ,\left|gg\right\rangle \right\}$. The l1 norm of quantum coherence is defined as [56, 57]
$\begin{eqnarray}{{ \mathcal C }}_{{l}_{1}}\left({\hat{\varrho }}_{{\rm{AB}}}\right)=\displaystyle \sum _{i\ne j}\left|{\hat{\varrho }}_{i,j}\right|.\end{eqnarray}$
The non-diagonal (diagonal) elements ${\hat{\varrho }}_{ij,i\ne j}\left({\hat{\varrho }}_{ij,i=j}\right)$ represent the atomic coherences (populations). We can obtain the l1 norm of coherence ${{ \mathcal C }}_{{l}_{1}}$ as follows
$\begin{eqnarray}{{ \mathcal C }}_{{l}_{1}}=2\left|\hat{{\varrho }_{23}}\right|={\rm{\Lambda }}\left|{p}_{2}-{p}_{3}\right|={\rm{\Lambda }}\left({p}_{3}-{p}_{2}\right).\end{eqnarray}$
The value ${{ \mathcal C }}_{{l}_{1}}$ verifies the uniformity for all quantum states. Substituting equation (16) in to equation (18), l1 norm of coherence ${{ \mathcal C }}_{{l}_{1}}$ can be expressed as
$\begin{eqnarray}{{ \mathcal C }}_{{l}_{1}}=\frac{{\rm{\Lambda }}\sinh \left(\beta \sqrt{{{\rm{\Delta }}}^{2}+{{\rm{\Omega }}}^{2}}\right)}{\cosh \left(\beta { \mathcal G }\right)+\cosh \left(\beta \sqrt{{{\rm{\Delta }}}^{2}+{{\rm{\Omega }}}^{2}}\right)}.\end{eqnarray}$
The critical quantum coherence is exclusively determined by the coupling strength in the case of identical $\left({\rm{\Delta }}=0\right)$ as well as non-identical atoms $\left({\rm{\Delta }}\ne 0\right)$.
The quantum coherence under our consideration is that of two thermal equilibrium states at the end of stage 1 and stage 3, denoted by ${{ \mathcal C }}_{{l}_{1}{\rm{h}}}$ and ${{ \mathcal C }}_{{l}_{1}{\rm{l}}}$, respectively. They are given by
$\begin{eqnarray}{{ \mathcal C }}_{{l}_{1}{\rm{h}}}=\frac{{\rm{\Lambda }}\sinh \left({\beta }_{{\rm{h}}}\sqrt{{{\rm{\Delta }}}^{2}+{{\rm{\Omega }}}^{2}}\right)}{\cosh \left({\beta }_{{\rm{h}}}{{ \mathcal G }}_{{\rm{h}}}\right)+\cosh \left({\beta }_{{\rm{h}}}\sqrt{{{\rm{\Delta }}}^{2}+{{\rm{\Omega }}}^{2}}\right)},\end{eqnarray}$
$\begin{eqnarray}{{ \mathcal C }}_{{l}_{1}{\rm{l}}}=\frac{{\rm{\Lambda }}\sinh \left({\beta }_{{\rm{l}}}\sqrt{{{\rm{\Delta }}}^{2}+{{\rm{\Omega }}}^{2}}\right)}{\cosh \left({\beta }_{{\rm{l}}}{{ \mathcal G }}_{{\rm{l}}}\right)+\cosh \left({\beta }_{{\rm{l}}}\sqrt{{{\rm{\Delta }}}^{2}+{{\rm{\Omega }}}^{2}}\right)}.\end{eqnarray}$
It is evident that in the absence of the dipole-dipole interaction (Ω = 0), quantum coherence ${{ \mathcal C }}_{{l}_{1}{\rm{h}}}$ and ${{ \mathcal C }}_{{l}_{1}{\rm{l}}}$ completely vanishes for all values of the average frequency ${{ \mathcal G }}_{{\rm{h}}}\left({{ \mathcal G }}_{{\rm{l}}}\right)$ in the system.
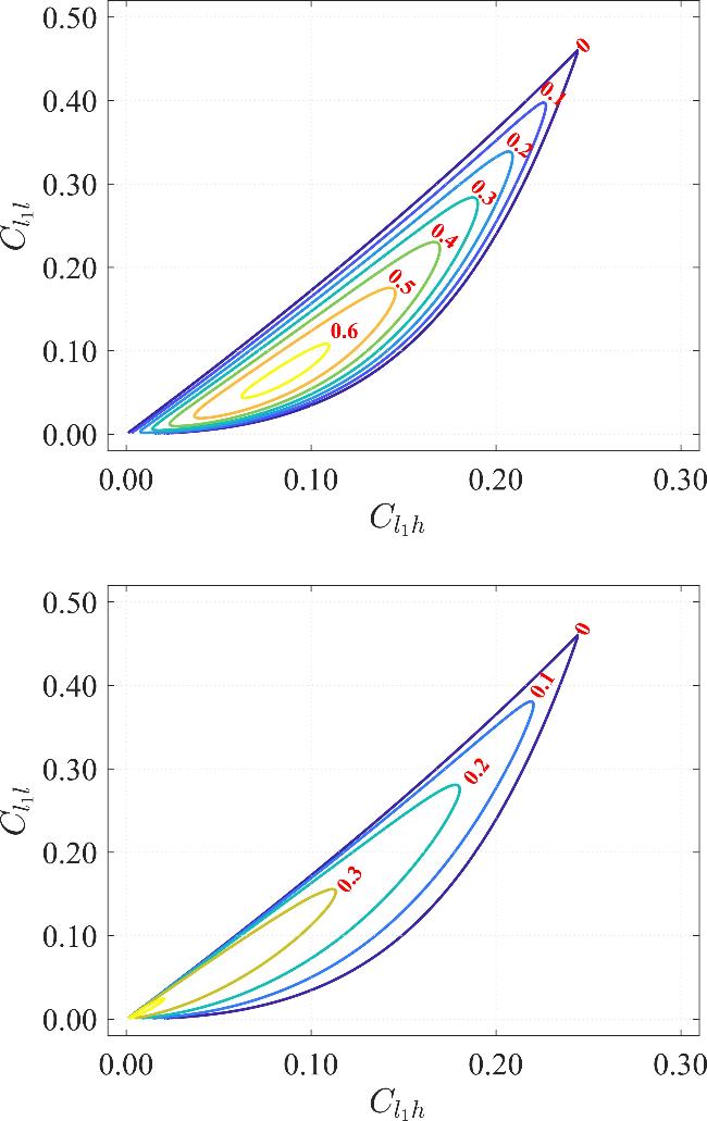
For comparison, we visually depict the quantum coherence ${{ \mathcal C }}_{{l}_{1}{\rm{h}}}\left({{ \mathcal C }}_{{l}_{1}{\rm{l}}}\right)$ as a function of the average frequency ${{ \mathcal G }}_{{\rm{h}}}\left({{ \mathcal G }}_{{\rm{l}}}\right)$ with fixed parameters ${{ \mathcal T }}_{{\rm{h}}}=10.0$, ${{ \mathcal T }}_{{\rm{l}}}=5.0$ and kB = 1 using the analytical results derived from equations (20) and (21) as shown in figure 2. We can see that quantum coherence ${{ \mathcal C }}_{{l}_{1}{\rm{h}}}\left({{ \mathcal C }}_{{l}_{1}{\rm{l}}}\right)$ decreases with the average frequency ${{ \mathcal G }}_{{\rm{h}}}\left({{ \mathcal G }}_{{\rm{l}}}\right)$ monotonously and vanishes in the case of higher the average frequency ${{ \mathcal G }}_{{\rm{h}}}\left({{ \mathcal G }}_{{\rm{l}}}\right)$ as expected. Furthermore, from these curves, it is evident that quantum coherence ${{ \mathcal C }}_{{l}_{1}{\rm{h}}}\left({{ \mathcal C }}_{{l}_{1}{\rm{l}}}\right)$ can be enhanced by increasing the coupling constant $\left({\rm{\Omega }}\right)$ or reducing the frequency detuning. We note that, for small values of frequency detuning $\left({\rm{\Delta }}\right)$, the variations of quantum coherence ${{ \mathcal C }}_{{l}_{1}{\rm{h}}}\left({{ \mathcal C }}_{{l}_{1}{\rm{l}}}\right)$ displays a rapid decrease from a maximum value ${{ \mathcal C }}_{{l}_{1}{\rm{h}},{\rm{m}}{\rm{a}}{\rm{x}}}\left({{ \mathcal C }}_{{l}_{1}{\rm{l}},{\rm{m}}{\rm{a}}{\rm{x}}}\right)$ to zero when the interatomic dipole coupling strength $\left({\rm{\Omega }}\right)$ attains criticality. The analysis demonstrates that frequency detuning induces system decoherence through the disruption of coherent energy exchange.
Figure 2. The l1 norm of quantum coherence ${{ \mathcal C }}_{{l}_{1}{\rm{h}}}$ (solid line) versus the average frequency ${{ \mathcal G }}_{{\rm{h}}}$ and quantum coherence ${{ \mathcal C }}_{{l}_{1}{\rm{l}}}$ ( dashed line) versus the average frequency ${{ \mathcal G }}_{{\rm{l}}}$ of a pair of atoms system. The parameters are ${{ \mathcal T }}_{{\rm{h}}}=10.0$, ${{ \mathcal T }}_{{\rm{l}}}=5.0$ and kB = 1.

5. Results and discussion

5.1. Case One: without the presence of the dipole-dipole interaction, i.e. Ω = 0

When there are no dipole-dipole interactions, i.e., Ω = 0, two atoms are independent of each other. Based on equations (20) and (21), quantum coherence of the system can be described as
$\begin{eqnarray}{{ \mathcal C }}_{{l}_{1}{\rm{h}}}=0,{{ \mathcal C }}_{{l}_{1}{\rm{l}}}=0.\end{eqnarray}$
(a) Two Identical Atoms, i.e. Δ = 0.
Using equation (19), The heat transferred in Stage 1 and in Stage 3 of the cycle respectively is
$\begin{eqnarray}{{ \mathcal Q }}_{{\rm{h}}}=\left[-\tanh \left({\beta }_{{\rm{h}}}{{ \mathcal G }}_{{\rm{h}}}/2\right)+\tanh \left({\beta }_{{\rm{l}}}{{ \mathcal G }}_{{\rm{l}}}/2\right)\right]{{ \mathcal G }}_{{\rm{h}}},\end{eqnarray}$
and
$\begin{eqnarray}{{ \mathcal Q }}_{{\rm{l}}}=\left[\tanh \left({\beta }_{{\rm{h}}}{{ \mathcal G }}_{{\rm{h}}}/2\right)-\tanh \left({\beta }_{{\rm{l}}}{{ \mathcal G }}_{{\rm{l}}}/2\right)\right]{{ \mathcal G }}_{{\rm{l}}}.\end{eqnarray}$
The work done in Stage 2 and Stage 4 by the QOE as
$\begin{eqnarray}{ \mathcal W }=\left(-{{ \mathcal G }}_{{\rm{h}}}+{{ \mathcal G }}_{{\rm{l}}}\right)\left[\tanh \left({\beta }_{{\rm{h}}}{{ \mathcal G }}_{{\rm{h}}}/2\right)-\tanh \left({\beta }_{{\rm{l}}}{{ \mathcal G }}_{{\rm{l}}}/2\right)\right],\end{eqnarray}$
and the efficiency reads
$\begin{eqnarray}\eta ={\eta }_{0}=1-{{ \mathcal G }}_{{\rm{l}}}/{{ \mathcal G }}_{{\rm{h}}},\end{eqnarray}$
where η0 is the efficiency of the two identical two-level atoms in the absence of the dipole coupling strength Ω = 0.
(b) Non-identical Atoms, i.e. Δ ≠ 0.
The heat transferred in Stage 1 and in Stage 3 of the cycle respectively is
$\begin{eqnarray}\begin{array}{rcl}{{ \mathcal Q }}_{{\rm{h}}} & = & \left(-\frac{\sinh \left({\beta }_{{\rm{h}}}{\rm{\Delta }}\right)}{\cosh \left({\beta }_{{\rm{h}}}{\rm{\Delta }}\right)+\cosh \left({\beta }_{{\rm{h}}}{{ \mathcal G }}_{{\rm{h}}}\right)}\right.\\ & & \left.+\frac{\sinh \left({\beta }_{{\rm{l}}}{\rm{\Delta }}\right)}{\cosh \left({\beta }_{{\rm{l}}}{\rm{\Delta }}\right)+\cosh \left({\beta }_{{\rm{l}}}{{ \mathcal G }}_{{\rm{l}}}\right)}\right){\rm{\Delta }}\\ & & +\left(-\frac{\sinh \left({\beta }_{{\rm{h}}}{{ \mathcal G }}_{{\rm{h}}}\right)}{\cosh \left({\beta }_{{\rm{h}}}{\rm{\Delta }}\right)+\cosh \left({\beta }_{{\rm{h}}}{{ \mathcal G }}_{{\rm{h}}}\right)}\right.\\ & & \left.+\frac{\sinh \left({\beta }_{{\rm{l}}}{{ \mathcal G }}_{{\rm{l}}}\right)}{\cosh \left({\beta }_{{\rm{l}}}{\rm{\Delta }}\right)+\cosh \left({\beta }_{{\rm{l}}}{{ \mathcal G }}_{{\rm{l}}}\right)}\right){{ \mathcal G }}_{{\rm{h}}},\end{array}\end{eqnarray}$
and
$\begin{eqnarray}\begin{array}{rcl}{{ \mathcal Q }}_{{\rm{l}}} & = & \left(\frac{\sinh \left({\beta }_{{\rm{h}}}{\rm{\Delta }}\right)}{\cosh \left({\beta }_{{\rm{h}}}{\rm{\Delta }}\right)+\cosh \left({\beta }_{{\rm{h}}}{{ \mathcal G }}_{{\rm{h}}}\right)}\right.\\ & & \left.-\frac{\sinh \left({\beta }_{{\rm{l}}}{\rm{\Delta }}\right)}{\cosh \left({\beta }_{{\rm{l}}}{\rm{\Delta }}\right)+\cosh \left({\beta }_{{\rm{l}}}{{ \mathcal G }}_{{\rm{l}}}\right)}\right){\rm{\Delta }}\\ & & +\left(\frac{\sinh \left({\beta }_{{\rm{h}}}{{ \mathcal G }}_{{\rm{h}}}\right)}{\cosh \left({\beta }_{{\rm{h}}}{\rm{\Delta }}\right)+\cosh \left({\beta }_{{\rm{h}}}{{ \mathcal G }}_{{\rm{h}}}\right)}\right.\\ & & \left.-\frac{\sinh \left({\beta }_{{\rm{l}}}{{ \mathcal G }}_{{\rm{l}}}\right)}{\cosh \left({\beta }_{{\rm{l}}}{\rm{\Delta }}\right)+\cosh \left({\beta }_{{\rm{l}}}{{ \mathcal G }}_{{\rm{l}}}\right)}\right){{ \mathcal G }}_{{\rm{l}}}.\end{array}\end{eqnarray}$
Following the procedure given above, we get the work done by the QOE as
$\begin{eqnarray}\begin{array}{rcl}{ \mathcal W } & = & \left(\frac{\sinh \left({\beta }_{{\rm{h}}}{{ \mathcal G }}_{{\rm{h}}}\right)}{\cosh \left({\beta }_{{\rm{h}}}{\rm{\Delta }}\right)+\cosh \left({\beta }_{{\rm{h}}}{{ \mathcal G }}_{{\rm{h}}}\right)}\right.\\ & & \left.-\frac{\sinh \left({\beta }_{{\rm{l}}}{{ \mathcal G }}_{{\rm{l}}}\right)}{\cosh \left({\beta }_{{\rm{l}}}{\rm{\Delta }}\right)+\cosh \left({\beta }_{{\rm{l}}}{{ \mathcal G }}_{{\rm{l}}}\right)}\right)\left({{ \mathcal G }}_{{\rm{l}}}-{{ \mathcal G }}_{{\rm{h}}}\right),\end{array}\end{eqnarray}$
and the efficiency reads
$\begin{eqnarray}{\eta }_{{\rm{\Delta }}}=\frac{1-{{ \mathcal G }}_{{\rm{l}}}/{{ \mathcal G }}_{{\rm{h}}}}{1-\left(\frac{\frac{\sinh \left({\beta }_{{\rm{l}}}{\rm{\Delta }}\right)}{\cosh \left({\beta }_{{\rm{l}}}{\rm{\Delta }}\right)+\cosh \left({\beta }_{{\rm{l}}}{{ \mathcal G }}_{{\rm{l}}}\right)}-\frac{\sinh \left({\beta }_{{\rm{h}}}{\rm{\Delta }}\right)}{\cosh \left({\beta }_{{\rm{h}}}{\rm{\Delta }}\right)+\cosh \left({\beta }_{{\rm{h}}}{{ \mathcal G }}_{{\rm{h}}}\right)}}{\frac{\sinh \left({\beta }_{{\rm{h}}}{{ \mathcal G }}_{{\rm{h}}}\right)}{\cosh \left({\beta }_{{\rm{h}}}{\rm{\Delta }}\right)+\cosh \left({\beta }_{{\rm{h}}}{{ \mathcal G }}_{{\rm{h}}}\right)}-\frac{\sinh \left({\beta }_{{\rm{l}}}{{ \mathcal G }}_{{\rm{l}}}\right)}{\cosh \left({\beta }_{{\rm{l}}}{\rm{\Delta }}\right)+\cosh \left({\beta }_{{\rm{l}}}{{ \mathcal G }}_{{\rm{l}}}\right)}}\right)\frac{{\rm{\Delta }}}{{{ \mathcal G }}_{{\rm{h}}}}}.\end{eqnarray}$

5.2. Case two: in the presence of the dipole-dipole interaction, i.e. Ω ≠ 0

(a) Two Identical Atoms, i.e. Δ = 0.
The quantum coherence under our consideration is that of two thermal equilibrium states at the end of stage 1 and stage 3, denoted by ${{ \mathcal C }}_{{l}_{1}{\rm{h}}}$ and ${{ \mathcal C }}_{{l}_{1}{\rm{l}}}$, respectively. They are given by
$\begin{eqnarray}{{ \mathcal C }}_{{l}_{1}{\rm{h}}}=\frac{\sinh \left({\beta }_{{\rm{h}}}{\rm{\Omega }}\right)}{\cosh \left({\beta }_{{\rm{h}}}{{ \mathcal G }}_{{\rm{h}}}\right)+\cosh \left({\beta }_{{\rm{h}}}{\rm{\Omega }}\right)},\end{eqnarray}$
$\begin{eqnarray}{{ \mathcal C }}_{{l}_{1}{\rm{l}}}=\frac{\sinh \left({\beta }_{{\rm{l}}}{\rm{\Omega }}\right)}{\cosh \left({\beta }_{{\rm{l}}}{{ \mathcal G }}_{{\rm{l}}}\right)+\cosh \left({\beta }_{{\rm{l}}}{\rm{\Omega }}\right)},\end{eqnarray}$
equations (31) and (32) can be solved analytically as follows
$\begin{eqnarray}{{ \mathcal G }}_{{\rm{h}}}={\beta }_{{\rm{h}}}^{-1}\,\rm{arccosh}\,\left[\frac{\sinh \left({\beta }_{{\rm{h}}}{\rm{\Omega }}\right)}{{{ \mathcal C }}_{{l}_{1}{\rm{h}}}}-\cosh \left({\beta }_{{\rm{h}}}{\rm{\Omega }}\right)\right],\end{eqnarray}$
$\begin{eqnarray}{{ \mathcal G }}_{{\rm{l}}}={\beta }_{{\rm{l}}}^{-1}\,\rm{arccosh}\,\left[\frac{\sinh \left({\beta }_{{\rm{l}}}{\rm{\Omega }}\right)}{{{ \mathcal C }}_{{l}_{1}{\rm{l}}}}-\cosh \left({\beta }_{{\rm{l}}}{\rm{\Omega }}\right)\right].\end{eqnarray}$
The heat transferred in Stage 1 and in Stage 3 of the cycle respectively is
$\begin{eqnarray}\begin{array}{rcl}{{ \mathcal Q }}_{{\rm{h}}} & = & \left(-\frac{\sinh \left({\beta }_{{\rm{h}}}{\rm{\Omega }}\right)}{\cosh \left({\beta }_{{\rm{h}}}{\rm{\Omega }}\right)+\cosh \left({\beta }_{{\rm{h}}}{{ \mathcal G }}_{{\rm{h}}}\right)}\right.\\ & & \left.+\frac{\sinh \left({\beta }_{{\rm{l}}}{\rm{\Omega }}\right)}{\cosh \left({\beta }_{{\rm{l}}}{\rm{\Omega }}\right)+\cosh \left({\beta }_{{\rm{l}}}{{ \mathcal G }}_{{\rm{l}}}\right)}\right){\rm{\Omega }}\\ & & +\left(-\frac{\sinh \left({\beta }_{{\rm{h}}}{{ \mathcal G }}_{{\rm{h}}}\right)}{\cosh \left({\beta }_{{\rm{h}}}{\rm{\Omega }}\right)+\cosh \left({\beta }_{{\rm{h}}}{{ \mathcal G }}_{{\rm{h}}}\right)}\right.\\ & & \left.+\frac{\sinh \left({\beta }_{{\rm{l}}}{{ \mathcal G }}_{{\rm{l}}}\right)}{\cosh \left({\beta }_{{\rm{l}}}{\rm{\Omega }}\right)+\cosh \left({\beta }_{{\rm{l}}}{{ \mathcal G }}_{{\rm{l}}}\right)}\right){{ \mathcal G }}_{{\rm{h}}},\end{array}\end{eqnarray}$
and
$\begin{eqnarray}\begin{array}{rcl}{{ \mathcal Q }}_{{\rm{l}}} & = & \left(\frac{\sinh \left({\beta }_{{\rm{h}}}{\rm{\Omega }}\right)}{\cosh \left({\beta }_{{\rm{h}}}{\rm{\Omega }}\right)+\cosh \left({\beta }_{{\rm{h}}}{{ \mathcal G }}_{{\rm{h}}}\right)}\right.\\ & & \left.-\frac{\sinh \left({\beta }_{{\rm{l}}}{\rm{\Omega }}\right)}{\cosh \left({\beta }_{{\rm{l}}}{\rm{\Omega }}\right)+\cosh \left({\beta }_{{\rm{l}}}{{ \mathcal G }}_{{\rm{l}}}\right)}\right){\rm{\Omega }}\\ & & +\left(\frac{\sinh \left({\beta }_{{\rm{h}}}{{ \mathcal G }}_{{\rm{h}}}\right)}{\cosh \left({\beta }_{{\rm{h}}}{\rm{\Omega }}\right)+\cosh \left({\beta }_{{\rm{h}}}{{ \mathcal G }}_{{\rm{h}}}\right)}\right.\\ & & \left.-\frac{\sinh \left({\beta }_{{\rm{l}}}{{ \mathcal G }}_{{\rm{l}}}\right)}{\cosh \left({\beta }_{{\rm{l}}}{\rm{\Omega }}\right)+\cosh \left({\beta }_{{\rm{l}}}{{ \mathcal G }}_{{\rm{l}}}\right)}\right){{ \mathcal G }}_{{\rm{l}}}.\end{array}\end{eqnarray}$
The work is done in Stage 2 and Stage 4 when the energy levels are changed at fixed occupation probabilities. The work done by the QHE is
$\begin{eqnarray}\begin{array}{rcl}{ \mathcal W } & = & \left(\frac{\sinh \left({\beta }_{{\rm{h}}}{{ \mathcal G }}_{{\rm{h}}}\right)}{\cosh \left({\beta }_{{\rm{h}}}{\rm{\Omega }}\right)+\cosh \left({\beta }_{{\rm{h}}}{{ \mathcal G }}_{{\rm{h}}}\right)}\right.\\ & & \left.-\frac{\sinh \left({\beta }_{{\rm{l}}}{{ \mathcal G }}_{{\rm{l}}}\right)}{\cosh \left({\beta }_{{\rm{l}}}{\rm{\Omega }}\right)+\cosh \left({\beta }_{{\rm{l}}}{{ \mathcal G }}_{{\rm{l}}}\right)}\right)\left({{ \mathcal G }}_{{\rm{l}}}-{{ \mathcal G }}_{{\rm{h}}}\right).\end{array}\end{eqnarray}$
Then the efficiency of the QOE reads
$\begin{eqnarray}{\eta }_{{\rm{\Omega }}}=\frac{1-{{ \mathcal G }}_{{\rm{l}}}/{{ \mathcal G }}_{{\rm{h}}}}{1-\left(\frac{\frac{\sinh \left({\beta }_{{\rm{l}}}{\rm{\Omega }}\right)}{\cosh \left({\beta }_{{\rm{l}}}{\rm{\Omega }}\right)+\cosh \left({\beta }_{{\rm{l}}}{{ \mathcal G }}_{{\rm{l}}}\right)}-\frac{\sinh \left({\beta }_{{\rm{h}}}{\rm{\Omega }}\right)}{\cosh \left({\beta }_{{\rm{h}}}{\rm{\Omega }}\right)+\cosh \left({\beta }_{{\rm{h}}}{{ \mathcal G }}_{{\rm{h}}}\right)}}{\frac{\sinh \left({\beta }_{{\rm{h}}}{{ \mathcal G }}_{{\rm{h}}}\right)}{\cosh \left({\beta }_{{\rm{h}}}{\rm{\Omega }}\right)+\cosh \left({\beta }_{{\rm{h}}}{{ \mathcal G }}_{{\rm{h}}}\right)}-\frac{\sinh \left({\beta }_{{\rm{l}}}{{ \mathcal G }}_{{\rm{l}}}\right)}{\cosh \left({\beta }_{{\rm{l}}}{\rm{\Omega }}\right)+\cosh \left({\beta }_{{\rm{l}}}{{ \mathcal G }}_{{\rm{l}}}\right)}}\right)\frac{{\rm{\Omega }}}{{{ \mathcal G }}_{{\rm{h}}}}}.\end{eqnarray}$
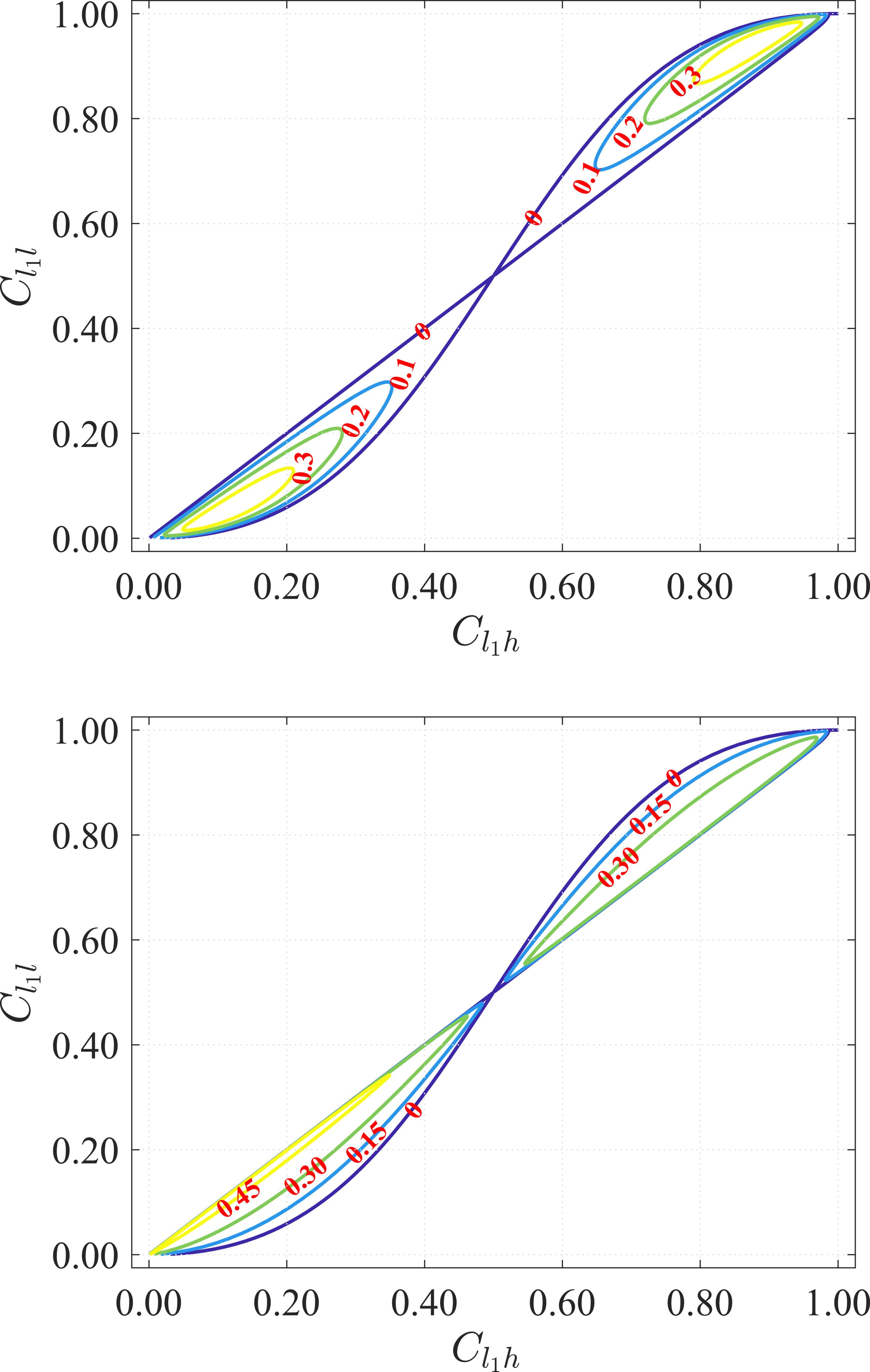
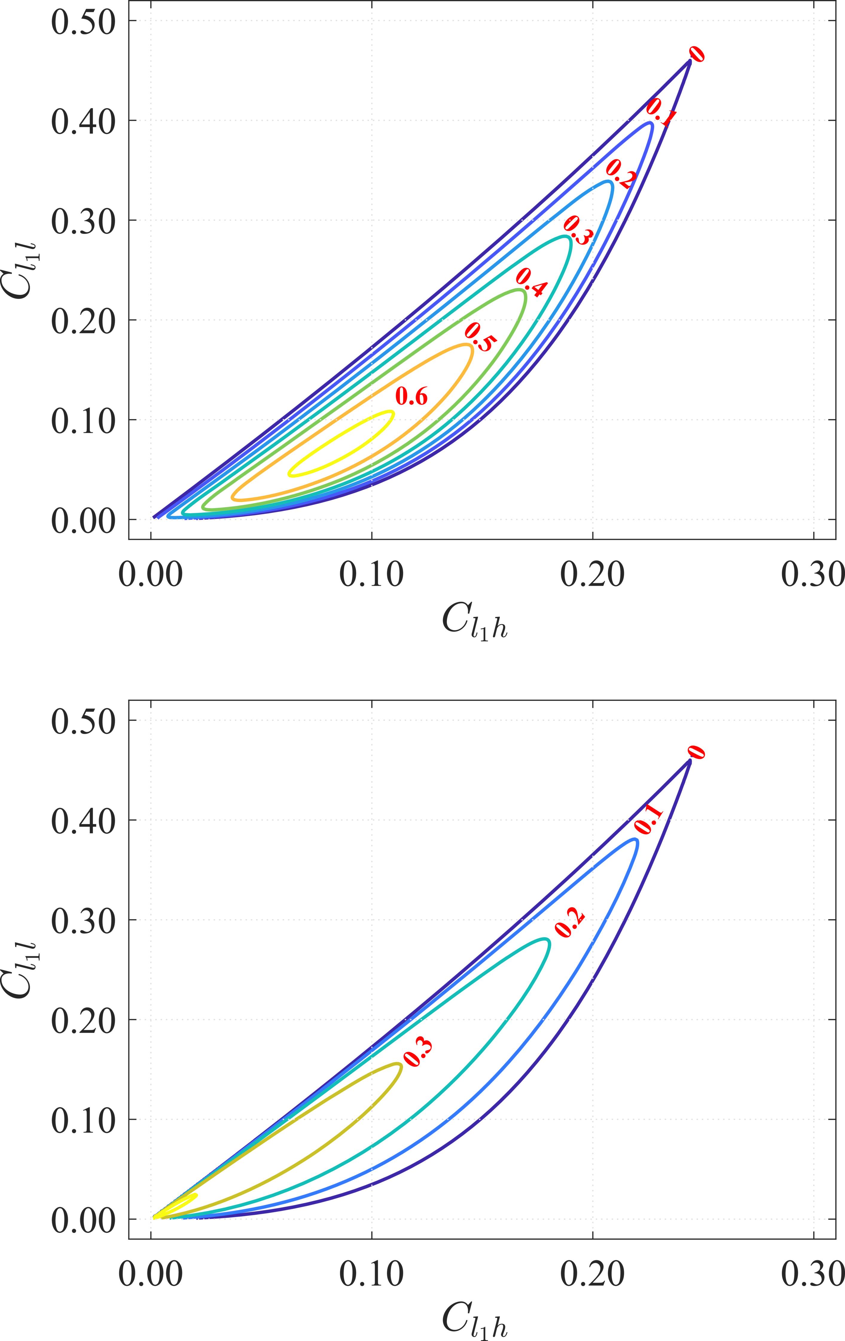
Based on equations (33), (34), (37) and (38), we can study the effects of quantum coherence on the basic thermodynamical quantities. To quantitatively analyze the impact of quantum coherence on the positive work output ${ \mathcal W }$ and operational efficiency η of a the heat engine, we employ numerical simulations to construct contour maps illustrating the parametric dependencies of work and efficiency on quantum coherences $\left({{ \mathcal C }}_{{l}_{1}{\rm{h}}},{{ \mathcal C }}_{{l}_{1}{\rm{l}}}\right)$ across three characteristic coupling strength Ω = 5.0, Ω = 25.0 and Ω = 50.0. The resulting phase diagrams, presented in figures 35, provide a comprehensive visualization of the interplay between coherence parameters and thermodynamic performance metrics. The analysis reveals distinct coherence dynamics under varying dipole coupling regimes.
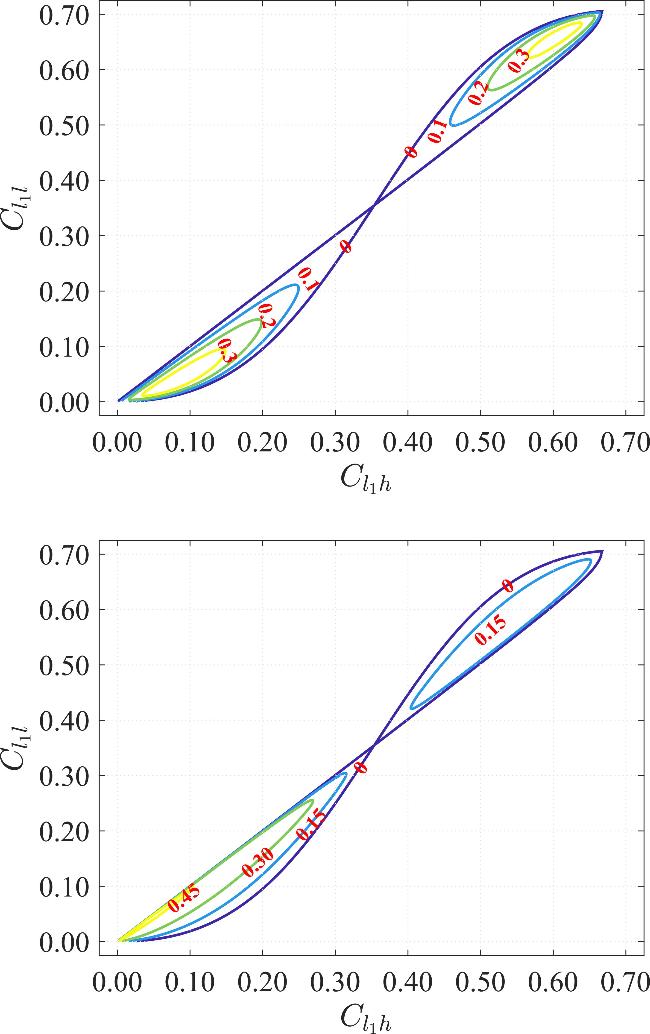
Figure 3. Variations of (a) work ${ \mathcal W }$ and (b) efficiency η with ${{ \mathcal C }}_{{l}_{1}{\rm{h}}}$ and ${{ \mathcal C }}_{{l}_{1}{\rm{l}}}$ in isoline maps. The parameters are Δ = 0.0, Ω = 5.0 and other common parameters are the same as figure 2.
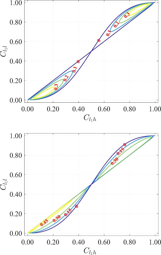
Figure 4. Variations of (a) work ${ \mathcal W }$ and (b) efficiency η with ${{ \mathcal C }}_{{l}_{1}{\rm{h}}}$ and ${{ \mathcal C }}_{{l}_{1}{\rm{l}}}$ in isoline maps. The parameters are Δ = 0.0, Ω = 25.0 and other common parameters are the same as figure 2.
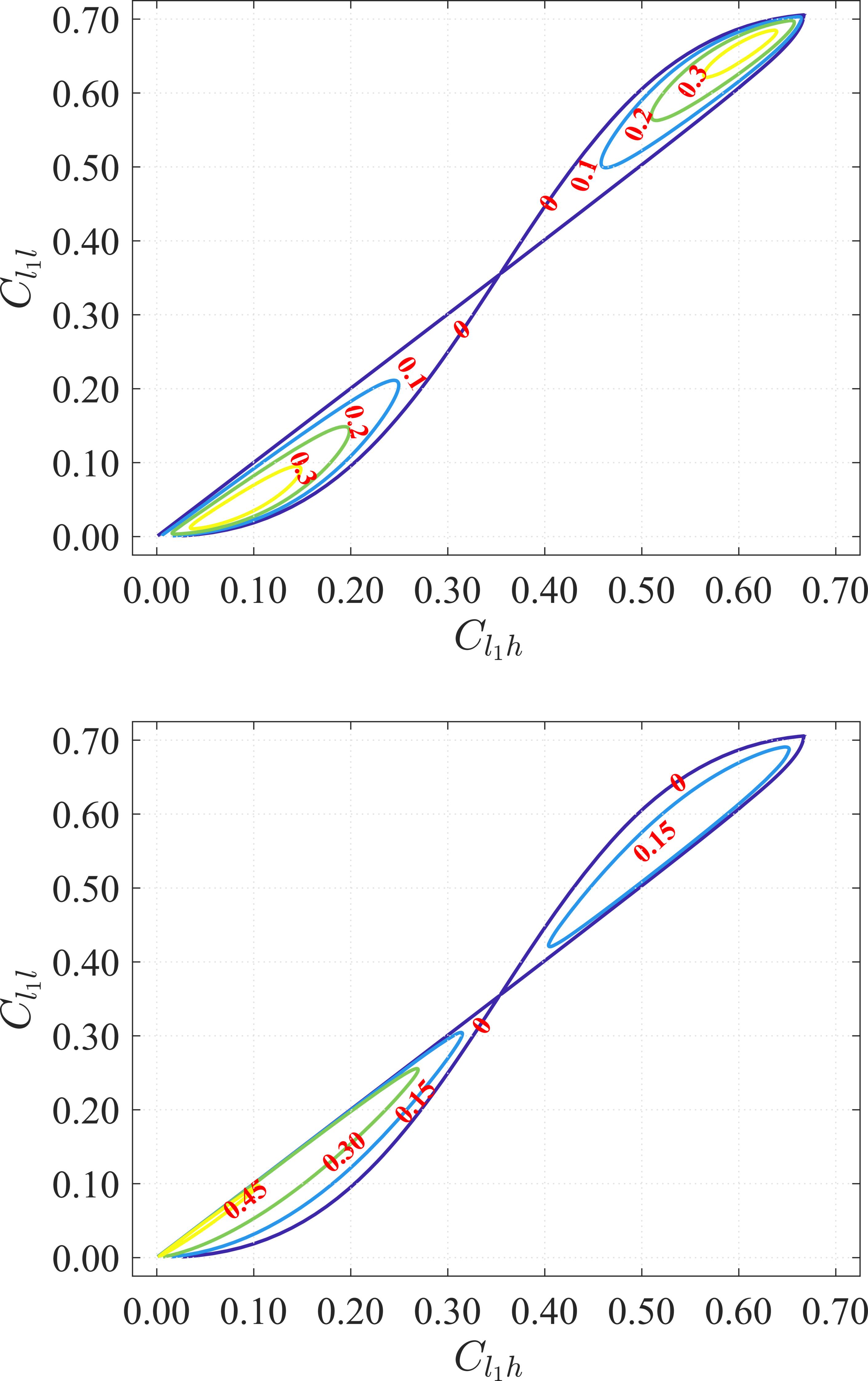
Figure 5. Variations of (a) work ${ \mathcal W }$ and (b) efficiency η with ${{ \mathcal C }}_{{l}_{1}{\rm{h}}}$ and ${{ \mathcal C }}_{{l}_{1}{\rm{l}}}$ in isoline maps. The parameters are Δ = 0.07D1Ω = 50.0 and other common parameters are the same as figure 2.
The isolines of the work ${ \mathcal W }$ and the efficiency η are loops. These indicate that work ${ \mathcal W }$ and efficiency η no longer change monotonically with ${{ \mathcal C }}_{{l}_{1}{\rm{h}}}$ and ${{ \mathcal C }}_{{l}_{1}{\rm{l}}}$. In the regime of weak dipole coupling constants Ω, the resulting loop structures exhibit in narrower coherence domains, as illustrated in figure 3. Conversely, under strong dipole coupling conditions, these loop lines achieved - appearing either in narrower coherence domains or extending into broader spaces of ${{ \mathcal C }}_{{l}_{1}{\rm{h}}}$ and ${{ \mathcal C }}_{{l}_{1}{\rm{l}}}$, with comparative manifestations provided in figures 4 and 5, respectively. The loop lines become larger ones as the dipole-dipole coupling constant Ω increases. The acceptable range of ${{ \mathcal C }}_{{l}_{1}{\rm{h}}}$ and ${{ \mathcal C }}_{{l}_{1}{\rm{l}}}$ is ${{ \mathcal C }}_{{l}_{1}{\rm{h}}}\gt {{ \mathcal C }}_{{l}_{1}{\rm{l}}}$ or ${{ \mathcal C }}_{{l}_{1}{\rm{h}}}\lt {{ \mathcal C }}_{{l}_{1}{\rm{l}}}$ and varies with different constant Ω values. Conversely, the maximum work and efficiency increases as the dipole-dipole coupling constant Ω increases at a given temperature of the bath. There exists a maximum value work (or efficiency) ${{ \mathcal W }}_{\max }\left({\eta }_{\max }\right)$ when the quantum coherences ${{ \mathcal C }}_{{l}_{1}{\rm{h}}}$ and ${{ \mathcal C }}_{{l}_{1}{\rm{l}}}$ attain certain values. It is noteworthy that the interatomic coupling strength Ω not merely affects the shape of the work and the efficiency but ultimately governs its quantitative magnitude.
b) Non-identical Atoms, i.e. Δ ≠ 0.
Based on equations (20) and (21), we can obtain ${{ \mathcal G }}_{{\rm{h}}}$ and ${{ \mathcal G }}_{{\rm{l}}}$, as follows
$\begin{eqnarray}\begin{array}{rcl}{{ \mathcal G }}_{{\rm{h}}} & = & {\beta }_{{\rm{h}}}^{-1}\,\rm{arccosh}\,\left[\frac{{\rm{\Lambda }}}{{{ \mathcal C }}_{{l}_{1}{\rm{h}}}}\sinh \left({\beta }_{{\rm{h}}}\sqrt{{{\rm{\Delta }}}^{2}+{{\rm{\Omega }}}^{2}}\right)\right.\\ & & \left.-\cosh \left({\beta }_{{\rm{h}}}\sqrt{{{\rm{\Delta }}}^{2}+{{\rm{\Omega }}}^{2}}\right)\Space{0ex}{2.5ex}{0ex}\right],\end{array}\end{eqnarray}$
$\begin{eqnarray}\begin{array}{rcl}{{ \mathcal G }}_{{\rm{l}}} & = & {\beta }_{{\rm{l}}}^{-1}\,\rm{arccosh}\,\left[\frac{{\rm{\Lambda }}}{{{ \mathcal C }}_{{l}_{1}{\rm{l}}}}\sinh \left({\beta }_{{\rm{l}}}\sqrt{{{\rm{\Delta }}}^{2}+{{\rm{\Omega }}}^{2}}\right)\right.\\ & & \left.-\cosh \left({\beta }_{{\rm{l}}}\sqrt{{{\rm{\Delta }}}^{2}+{{\rm{\Omega }}}^{2}}\right)\Space{0ex}{2.5ex}{0ex}\right].\end{array}\end{eqnarray}$
Then all the thermodynamical quantities can be arranged as
$\begin{eqnarray}\begin{array}{l}{{ \mathcal Q }}_{{\rm{h}}}=\frac{2}{{{ \mathcal Z }}_{{\rm{l}}}}\left[\sqrt{{{\rm{\Delta }}}^{2}+{{\rm{\Omega }}}^{2}}\sinh \left({\beta }_{{\rm{l}}}\sqrt{{{\rm{\Delta }}}^{2}+{{\rm{\Omega }}}^{2}}\right)+{{ \mathcal G }}_{{\rm{h}}}\sinh \left({\beta }_{{\rm{l}}}{{ \mathcal G }}_{{\rm{l}}}\right)\right]\\ -\frac{2}{{{ \mathcal Z }}_{{\rm{h}}}}\left[\sqrt{{{\rm{\Delta }}}^{2}+{{\rm{\Omega }}}^{2}}\sinh \left({\beta }_{{\rm{h}}}\sqrt{{{\rm{\Delta }}}^{2}+{{\rm{\Omega }}}^{2}}\right)+{{ \mathcal G }}_{{\rm{h}}}\sinh \left({\beta }_{{\rm{h}}}{{ \mathcal G }}_{{\rm{h}}}\right)\right],\end{array}\end{eqnarray}$
and
$\begin{eqnarray}\begin{array}{rcl}{{ \mathcal Q }}_{{\rm{l}}} & = & \frac{2}{{{ \mathcal Z }}_{{\rm{h}}}}\left[\sqrt{{{\rm{\Delta }}}^{2}+{{\rm{\Omega }}}^{2}}\sinh \left({\beta }_{{\rm{h}}}\sqrt{{{\rm{\Delta }}}^{2}+{{\rm{\Omega }}}^{2}}\right)+{{ \mathcal G }}_{{\rm{l}}}\sinh \left({\beta }_{{\rm{h}}}{{ \mathcal G }}_{{\rm{h}}}\right)\right]\\ & & -\frac{2}{{{ \mathcal Z }}_{{\rm{l}}}}\left[\sqrt{{{\rm{\Delta }}}^{2}+{{\rm{\Omega }}}^{2}}\sinh \left({\beta }_{{\rm{l}}}\sqrt{{{\rm{\Delta }}}^{2}+{{\rm{\Omega }}}^{2}}\right)+{{ \mathcal G }}_{{\rm{l}}}\sinh \left({\beta }_{{\rm{l}}}{{ \mathcal G }}_{{\rm{l}}}\right)\right].\end{array}\end{eqnarray}$
According to equations (41) and (42), the expressions of the work and the efficiency can be written as
$\begin{eqnarray}{ \mathcal W }=2\left({{ \mathcal G }}_{{\rm{h}}}-{{ \mathcal G }}_{{\rm{l}}}\right)\left(\frac{\sinh \left({\beta }_{{\rm{l}}}{{ \mathcal G }}_{{\rm{l}}}\right)}{{{ \mathcal Z }}_{{\rm{l}}}}-\frac{\sinh \left({\beta }_{{\rm{h}}}{{ \mathcal G }}_{{\rm{h}}}\right)}{{{ \mathcal Z }}_{{\rm{h}}}}\right),\end{eqnarray}$
and
$\begin{eqnarray}\eta =\frac{1-{{ \mathcal G }}_{{\rm{l}}}/{{ \mathcal G }}_{{\rm{h}}}}{1+\frac{{{ \mathcal Z }}_{{\rm{h}}}\sinh \left({\beta }_{{\rm{l}}}\sqrt{{{\rm{\Delta }}}^{2}+{{\rm{\Omega }}}^{2}}\right)-{{ \mathcal Z }}_{{\rm{l}}}\sinh \left({\beta }_{{\rm{h}}}\sqrt{{{\rm{\Delta }}}^{2}+{{\rm{\Omega }}}^{2}}\right)}{{{ \mathcal Z }}_{{\rm{h}}}\sinh \left({\beta }_{{\rm{l}}}{{ \mathcal G }}_{{\rm{l}}}\right)-{{ \mathcal Z }}_{{\rm{l}}}\sinh \left({\beta }_{{\rm{h}}}{{ \mathcal G }}_{{\rm{h}}}\right)}\frac{\sqrt{{{\rm{\Delta }}}^{2}+{{\rm{\Omega }}}^{2}}}{{{ \mathcal G }}_{{\rm{h}}}}}.\end{eqnarray}$
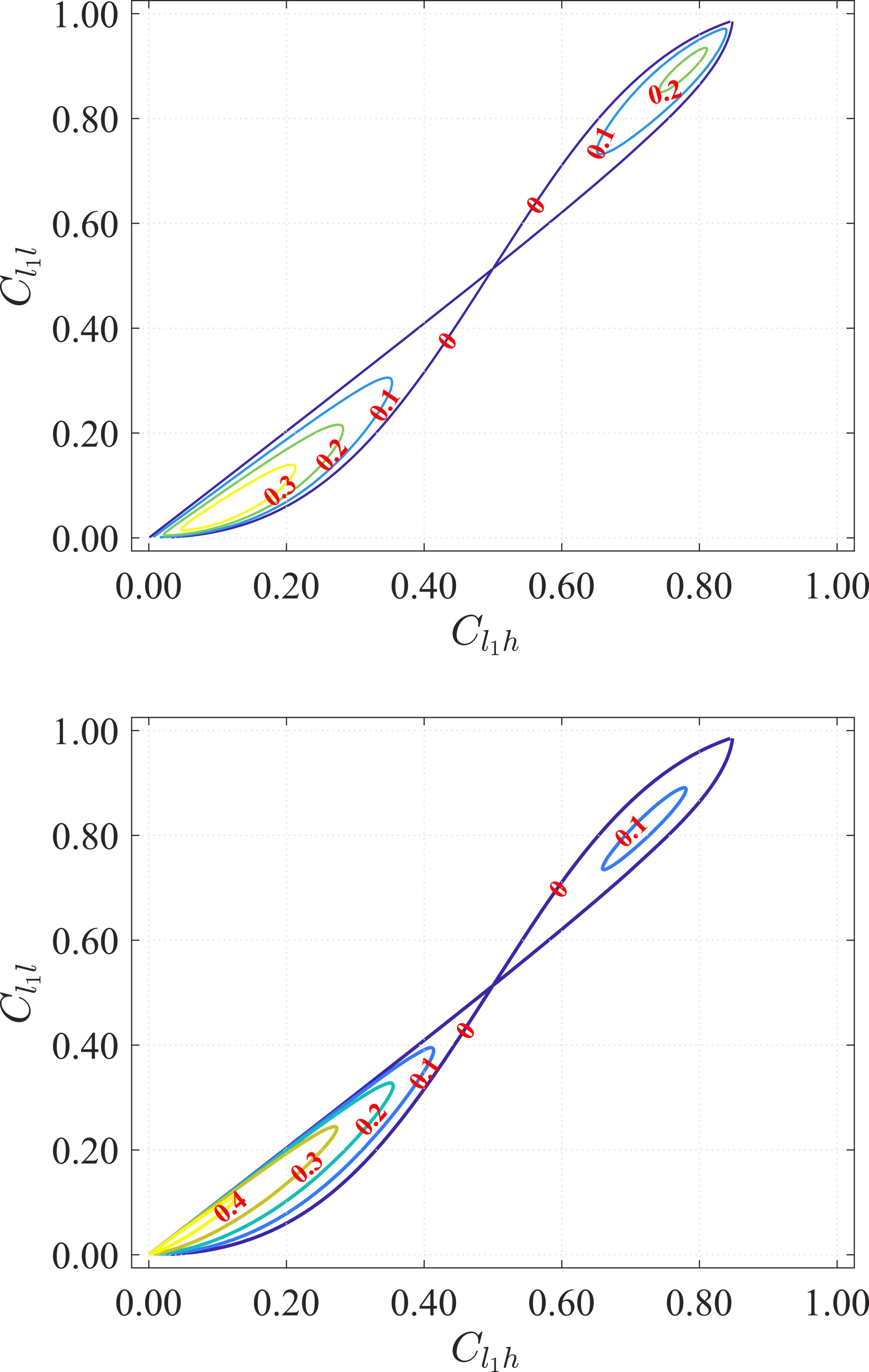
Based on equations (39), (40), (43) and (44), we can study the effects of quantum coherence on the basic thermodynamical quantities. The derivation of an analytical expression of the correlations among positive work, efficiency, and quantum coherence within the working substance constitutes a formidable theoretical challenge. To address this complexity, we resort to numerical simulations by adjusting the frequency detuning parameter (Δ) and analyze the interrelationships between these fundamental quantities, as shown in figures 68. By numerical calculation we can plot the isoline maps of the variation of the work and the efficiency with quantum coherence $\left({{ \mathcal C }}_{{l}_{1}{\rm{h}}},{{ \mathcal C }}_{{l}_{1}{\rm{l}}}\right)$ at three different frequency detuning Δ values for a pair of atoms, we assume the following parameters: Ω = 25.0, ${{ \mathcal T }}_{{\rm{h}}}=10.0$, ${{ \mathcal T }}_{{\rm{l}}}=5.0$ and kB = 1, as shown in figures 68.
Figure 6. Variations of (a) work ${ \mathcal W }$ and (b) efficiency η with ${{ \mathcal C }}_{{l}_{1}{\rm{h}}}$ and ${{ \mathcal C }}_{{l}_{1}{\rm{l}}}$ in isoline maps. The parameters are Δ = 5.0, Ω = 25.0 and other common parameters are the same as figure 2.
Figure 7. Variations of (a) work ${ \mathcal W }$ and (b) efficiency η with ${{ \mathcal C }}_{{l}_{1}{\rm{h}}}$ and ${{ \mathcal C }}_{{l}_{1}{\rm{l}}}$ in isoline maps. The parameters are Δ = 25.0, Ω = 25.0 and other common parameters are the same as figure 2.
Figure 8. Variations of (a) work ${ \mathcal W }$ and (b) efficiency η with ${{ \mathcal C }}_{{l}_{1}{\rm{h}}}$ and ${{ \mathcal C }}_{{l}_{1}{\rm{l}}}$ in isoline maps. The parameters are Δ = 50.0, Ω = 25.0 and other common parameters are the same as figure 2.
The loop lines become smaller ones as frequency detuning increases. Frequency detuning affects not only the shape of the efficiency but also its value. As shown in figures 68, the loop lines of work ${ \mathcal W }$ and efficiency η become smaller ones as the frequency detuning Δ increases. Thus, the frequency detuning Δ not only affects the shape of the work and the efficiency but also affects its value. This phenomenon can be elucidated through figure 2, which demonstrates that negative quantum coherence manifests when the frequency detuning exceeds a critical threshold. Furthermore, our analysis reveals that the maximum work (efficiency) ${{ \mathcal W }}_{\max }\left({\eta }_{\max }\right)$ exhibits an increasing trend with the increase of the frequency detuning Δ under conditions of quantum coherence ${{ \mathcal C }}_{{l}_{1}{\rm{h}}}\gt {{ \mathcal C }}_{{l}_{1}{\rm{l}}}$, whereas it demonstrates a decreasing tendency when the frequency detuning Δ is increased in the case of quantum coherence ${{ \mathcal C }}_{{l}_{1}{\rm{h}}}\lt {{ \mathcal C }}_{{l}_{1}{\rm{l}}}$. It is noteworthy that the maximum efficiency ${\eta }_{\max }$ demonstrates variability across differing frequency detuning. Moreover, we find that the Carnot efficiency ${\eta }_{{\rm{C}}}=1-{{ \mathcal T }}_{{\rm{l}}}/{{ \mathcal T }}_{{\rm{h}}}=0.5$ is not achievable in figures 38.

6. Relations between local and global efficiency

Each atom of two coupled two-level atoms in the subsystem can be assigned a local effective temperature, corresponding to its local thermal state or the reduced density matrix. This holds true regardless of the state of the total system. Particularly, in stages 1 and 3 of the QOE cycle, from equation (15), we get the local effective temperatures as
$\begin{eqnarray}\begin{array}{rcl}{{ \mathcal T }}_{{\rm{A}}\left({\rm{B}}\right),{\rm{h}}}^{{\rm{eff}}} & = & \hslash {\omega }_{{\rm{A}}\left({\rm{B}}\right)}\\ & & \times {\left[{k}_{{\rm{B}}}\mathrm{ln}\left(\frac{1}{{p}_{1{\rm{h}}}+\frac{1+{\rm{\Gamma }}}{2}{p}_{2{\rm{h}}}+\frac{1-{\rm{\Gamma }}}{2}{p}_{3{\rm{h}}}}-1\right)\right]}^{-1},\end{array}\end{eqnarray}$
and
$\begin{eqnarray}{{ \mathcal T }}_{{\rm{A}}\left({\rm{B}}\right),{\rm{l}}}^{{\rm{eff}}}=\hslash {\omega }_{{\rm{A}}\left({\rm{B}}\right)}{\left[{k}_{{\rm{B}}}\mathrm{ln}\left(\frac{1}{{p}_{1{\rm{l}}}+\frac{1+{\rm{\Gamma }}}{2}{p}_{2{\rm{l}}}+\frac{1-{\rm{\Gamma }}}{2}{p}_{3{\rm{l}}}}-1\right)\right]}^{-1}.\end{eqnarray}$
The key observation is that in the presence of interactions, the local effective temperatures exhibit deviations from their corresponding bath temperatures: ${{ \mathcal T }}_{{\rm{A}}\left({\rm{B}}\right),{\rm{h}}}^{{\rm{eff}}}\ne {{ \mathcal T }}_{{\rm{h}}}$ and ${{ \mathcal T }}_{{\rm{A}}\left({\rm{B}}\right),{\rm{l}}}^{{\rm{eff}}}\ne {{ \mathcal T }}_{{\rm{l}}}$. In the quantum adiabatic processes, the energy spectrum of the system evolves while the occupation probabilities within the local two atoms remain invariant. Consequently, two coupled two-level atoms are subjected to quantum adiabatic evolution. Based on current analysis, it is evident that the cycle of the subsystem clearly constitutes a QOE. The (local) efficiency (in the absence of the interaction) is given by
$\begin{eqnarray}{\eta }_{0}=1-{{ \mathcal G }}_{{\rm{l}}}/{{ \mathcal G }}_{{\rm{h}}}.\end{eqnarray}$
It is interesting to know how much maximum efficiency is possible for a given set of parameters. In the case of ${{ \mathcal G }}_{{\rm{h}}}\gt {{ \mathcal G }}_{{\rm{l}}}$, under the positive work condition (PWC), we must have
$\begin{eqnarray}{p}_{1{\rm{h}}}-{p}_{4{\rm{h}}}-{p}_{1{\rm{l}}}+{p}_{4{\rm{l}}}=2\frac{{{\rm{e}}}^{2{\beta }_{{\rm{l}}}{{ \mathcal G }}_{{\rm{l}}}}-{{\rm{e}}}^{2{\beta }_{{\rm{h}}}{{ \mathcal G }}_{{\rm{h}}}}}{\left(1+{{\rm{e}}}^{2{\beta }_{{\rm{h}}}{{ \mathcal G }}_{{\rm{h}}}}\right)\left(1+{{\rm{e}}}^{2{\beta }_{{\rm{l}}}{{ \mathcal G }}_{{\rm{l}}}}\right)}\gt 0.\end{eqnarray}$
Then, we can obtain the additional condition
$\begin{eqnarray}{{ \mathcal G }}_{{\rm{l}}}/{{ \mathcal T }}_{{\rm{l}}}\gt {{ \mathcal G }}_{{\rm{h}}}/{{ \mathcal T }}_{{\rm{h}}}.\end{eqnarray}$
Based on equation (49), we take parameter $\sqrt{{{\rm{\Delta }}}^{2}+{{\rm{\Omega }}}^{2}}$ to satisfy ${ \mathcal G }-\sqrt{{{\rm{\Delta }}}^{2}+{{\rm{\Omega }}}^{2}}\gt 0$, so that ${ \mathcal G }$ is the first excited state, we get
$\begin{eqnarray}\frac{{{ \mathcal G }}_{{\rm{h}}}-\sqrt{{{\rm{\Delta }}}^{2}+{{\rm{\Omega }}}^{2}}}{{{ \mathcal T }}_{{\rm{h}}}}\lt \frac{{{ \mathcal G }}_{{\rm{l}}}-\sqrt{{{\rm{\Delta }}}^{2}+{{\rm{\Omega }}}^{2}}}{{{ \mathcal T }}_{{\rm{l}}}}.\end{eqnarray}$
Since, ${{ \mathcal G }}_{{\rm{h}}}-\sqrt{{{\rm{\Delta }}}^{2}+{{\rm{\Omega }}}^{2}}\gt 0\quad {{ \mathcal G }}_{{\rm{l}}}-\sqrt{{{\rm{\Delta }}}^{2}+{{\rm{\Omega }}}^{2}}\gt 0$ and ${{ \mathcal T }}_{{\rm{h}}}\gt {{ \mathcal T }}_{{\rm{l}}}$, From equation (50), We have an upper bound for the QOE efficiency
$\begin{eqnarray}{\eta }_{{\rm{up}}}={\eta }_{{\rm{O}}}{\left(1-\sqrt{{{\rm{\Delta }}}^{2}+{{\rm{\Omega }}}^{2}}/{{ \mathcal G }}_{{\rm{h}}}\right)}^{-1}\lt {\eta }_{{\rm{C}}}=1-{{ \mathcal T }}_{{\rm{l}}}/{{ \mathcal T }}_{{\rm{h}}},\end{eqnarray}$
where ${\eta }_{{\rm{O}}}=1-{{ \mathcal G }}_{{\rm{l}}}/{{ \mathcal G }}_{{\rm{h}}}$ is the classical Otto engine (COE) efficiency (in the absence of the interaction). Equation (51) constitutes an upper bound to the efficiency of two coupled two-level atomic Otto engine which is tighter than Carnot efficiency.
Finally, the (global) efficiency of the QOE with two baths at identical temperatures $\left({\beta }_{{\rm{h}}}={\beta }_{{\rm{l}}}={\beta }_{{\rm{s}}}\right)$, equations (30), (38), and (44) can be compactly formulated as follows:
$\begin{eqnarray}{\eta }_{{\rm{\Delta }}}=\frac{1-{{ \mathcal G }}_{{\rm{l}}}/{{ \mathcal G }}_{{\rm{h}}}}{1-\frac{{\rm{\Delta }}}{{{ \mathcal G }}_{{\rm{h}}}}\frac{2\sinh \left({\beta }_{{\rm{s}}}{\rm{\Delta }}\right)\sinh \left[{\beta }_{{\rm{s}}}\left({{ \mathcal G }}_{{\rm{h}}}+{{ \mathcal G }}_{{\rm{l}}}\right)/2\right]}{2\cosh \left[{\beta }_{{\rm{s}}}\left({{ \mathcal G }}_{{\rm{h}}}-{{ \mathcal G }}_{{\rm{l}}}\right)/2\right]+\cosh \left[{\beta }_{{\rm{s}}}{{\rm{\Xi }}}_{+{\rm{\Delta }}}\right]+\cosh \left[{\beta }_{{\rm{s}}}{{\rm{\Xi }}}_{-{\rm{\Delta }}}\right]}},\end{eqnarray}$
$\begin{eqnarray}{\eta }_{{\rm{\Omega }}}=\frac{1-{{ \mathcal G }}_{{\rm{l}}}/{{ \mathcal G }}_{{\rm{h}}}}{1-\frac{{\rm{\Omega }}}{{{ \mathcal G }}_{{\rm{h}}}}\frac{2\sinh \left({\beta }_{{\rm{s}}}{\rm{\Omega }}\right)\sinh \left[{\beta }_{{\rm{s}}}\left({{ \mathcal G }}_{{\rm{h}}}+{{ \mathcal G }}_{{\rm{l}}}\right)/2\right]}{2\cosh \left[{\beta }_{{\rm{s}}}\left({{ \mathcal G }}_{{\rm{h}}}-{{ \mathcal G }}_{{\rm{l}}}\right)/2\right]+\cosh \left[{\beta }_{{\rm{s}}}{{\rm{\Xi }}}_{+{\rm{\Omega }}}\right]+\cosh \left[{\beta }_{{\rm{s}}}{{\rm{\Xi }}}_{-{\rm{\Omega }}}\right]}},\end{eqnarray}$
and
$\begin{eqnarray}\eta =\frac{1-{{ \mathcal G }}_{{\rm{l}}}/{{ \mathcal G }}_{{\rm{h}}}}{1-\frac{\sqrt{{{\rm{\Delta }}}^{2}+{{\rm{\Omega }}}^{2}}}{{{ \mathcal G }}_{{\rm{h}}}}\frac{2\sinh \left({\beta }_{{\rm{s}}}\sqrt{{{\rm{\Delta }}}^{2}+{{\rm{\Omega }}}^{2}}\right)\sinh \left[{\beta }_{{\rm{s}}}\left({{ \mathcal G }}_{{\rm{h}}}+{{ \mathcal G }}_{{\rm{l}}}\right)/2\right]}{2\cosh \left[{\beta }_{{\rm{s}}}\left({{ \mathcal G }}_{{\rm{h}}}-{{ \mathcal G }}_{{\rm{l}}}\right)/2\right]+\cosh \left[{\beta }_{{\rm{s}}}{{\rm{\Xi }}}_{+}\right]+\cosh \left[{\beta }_{S}{{\rm{\Xi }}}_{-}\right]}},\end{eqnarray}$
where Ξ± = $\sqrt{{{\rm{\Delta }}}^{2}+{{\rm{\Omega }}}^{2}}$ $\pm \,\left({{ \mathcal G }}_{{\rm{h}}}-{{ \mathcal G }}_{{\rm{l}}}\right)/2$, Ξ±Δ = ${\rm{\Delta }}\,\pm \left({{ \mathcal G }}_{{\rm{h}}}-{{ \mathcal G }}_{{\rm{l}}}\right)/2$, Ξ±Ω = ${\rm{\Omega }}\pm \left({{ \mathcal G }}_{{\rm{h}}}-{{ \mathcal G }}_{{\rm{l}}}\right)/2$.
The interaction between the system and the reservoirs gives rise to entropy production arising from quantum coherence. This entropy can be quantitatively characterized and is directly related to the efficiency of the heat engine. The fundamental principles underlying the second law of thermodynamics remain inviolate nevertheless, the QOE exhibits distinct characteristics that are unattainable in classical engines.

7. Conclusions

In summary, we have studied the quantum Otto engine cycle with a pair of two-level atoms working system. Based on the thermal coherence and the first law of thermodynamics in a quantum system, expressions for the heat transferred, the work and the efficiency have been obtained. It is found that the work and efficiency does not change monotonically with quantum coherence $\left({{ \mathcal C }}_{{l}_{1}{\rm{h}}},{{ \mathcal C }}_{{l}_{1}{\rm{l}}}\right)$. The coupling constant Ω and the frequency detuning not only affect the shape of the efficiency but also affect its value. The acceptable range of ${{ \mathcal C }}_{{l}_{1}{\rm{h}}}$ and ${{ \mathcal C }}_{{l}_{1}{\rm{l}}}$ varies with different coupling constant and frequency detuning values. Our study reveals that quantum coherence can be enhanced by increasing the coupling constant or reducing the frequency detuning, accompanied by a corresponding reduction in the operational ranges for positive work and thermodynamic efficiency. When the coupling constant is large enough, the maximum efficiency approaches the Carnot efficiency. It is expected that our work will be of some help in the process of realizing quantum Otto engine.

This work is supported by University-Industry Collaborative Education Program (Project No. 220506627183928).

1
Chitambar E, Gour G 2019 Quantum resource theories Rev. Mod. Phys. 912 025001

DOI

2
Streltsov A, Adesso G, Plenio M B 2017 Colloquium: quantum coherence as a resource Rev. Mod. Phys. 89 041003

DOI

3
Prech K, Potts P P, Landi G T 2025 Role of quantum coherence in kinetic uncertainty relations Phys. Rev. Lett. 134 020401

DOI

4
Palacios A 2024 Role of coherence in many-body Quantum Reservoir Computing Commun. Phys. 7 369

DOI

5
Xi Z, Li Y, Fan H 2015 Quantum coherence and correlations in quantum system Sci. Rep. 5 10922

DOI

6
Manzano G, Plastina F, Zambrini R 2018 Optimal work extraction and thermodynamics of quantum measurements and correlations Phys. Rev. Lett. 121 120602

DOI

7
Tavakoli A, Pozas-Kerstjens A, Brown P, Araújo M 2024 Semidefinite programming relaxations for quantum correlations Rev. Mod. Phys. 96 045006

DOI

8
Bylicka B, Tukiainen M, Chruściński D, Piilo J, Maniscalco S 2016 Thermodynamic power of non-Markovianity Sci. Rep. 6 27989

DOI

9
Pezzutto M, Paternostro M, Omar Y 2019 An out-of-equilibrium non-Markovian quantum heat engine Quantum Sci. Technol. 4 025002

DOI

10
Manzano G, Giorgi G L, Fazio R, Zambrini R 2019 Boosting the performance of small autonomous refrigerators via common environmental effects New J. Phys. 21 123026

DOI

11
Wang C, Xu D, Liu H, Gao X 2019 Thermal rectification and heat amplification in a nonequilibrium V-type three-level system Phys. Rev. E 99 042102

DOI

12
Doyeux P, Leggio B, Messina R, Antezza M 2016 Quantum thermal machine acting on a many-body quantum system: role of correlations in thermodynamic tasks Phys. Rev. E 93 022134

DOI

13
Skrzypczyk P, Short A J, Popescu S 2014 Work extraction and thermodynamics for individual quantum systems Nat. Commun. 5 4185

DOI

14
Li H, Zou J, Yu W L, Xu B M, Li J G, Shao B 2014 Quantum coherence rather than quantum correlations reflect the effects of a reservoir on a system’s work capability Phys. Rev. E 89 052132

DOI

15
Li L, Zou J, Li H, Xu B M, Wang Y M, Shao B 2018 Effect of coherence of nonthermal reservoirs on heat transport in a microscopic collision model Phys. Rev. E 97 022111

DOI

16
Dag C B, Niedenzu W, Ozaydin F, Müstecaplıoğlu O E, Kurizki G 2019 Temperature control in dissipative cavities by entangled dimers J. Phys. Chem. C 123 4035

DOI

17
Kammerlander P, Anders J 2016 Coherence and measurement in quantum thermodynamics Sci. Rep. 6 22174

DOI

18
Lorenzo S, McCloskey R, Ciccarello F, Paternostro M, Palma G M 2015 Landauer’s principle in multipartite open quantum system dynamics Phys. Rev. Lett. 115 120403

DOI

19
Latune C L, Sinayskiy I, Petruccione F 2019 Quantum coherence, many-body correlations, and non-thermal effects for autonomous thermal machines Sci. Rep. 9 3191

DOI

20
Tirone S, Salvia R, Chessa S, Giovannetti V 2025 Quantum work extraction efficiency for noisy quantum batteries: the role of coherence Phys. Rev. A 111 012204

DOI

21
Manatuly A, Niedenzu W, Román-Ancheyta R, Çakmak B, Müstecaplıoǧlu Ö.E., Kurizki G 2019 Collectively enhanced thermalization via multiqubit collisions Phys. Rev. E 99 042145

DOI

22
Daǧ C B, Niedenzu W, Ozaydin F, Müstecaplıoǧlu Ö.E., Kurizki G 2019 Temperature control in dissipative cavities by entangled dimers J. Phys. Chem. C 123 4035

DOI

23
Scully M O, Zubairy M S, Agarwal G S, Walther H 2003 Extracting Work from a Single Heat Bath via Vanishing Quantum Coherence Science 299 862

DOI

24
Scully M O, Lamb W E 1967 Quantum theory of an optical maser: I. General theory Phys. Rev. 159 208

DOI

25
Klatzow J, Becker J N, Ledingham P M, Weinzetl C, Kaczmarek K T, Saunders D J, Nunn J, Walmsley I A, Uzdin R, Poem E 2019 Experimental demonstration of quantum effects in the operation of microscopic heat engines Phys. Rev. Lett. 122 110601

DOI

26
Sarlette A, Raimond J M, Brune M, Rouchon P 2011 Stabilization of nonclassical states of the radiation field in a cavity by reservoir engineering Phys. Rev. Lett. 107 010402

DOI

27
Myatt C J, King B E, Turchette Q A, Sackett C A, Kielpinski D, Itano W M, Monroe C, Wineland D J 2000 Decoherence of quantum superpositions through coupling to engineered reservoirs Nature 403 269

DOI

28
Verstraete F, Wolf M M, Cirac J I 2009 Quantum computation and quantum-state engineering driven by dissipation Nat. Phys. 5 633

DOI

29
Wang Y D, Clerk A A 2013 Reservoir-engineered entanglement in optomechanical systems Phys. Rev. Lett. 110 253601

DOI

30
Wu J L, Silbey R J, Cao J S 2013 Generic mechanism of optimal energy transfer efficiency: a scaling theory of the mean first-passage time in exciton systems Phys. Rev. Lett. 110 200402

DOI

31
Williamson L A, Cerisola F, Anders J, Davis M J 2025 Extracting work from coherence in a two-mode BoseEinstein condensate Quantum Sci. Technol. 10 015040

DOI

32
Rodrigues F L, De Chiara G, Paternostro M, Landi G T 2019 Thermodynamics of weakly coherent collisional models Phys. Rev. Lett. 123 140601

DOI

33
Scully M O, Chapin K R, Dorfman K E, Kim M B, Svidzinsky A 2011 Quantum heat engine power can be increased by noise-induced coherence Proc. Natl. Acad. Sci. USA 108 15097

DOI

34
Yao Y 2015 Spin-boson theory for charge photogeneration in organic molecules: role of quantum coherence Phys. Rev. B 91 045421

DOI

35
Dorfman K E, Xu D, Cao J 2018 Efficiency at maximum power of a laser quantum heat engine enhanced by noise induced coherence Phys. Rev. E 97 042120

DOI

36
Holubec V, Novotný T 2018 Effects of noise-induced coherence on the performance of quantum absorption refrigerators J. Low Temp. Phys. 192 147

DOI

37
Feyisa C G, Jen H H 2024 Trapped-atom Otto engine with light-induced dipole-dipole interactions New J. Phys. 26 093039

DOI

38
Um J, Dorfman K E, Park H 2022 Coherence-enhanced quantum-dot heat engine Phys. Rev. Research 4 L032034

DOI

39
Aimet S, Kwon H 2023 Engineering a heat engine purely driven by quantum coherence Phys. Rev. A 107 012221

DOI

40
Holdsworth T, Kawai R 2022 Heat pump driven entirely by quantum correlation Phys. Rev. A 106 062604

DOI

41
Hammam K, Manzano M, De Chiara G 2024 Quantum coherence enables hybrid multitask and multisource regimes in autonomous thermal machines Phys. Rev. Research 6 013310

DOI

42
Thomas G, Johal R S 2011 Coupled quantum Otto cycle Phys. Rev. E 83 031135

DOI

43
Mehta V, Johal R S 2017 Quantum Otto engine with exchange coupling in the presence of level degeneracy Phys. Rev. E 96 032110

DOI

44
Haroche S 2013 Nobel Lecture: controlling photons in a box and exploring the quantum to classical boundary Rev. Mod. Phys. 85 1083

DOI

45
Gemmer J, Michel M, Mahler G 2009 Quantum Thermodynamics-Emergence of Thermodynamic Behavior Within Composite Quantum Systems Vol. 784 Springer

46
Craig D P, Thirunamachandran T 1998 Molecular Quantum Electrodynamics: An Introduction to Radiation-molecule Interactions Dover Books on Chemistry Series Dover

47
Oria M, Chevollier M, Bloch D, Firchet M F, Ducloy M 1991 Spectral observation of surface-induced van der Waals attraction on atomic vapour Europhys. Lett. 14 527

DOI

48
Peng J, Li G 1993 Effects of the dipole-dipole interaction on dynamic properties and atomic coherent trapping of a two-atom system Phys. Rev. A 47 4212

DOI

49
Wang H, Liu S, He J 2009 Thermal entanglement in two-atom cavity QED and the entangled quantum Otto engine Phys. Rev. E 79 041113

DOI

50
Scheibner M, Schmidt T, Worschech L, Forchel A, Bacher G, Passow T, Homme D 2007 Superradiance of quantum dots Nat. Phys. 3 106

DOI

51
Hennessy K, Badolato A, Winger M, Gerace D, Atatüre M, Gulde S, Fält S, Hu E L, Imamoǧlu A 2007 Quantum nature of a strongly coupled single quantum dot-cavity system Nature 445 896

DOI

52
Phillips W D, Gould P L, Lett P D 1988 Cooling, stopping, and trapping atoms Science 239 877

DOI

53
Chu S 2002 Cold atoms and quantum control Nature 416 206

DOI

54
Ficek Z, Tanaś R 2002 Entangled states and collective nonclassical effects in two-atom systems Phys. Rep. 372 369

DOI

55
Tanaś R, Ficek Z 2003 Entanglement of two atoms Fortschr. Phys. 51 230

DOI

56
Yu C, Song H 2009 Bipartite concurrence and localized coherence Phys. Rev. A 80 022324

DOI

57
Baumgratz T, Cramer M, Plenio M B 2014 Quantifying coherence Phys. Rev. Lett. 113 140401

DOI

Outlines

/