Welcome to visit Communications in Theoretical Physics,
Condensed Matter Theory

The geometric impact of the quantum Hall interface on a cone

  • Jie Li 1 ,
  • Qi Li 2, 3 ,
  • Zi-Xiang Hu , 1, *
Expand
  • 1Department of Physics and Chongqing Key Laboratory for Strongly Coupled Physics, Chongqing University, Chongqing 401331, China
  • 2GBA Branch of Aerospace Information Research Institute, Chinese Academy of Sciences, Guangzhou 510535, China
  • 3Guangdong Provincial Key Laboratory of Terahertz Quantum Electromagnetics, Guangzhou 510700, China

Author to whom any correspondence should be addressed.

Received date: 2025-02-07

  Revised date: 2025-06-02

  Accepted date: 2025-07-09

  Online published: 2025-09-02

Supported by

National Natural Science Foundation of China https://doi.org/10.13039/501100001809(12347101)

Fundamental Research Funds for the Central Universities https://doi.org/10.13039/501100012226(2024CDJXY022)

Guangdong Provincial Key Laboratory(2019B121203002)

Science and Technology Planning Project of Guangdong Province https://doi.org/10.13039/501100012245(2019B090909011)

Key Research and Development Program of Guangdong Province(2019B090917007)

Copyright

© 2025 Institute of Theoretical Physics CAS, Chinese Physical Society and IOP Publishing. All rights, including for text and data mining, AI training, and similar technologies, are reserved.
This article is available under the terms of the IOP-Standard License.

Abstract

Recently, quantum Hall interface has become a popular subject of research; distinct from that of the quantum Hall edge, which is constrained by external background confinement, the interface has the freedom to move, likely towards a string-like state. In disk geometry, it was known that the interface energy has an extra correction due to its curvature which depends on the size of the disk. In this work, we analytically calculate the energy of the integer quantum Hall interface on a cone surface which has the advantage of its curvature being more easily adjustable. By tuning the length and curvature of the interface by the cone angle parameter β, we analyze the dependence of the quantum Hall interface energy on the curvature and verify this geometric correction. Moreover, we find that the tip of the cone geometry has an extra contribution to the energy that reflects on the u2u4 term.

Cite this article

Jie Li , Qi Li , Zi-Xiang Hu . The geometric impact of the quantum Hall interface on a cone[J]. Communications in Theoretical Physics, 2026 , 78(1) : 015702 . DOI: 10.1088/1572-9494/aded75

1. Introduction

Since the discovery of the quantum Hall (QH) effect, various exotic topologically ordered phases have been uncovered [13], establishing it as one of the most critical research topics in condensed matter physics. The hallmark experimental signature of the QH effect is its quantized Hall conductance (a transverse response to the electromagnetic field), a characteristic determined by the system’s topological properties, and remains unaffected by specific details like impurities and defects, highlighting the topological robustness of the QH state. Beyond the usual descriptions of a QH system’s electromagnetic response, the topological state also responds to the geometric manifold in which the electrons reside. For example, the fractional quantum Hall (FQH) state on a torus exhibits topological degeneracy, whereas on a sphere it has a topological shift due to the geometric curvature effect. The geometric responses, including the anomalous viscosity [46] and the gravitational anomaly [79], are lesser known but remain topological features of the QH state. Haldane emphasized that the degree of freedom of the internal geometric leads to the dynamic variation of the guiding-center metric [10, 11]. Building on earlier pioneering work by Wen and Zee [12], more efforts have been dedicated [1315] to studying the response of FQH states' changes in spatial geometry and topology, such as points of singular curvature in real space or geometries with different topological genus.
In a QH liquid with a boundary, the electrons prefer to stay far away from each other since the Coulomb repulsive interaction, the location of its edge is typically determined by the external confining potential. This potential raises Landau levels near the edge, thereby maintaining the electrons in close proximity to form a droplet. It also influences the edge spectrum, as well as other static and dynamic characteristics of the edge [16]. The situation becomes significantly different when dealing with interfaces. Take, for example, the magnetic domains within an Ising ferromagnet; here, the domain walls act as interfaces. Because of polarization degeneracy, these domain walls are free to move. Although interfaces in practical scenarios might be fixed by imperfections or other external influences, in an idealized context, there is no analogous potential that confines the interfaces. In this scenario, the interface behaves as an extended string-like object that can move freely in the (2+1) dimensional space-time [17]. Different QH phases can live in various regions of the sample. A notable example receiving significant attention is the FQH state at ν = 5/2 in the GaAs-based quantum well [18, 19], where the two candidate wave functions, the Pfaffian and anti-Pfaffian states are exactly degenerate in the ideal limit (without particle-hole asymmetry and extrinsic effects). In this limit, the pinning effects of the domain walls vanish, rendering them as string-like interfaces. On the one hand, the system’s low-energy physics are still governed by area-preserving deformations of the QH liquid [20, 21], also known as edge waves [22]. In contrast, the string-like nature of the interface significantly alters the excitation spectra, leading to intriguing new physics. Recently, Li et al [23] explored the qualitative differences between edges and interfaces in the disk geometry. Their findings suggest that bosonic interface modes exhibit cubic dispersion, contrasting the linear dispersion observed in edge excitations. However, theoretical forecasts diverge from numerical results at high momentum. Subsequently, the authors of [24] regard the higher-order correction as the geometric curvature of the interface. In doing so, they derive a more precise low-energy dispersion relation that closely matches the numerical simulations.
Recent experiments have demonstrated that Landau levels of photons can be produced on a cone within a synthetic magnetic field created by continuous photons [2530], thus establishing the QH system in a new curved space and opening avenues for studying the effects of varying spatial geometry and topology [13, 15, 31], especially the unique curvature at the apex of cone geometry holds significant physical implications. In this case, the boundary separating two distinct states has a more easily tuneable curvature not only by increasing the size of the system but also by changing the angle of the cone geometry [23, 3240]. Based on earlier analytical studies on QH systems in disk geometry [4144], we investigate the geometric impact of the QH interface on a cone using analytical calculations and numerical integration. This paper is organized as follows. Section 2 is derived of analytical formulas for the Coulomb interaction and hard-core interaction within the IQH system in cone geometry. Section 3 compares the analytical results with those obtained from exact diagonalization. When the interactions are attractive, the boundary is considered as the interface between the quantum Hall liquid and the vacuum. Due to the non-uniform density at the apex of the cone, there is an additional energy contribution at tip, which we calculated using the Hartree–Fock approximation. After considering the tip energy, we analyzed the dependence of the QH interface energy on curvature. Finally, we summarize our work in section 4.

2. Analytical results of the energy

As sketched in figures 1(a) and (b), the cone can be made up of a disk. A sector is cut from the disk at an angle of 2π/β, and the two edges obtained are glued together. The bottom of the cone forms a new circle based on the arc length of the sector. Therefore, the parameter β can control the length and curvature of the boundary with a fixed surface area at a given number of electrons and the filling factor. When β = 1, it returns to disk geometry; as β → , it becomes a thin cylinder. Assuming a uniform magnetic field passes through the surface, and the effective single-particle Hamiltonian is $H=\frac{1}{2m}{({\boldsymbol{p}}-e{\boldsymbol{A}}/c)}^{2}$. In cone geometry, the position of the electron is defined by complex coordinates z = (x + iy)/lB = (r/lB)eiθ, where the angle θ is confined to the interval [0, 2π/β] and ${l}_{B}=\sqrt{\hslash c/eB}$ is the magnetic length. In the lowest Landau level with a symmetric gauge, the solution of single particle wave function is
$\begin{eqnarray}{\psi }_{\beta m}({\boldsymbol{r}})=\sqrt{\frac{\beta }{2\pi {l}_{B}^{2}{2}^{\beta m}(\beta m)!}}{{\rm{e}}}^{{\rm{i}}\beta m\theta }{(r/{l}_{B})}^{\beta m}{{\rm{e}}}^{-{r}^{2}/4{l}_{B}^{2}}.\end{eqnarray}$
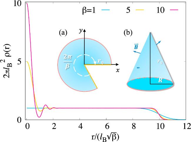
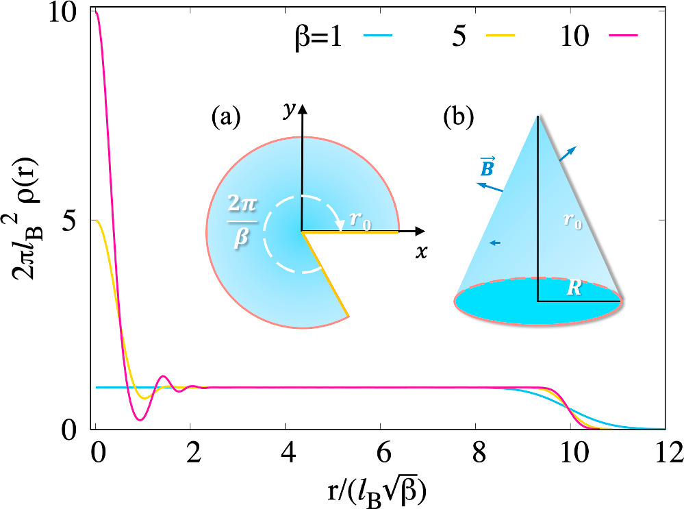
Figure 1. The radial density for 50 electrons on a cone. The two inserted plots are the sketch of a cone composed of planar disks. (a) Cut a 1/β sector from a disk with a radius of r0, and stick the two edges (yellow solid line) together to form a cone. (b) For a system of N particles, ${r}_{0}=\sqrt{2N\beta }{l}_{B}$, $R=\sqrt{2N/\beta }{l}_{B}$. The bottom of the cone forms a new circle with a radius of R, this brings a new curvature $k=\sqrt{\beta /(2N)}/{l}_{B}$.
In this case, the wave function of a ν = 1 IQH state is [15]
$\begin{eqnarray}{\rm{\Psi }}\left(\left\{z\right\}\right)=\displaystyle \prod _{i\lt j}^{}\left({z}_{i}^{\beta }-{z}_{j}^{\beta }\right)\exp \left(-\displaystyle \sum _{k}^{}\frac{{\left|{z}_{k}\right|}^{2}}{4{l}_{B}^{2}}\right),\end{eqnarray}$
in disk geometry with β = 1, this state has a uniform density ${\rho }_{0}=1/2\pi {l}_{B}^{2}$ in the bulk. While β > 1, as shown in figure 1, there are strong fluctuations within a certain range in a small area near the tip of the cone. As β increases, the accumulation of charge at the tip leads to the formation of an interface between the charge density wave (CDW) near the tip and the QH state [31]. In the case of integer filling, the density remains unaffected by the details of the electron-electron interaction because each orbit is fully occupied by a single electron.
Following previous studies, to create an interface rather than a QH edge, we use the attractive forces between the electrons, eliminating the necessity of a confinement potential. Since we consider an IQH interface with a full filled Landau level, the location of the interface is actually at the edge of the cone as labeled in red line in the inserted figure (b) of figure 1. As we increase the number of unoccupied Landau orbits, the difference between the QH edge and QH interface becomes evident. In the case of the QH edge, electrons form a ring shape near the physical boundary due to repulsion. Conversely, at the QH interface, electrons remain as a droplet at the center due to attraction. For a N-electron system, we examine the Coulomb interaction represented as $-\frac{{e}^{2}}{\epsilon | {{\boldsymbol{r}}}_{{\bf{1}}}-{{\boldsymbol{r}}}_{{\bf{2}}}| }$ where ε is permittivity and also the model interaction with a negative V1 Haldane pseudopotential. For the Coulomb interaction, this interaction is separable into two parts, namely, the direct interaction energy, denoted as Edir, and the exchange interaction energy Eex. We aim to compute both Edir and Eex analytically in the following.
Direct interaction: for negative Coulomb interaction, the direct interaction energy Edir is defined as
$\begin{eqnarray}{E}_{{\rm{dir}}}=-\frac{{e}^{2}}{2\epsilon }\int {{\rm{d}}}^{2}{r}_{1}\rho ({{\boldsymbol{r}}}_{{\bf{1}}})\int {{\rm{d}}}^{2}{r}_{2}\rho ({{\boldsymbol{r}}}_{{\bf{2}}})\frac{1}{| {{\boldsymbol{r}}}_{{\bf{1}}}-{{\boldsymbol{r}}}_{{\bf{2}}}| }.\end{eqnarray}$
For N electrons at filling ν = 1, the attractive interaction forces the electrons to form a cluster which does not differ from the IQH state, namely the electrons occupy consecutive N orbits. Therefore, the electron density at position r is $\rho ({\boldsymbol{r}})={\sum }_{m=0}^{N-1}| {\psi }_{\beta m}({\boldsymbol{r}}){| }^{2}$. After applying a Fourier transform to the $\frac{1}{| {{\boldsymbol{r}}}_{{\bf{1}}}-{{\boldsymbol{r}}}_{{\bf{2}}}| }$ and then performing the integration over the angular variables, equation (3) could be simplified in to a one-dimensional integration form
$\begin{eqnarray}{E}_{{\rm{dir}}}=-\frac{{e}^{2}}{\epsilon {l}_{B}}\frac{1}{2}\int {\rm{d}}q{{\rm{e}}}^{-{q}^{2}}{\left[\displaystyle \sum _{m=0}^{N-1}{L}_{(\beta m)}({q}^{2}/2)\right]}^{2},\end{eqnarray}$
where Lm(x) are the Laguerrel polynomials. This could be easily calculated numerically for any system size.
Exchange interaction: in the same manner, the exchange interaction energy Eex is
$\begin{eqnarray}{E}_{{\rm{ex}}}=\frac{{e}^{2}}{2\epsilon }\int {{\rm{d}}}^{2}{r}_{1}\int {{\rm{d}}}^{2}{r}_{2}| \rho ({{\boldsymbol{r}}}_{{\bf{1}}},{{\boldsymbol{r}}}_{{\bf{2}}}){| }^{2}\frac{1}{| {{\boldsymbol{r}}}_{{\bf{1}}}-{{\boldsymbol{r}}}_{{\bf{2}}}| }.\end{eqnarray}$
Here, we need to use the square of the two-particle density function
$\begin{eqnarray*}{\left|\rho ({{\boldsymbol{r}}}_{{\bf{1}}},{{\boldsymbol{r}}}_{{\bf{2}}})\right|}^{2}={\left|\displaystyle \sum _{m=0}^{N-1}{\psi }_{\beta m}^{* }({{\boldsymbol{r}}}_{{\bf{1}}}){\psi }_{\beta m}({{\boldsymbol{r}}}_{{\bf{2}}})\right|}^{2}.\end{eqnarray*}$
The computation of Eex can be split into two components, denoted as ${E}_{{\rm{ex}}}^{1}$ and ${E}_{{\rm{ex}}}^{2}$. Particularly, ${E}_{{\rm{ex}}}^{1}$ includes the terms that share an identical summation index,
$\begin{eqnarray}\begin{array}{rcl}{E}_{{\rm{ex}}}^{1} & = & \frac{{\beta }^{2}{e}^{2}{\rho }_{0}^{2}}{2\epsilon }\displaystyle \int {{\rm{d}}}^{2}{r}_{1}\displaystyle \int {{\rm{d}}}^{2}{r}_{2}\frac{{{\rm{e}}}^{-({r}_{1}^{2}+{r}_{2}^{2})/2{l}_{B}^{2}}}{| {{\boldsymbol{r}}}_{{\bf{1}}}-{{\boldsymbol{r}}}_{{\bf{2}}}| }\\ & & \times \displaystyle \sum _{m=0}^{N-1}{\left[\frac{1}{(\beta m)!}{\left(\frac{{r}_{1}{r}_{2}}{2{l}_{B}^{2}}\right)}^{(\beta m)}\right]}^{2},\end{array}\end{eqnarray}$
and ${E}_{{\rm{ex}}}^{2}$ includes the terms that share different summation index $m\ne {m}^{{\prime} }$,
$\begin{eqnarray}\begin{array}{rcl}{E}_{{\rm{ex}}}^{2} & = & \frac{{\beta }^{2}{e}^{2}{\rho }_{0}^{2}}{2\epsilon }\displaystyle \int {{\rm{d}}}^{2}{r}_{1}\displaystyle \int {{\rm{d}}}^{2}{r}_{2}\frac{{{\rm{e}}}^{-({r}_{1}^{2}+{r}_{2}^{2})/2{l}_{B}^{2}}}{| {{\boldsymbol{r}}}_{{\bf{1}}}-{{\boldsymbol{r}}}_{{\bf{2}}}| }\\ & & \times \displaystyle \sum _{m\ne {m}^{{\prime} }}^{N-1}\displaystyle \sum _{{m}^{{\prime} }=0}^{N-1}\frac{{{\rm{e}}}^{{\rm{i}}\beta (m-{m}^{{\prime} })({\theta }_{2}-{\theta }_{1})}}{(\beta m)!(\beta {m}^{{\prime} })!}{\left(\frac{{r}_{1}{r}_{2}}{2{l}_{B}^{2}}\right)}^{\beta (m+{m}^{{\prime} })}.\end{array}\end{eqnarray}$
Similarly, by utilizing the Fourier transform of $\frac{1}{| {{\boldsymbol{r}}}_{{\bf{1}}}-{{\boldsymbol{r}}}_{{\bf{2}}}| }$ and executing the angular integration, each of these terms can be described as a one-dimensional integral
$\begin{eqnarray}{E}_{{\rm{ex}}}^{1}=\frac{{e}^{2}}{2\epsilon {l}_{B}}\int {\rm{d}}q{{\rm{e}}}^{-{q}^{2}}\displaystyle \sum _{m=0}^{N-1}{\left[{L}_{\beta m}({q}^{2}/2)\right]}^{2},\end{eqnarray}$
and
$\begin{eqnarray}\begin{array}{rcl}{E}_{{\rm{ex}}}^{2} & = & \frac{{e}^{2}}{\epsilon {l}_{B}}\displaystyle \sum _{m={m}^{{\prime} }+1}^{N-1}\displaystyle \sum _{{m}^{{\prime} }=0}^{N-2}\frac{(\beta {m}^{{\prime} })!{2}^{\beta {m}^{{\prime} }}}{(\beta m)!{2}^{\beta m}}\\ & & \times \displaystyle \int {\rm{d}}q{q}^{2\beta (m-{m}^{{\prime} })}{{\rm{e}}}^{-{q}^{2}}{\left[{L}_{\beta {m}^{{\prime} }}^{\beta (m-{m}^{{\prime} })}({q}^{2}/2)\right]}^{2}.\end{array}\end{eqnarray}$
To sum up, the complete energy arising from the Coulomb interaction among electrons is the aggregate of the aforementioned direct and exchange interaction energies:
$\begin{eqnarray}{E}_{{{\rm{V}}}_{{\rm{C}}}}={E}_{{\rm{dir}}}+{E}_{{\rm{ex}}}^{1}+{E}_{{\rm{ex}}}^{2}.\end{eqnarray}$
According to [23], we employ the Haldane V1 pseudopotential, commonly referred to as a hard-core interaction, to simply simulate electron forces. Implementing both hard-core and attractive interactions in GaAs/AlGaAs heterostructure materials is challenging. However, attractive interactions can be achieved in certain specific systems [4552]. One such example is dilute ultracold atomic gases that exhibit dipole-dipole interactions within a rapidly rotating trap. Specifically, by adjusting the orientation of the dipoles relative to the rotating axis, an attractive interaction can be induced, leading to the formation of an IQH droplet. Another example is that tuning the scattering length via Feshbach resonance enables the induction of attractive interactions in ultracold Fermi gases, thus providing an experimental platform for studying strongly correlated phenomena, such as quantum Hall states [5355]. In this case, the integral form of the interaction energy is expressed as
$\begin{eqnarray}\begin{array}{rcl}{E}_{{{\rm{V}}}_{1}} & = & -\frac{{e}^{2}}{\epsilon {l}_{B}}\displaystyle \int {\rm{d}}k{{\rm{e}}}^{-{k}^{2}}{\left[\displaystyle \sum _{m=0}^{N-1}{L}_{(\beta m)}({k}^{2}/2)\right]}^{2}k{L}_{1}({k}^{2}/{l}_{B}^{2})\\ & & +\frac{{e}^{2}}{\epsilon {l}_{B}}\displaystyle \int {\rm{d}}k{{\rm{e}}}^{-{k}^{2}}\displaystyle \sum _{m=0}^{N-1}{\left[{L}_{\beta m}({k}^{2}/2)\right]}^{2}k{L}_{1}({k}^{2}/{l}_{B}^{2})\\ & & +\frac{2{e}^{2}}{\epsilon {l}_{B}}\displaystyle \sum _{m={m}^{{\prime} }+1}^{N-1}\displaystyle \sum _{{m}^{{\prime} }=0}^{N-2}\frac{(\beta {m}^{{\prime} })!{2}^{\beta {m}^{{\prime} }}}{(\beta m)!{2}^{\beta m}}\displaystyle \int {\rm{d}}k{k}^{2\beta (m-{m}^{{\prime} })}\\ & & \times \,{{\rm{e}}}^{-{k}^{2}}{\left[{L}_{\beta {m}^{{\prime} }}^{\beta (m-{m}^{{\prime} })}({k}^{2}/2)\right]}^{2}k{L}_{1}({k}^{2}/{l}_{B}^{2}),\end{array}\end{eqnarray}$
in which the three integrals corresponding to direct and two exchange interactions respectively. It should be noted that the V1 interaction comprises equivalent direct and exchange interactions. Moreover, it is well known that the Laguerre function Ln(x) often encounters convergence difficulties when performing integrals, especially over infinite ranges. As the order n increases, the Laguerre polynomials become significantly oscillatory, making the integration more complex over specific intervals. Additionally, as n grows, the zeros of the Laguerre function become closely packed, which might render numerical integration methods less reliable in those regions or require additional techniques to address them. Here, we define ${\left[{\sum }_{m=0}^{N-1}{L}_{(\beta m)}({k}^{2}/2)\right]}^{2}k{L}_{1}({k}^{2}/{l}_{B}^{2})=f(k)$ in equation (11) and determine the coefficient Cn in front of kn, resulting in f(k) = ∑n=0Cnkn. Reformulate equation (11) as
$\begin{eqnarray}{E}_{{{\rm{V}}}_{1}}=\frac{{e}^{2}}{\epsilon {l}_{B}}\displaystyle \sum _{n=0}{C}_{n}{\rm{\Gamma }}\left[\frac{1+n}{2}\right].\end{eqnarray}$
This method eliminates the requirement for integrating the Laguerre function, thereby enhancing the accuracy of the calculations. Essentially, the energy for any number of particles N can be obtained using equation (12).

3. Numerical results

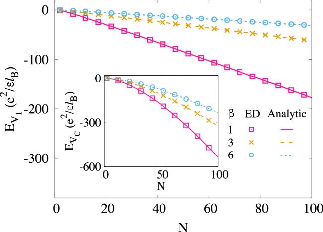
At first, to demonstrate the validity, we compare the analytical integration results with numerical ones from exact diagonalization (ED), applicable to both the Coulomb and V1 model Hamiltonians with various values of β. We would like to point out that diagonalization is not involved here, as the IQH state possesses a singular basis. In this scenario, we determine the energy directly from the occupation space similarly to how the FQH ground state is derived. As shown in figure 2, the numerical findings align closely with the analytical integration.
Figure 2. The dependence between the number of electrons N and ${E}_{{{\rm{V}}}_{1}}$ and ${E}_{{{\rm{V}}}_{{\rm{C}}}}$, respectively. The analytical results are in high agreement with ED. In the same system, both the absolute values of ${E}_{{{\rm{V}}}_{1}}$ and ${E}_{{{\rm{V}}}_{{\rm{C}}}}$ decrease as β diminishes, but ${E}_{{{\rm{V}}}_{1}}$ decreases at a slower rate.
The results of the inset in figure 2 indicate that in the same system, as β increases, the absolute value of ${E}_{{{\rm{V}}}_{{\rm{C}}}}$ decreases, mainly because the increase in β leads to an increase in orbital spacing, and the Coulomb interaction is inversely proportional to the relative coordinates of the particles, thus resulting in a decrease in the absolute value of ${E}_{{{\rm{V}}}_{{\rm{C}}}}$ with increasing β. The findings in figure 2 for the V1 interaction demonstrate a linear behavior of ${E}_{{{\rm{V}}}_{1}}$ with increasing system size in cone geometry. This linear decrease is slower than the Coulomb interaction.
Similar to disk geometry, in a finite system with V1 = −1 interaction, we divide the energy into bulk energy and interface energy
$\begin{eqnarray}{E}_{{{\rm{V}}}_{1}}=-A2N+B\frac{4}{\sqrt{8{\pi }^{3}}}\frac{2\pi }{{k}_{1}}+{ \mathcal O }(k),\end{eqnarray}$
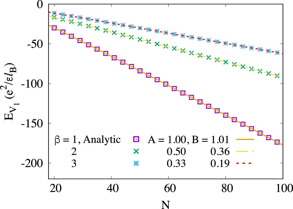
the first term corresponds to the bulk contribution in the thermodynamic limit, while the second term correspond to the finite-size interface energy contributions. When β = 1, the IQH state for N electrons has radius $\sqrt{2N}$ in units of lB and is taken as unity. Therefore, ${k}_{1}=1/\sqrt{2N}$ is the curvature of the interface. Compared to [23], we have two additional undetermined coefficients, A and B, which are associated with β. Therefore, A = B = 1 corresponds to the disk geometry with β = 1. The results of ${E}_{{{\rm{V}}}_{1}}$ can help establish the connection between A, B, and β. Taking β = 1 − 3 as examples, for a system with 20 − 100 electrons, ${E}_{{{\rm{V}}}_{1}}$ is shown in figure 3. The coefficients A and B are treated as fitting parameters and fitting is performed at different values of β using equation (13).
Figure 3. The variation of ${E}_{{{\rm{V}}}_{1}}$ in systems containing 20–100 electrons at β = 1 − 3.  Use equation (13) to fit the ${E}_{{{\rm{V}}}_{1}}$, and obtain A and B under different β.
When β = 1, we get the fitting parameters A = 1.0 and B = 1.01 which are expected for the disk geometry. If β > 1, both A and B decrease with an increase in β. In order to determine the relationship between A, B, and β, where β ranges from 1 to 16, we illustrate this correlation in figure 4. Our findings indicate that $A\approx \frac{1}{\beta }$ and $B\approx \frac{1}{\beta \sqrt{\beta }}$. Therefore, according to our fitting results, the interaction energy on a cone could be written as:
$\begin{eqnarray}{E}_{{{\rm{V}}}_{1}}=\frac{1}{\beta }\left(-2N+\frac{1}{\sqrt{\beta }}\frac{4}{\sqrt{8{\pi }^{3}}}\frac{2\pi }{{k}_{1}}\right)+{ \mathcal O }(k).\end{eqnarray}$
The overall factor 1/β can be interpreted as follows. As cone geometry consists of sectors with an angle of 2π/β, representing 1/β of a full circle, the energy is consequently reduced by a factor of β. Apart from that, because of string-like characteristics, the interface energy is linked to the entire length of the interface $2\pi \sqrt{2N/\beta }$. Consequently, in contrast to the disk geometry, the interface energy in the cone geometry includes an extra correction factor of $1/\sqrt{\beta }$.
Figure 4. In systems N = 20 − 100, the dependence of the coefficients AB on β and mark the corresponding error bars. By performing power fitting for each coefficient, we have derived $A\approx \frac{1}{\beta },B\approx \frac{1}{\beta \sqrt{\beta }}$.
We consider an IQH liquid with attractive interactions which does not require external confinement potentials, where the dynamics of the interface is primarily governed by string tension. According to [24], besides the usual bulk Chern–Simons term, the effective action contains the interface contribution that is proportional to the sting tension. In higher order correction (up to 4-order) with consideration of larger deformation, the string tension per unit length u as a function of curvature k(β) is $u(k)={u}_{0}+{u}_{2}{k}^{2}+{u}_{4}{k}^{4}+{ \mathcal O }({k}^{6})$, where u0 is the coefficient in front of k0, while u2 and u4 are the coefficients of higher-order terms, and the odd terms of k are zero due to the particle-hole symmetry of the two-body Hamiltonian. Taking into account the higher-order terms of curvature, the interface energy, which is the rest energy after subtracting the bulk part, is expressed as
$\begin{eqnarray}{E}_{{\rm{I}}}=\left({u}_{0}+{u}_{2}\frac{\beta }{2N}+{u}_{4}\frac{{\beta }^{2}}{4{N}^{2}}\right)2\pi \sqrt{\frac{2N}{\beta }},\end{eqnarray}$
based on our previous analysis, there exists an overall factor of 1/β due to the geometry. Therefore, we predict the following relationships for the string tension coefficient: u0 ∝ 1/βu2 ∝ 1/β2u4 ∝ 1/β3. In compliance with equation (15), we conducted a fitting process for system sizes N between 50 and 100, which allowed us to determine the values for the parameters u0u2u4.
figure 5 illustrates the dependence of the string tension coefficients u0u2u4 on β, with error bars for the fits indicated in the figure. When β = 1, we find u0 = 0.253 and u2 = −0.063, consistent with the theoretical values derived for the disk geometry up to the quadratic term in [24], where ${u}_{0}=4/\sqrt{8{\pi }^{3}}$ and ${u}_{2}=-1/\sqrt{8{\pi }^{3}}$. Following this, we carry out a fitting procedure for the parameters u0 and β and obtain u0 = 0.2572( ± 0.0029)/β. This indicates that u0 ∝ 1/β, which aligns with our previous analysis. However, there exist certain deviations between the values of u2 and u4 and our expectations.
Figure 5. Under system sizes N = 50 − 100, the dependence of the string tension coefficient on β is fitted using equation (15), with error bars indicated. When β = 1, we have u0 = 0.253, u2 = − 0.063. u0 has an inverse relationship with β, while u2 and u4 undergo a notable abrupt change at β = 2.
We noticed that at β = 2, the coefficients u2 and u4 of the higher-order terms undergo a sudden change, which reminds us of the contribution of the cone tip angle (θ = 2π/β) to the entanglement entropy (EE) in a geometric bipartition, as θ gradually increases from 0 to π (which corresponds to β = 2), the bipartition EE transitions from a finite value towards zero [56]. When θ = π, the geometric shape of the system forms a semicircle. In this case, the bipartition EE has no contribution from the corner since there is no singularity at the center. In addition, an extremum emerges near β = 6, and previous studies have confirmed that there is a local charge accumulation near the cone tip, and the region close to the cone tip starts to form a CDW phase at this value [31]. These two signals suggest that, in addition to the bulk energy and the interface energy, the contribution of the cone tip should not be overlooked. figure 1 illustrates that when β > 1, a concentration of density begins to emerge at the tip of the cone, deviating from the uniformity observed within the bulk density. This may lead to tip energy contributions that are distinct and separate from those of the bulk and interface energies. Based on this, we will proceed to calculate the cone tip energy and make corrections to the results of u(k).
We calculated the tip energy Et using the Hartree–Fock approximation
$\begin{eqnarray}{E}_{{\rm{t}}}=\displaystyle \sum _{n}{V}_{nmnm}-{V}_{nmmn},\end{eqnarray}$
in which the matrix element ${V}_{\{{m}_{i}\}}$ is defined as
$\begin{eqnarray}\begin{array}{rcl}{V}_{\{{{\rm{m}}}_{i}\}}\,= & & \frac{{e}^{2}}{\epsilon }\displaystyle \int {{\rm{d}}}^{2}{r}_{1}\displaystyle \int {{\rm{d}}}^{2}{r}_{2}{\psi }_{\beta {{\rm{m}}}_{1}}^{* }({{\boldsymbol{r}}}_{{\bf{1}}}){\psi }_{\beta {{\rm{m}}}_{2}}^{* }({{\boldsymbol{r}}}_{{\bf{2}}})\\ & & \times V({r}_{1},{r}_{2}){\psi }_{\beta {{\rm{m}}}_{3}}({{\boldsymbol{r}}}_{{\bf{1}}}){\psi }_{\beta {{\rm{m}}}_{4}}({{\boldsymbol{r}}}_{{\bf{2}}}).\end{array}\end{eqnarray}$
To simplify our analysis, we consider the situation where the tip holds only a single electron in the zeroth orbit, thereby setting m = 0 in equation (16). Then the tip energy could be further simplified as:
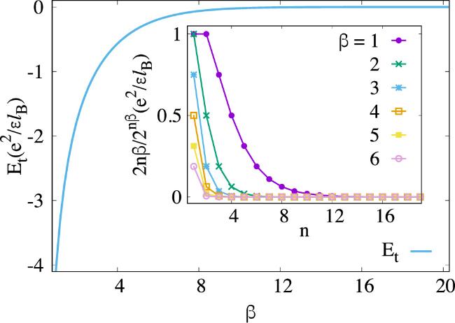
$\begin{eqnarray}{E}_{{\rm{t}}}=-\frac{{e}^{2}}{\epsilon }\displaystyle \sum _{n=1}^{N-1}\frac{2n\beta }{{2}^{n\beta }}.\end{eqnarray}$
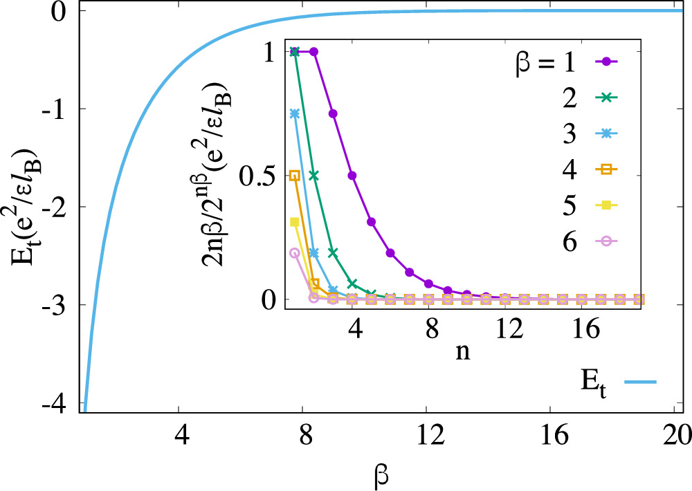
In the thermodynamic limit with N → , this can be written as ${\mathrm{lim}}_{N\to \infty }{E}_{{\rm{t}}}=-\frac{{e}^{2}}{\epsilon }\frac{2\beta {2}^{\beta }}{{({2}^{\beta }-1)}^{2}}$. We plotted the results of Et in figure 6, as β increases, the magnitude of Et gradually decreases which is quit similar to the behavior of entanglement entropy near the cone tip [56]. Furthermore, the inset graph illustrates that as the orbital index n increases, the interaction strength between the 0th orbital and other orbitals gradually weakens. Additionally, for the same orbital index n, the interaction strength decreases as β increases. This result is easily understandable, in the cone geometric configuration, each Landau orbital occupies a constant area, leading to a non-uniform rate of spacing variation. As the cone angle (2π/β) decreases, the radial size of the cone tends to increase, accompanied by an increase in the spacing between adjacent Landau orbitals and a decrease in the overlap region between them. We want to point out that the energy contribution at the tip of the cone, denoted Et, is relatively small compared to the total energy of the system, ${E}_{{{\rm{V}}}_{1}}$. A meaningful impact from this contribution becomes apparent only when examining the higher-order terms of the interface energy, with the main effects observable in u2 and u4.
Figure 6. The tip energy is presented as a function of β. The magnitude of Et decreases as β increases, which is analogous to the behavior of entanglement entropy near the cone tip. The inset depicts the magnitude of the interaction energy between the zeroth orbital and other orbitals.
At this point, the system’s total energy is categorized into three components: bulk, interface, and tip. After considering Et, we have made the necessary corrections to equation (15) and redefined the corrected curvature function as $U(k)={U}_{0}+{U}_{2}{k}^{2}+{U}_{4}{k}^{4}+{ \mathcal O }({k}^{6})$:
$\begin{eqnarray}{E}_{{\rm{I}}}=\left({U}_{0}+\frac{{U}_{2}\beta }{2N}+\frac{{U}_{4}{\beta }^{2}}{4{N}^{2}}\right)2\pi \sqrt{\frac{2N}{\beta }}.\end{eqnarray}$
After subtracting the tip energy, we still predict the following relationships for the string tension coefficient: U0 ∝ 1/βU2 ∝ 1/β2U4 ∝ 1/β3. Using equation (19), we fitted the coefficients of U(k) within the range of system sizes N from 50 to 100, and the results are presented in figure 7. We have observed that there is no significant change in the magnitude and trend of U0 relative to u0. For this situation, both U2 and U4 vary monotonically with increasing β and do not exhibit a sudden transition.
Figure 7. The dependence of the string tension coefficient U0U2U4 on β, obtained through fitting using equation (19), is represented by different points, with error bars indicated. The fitted curves exhibit the expected behavior satisfying U0 ∝ 1/βU2 ∝ 1/β2U4 ∝ 1/β3.
We conduct a power-law fit for the string tension coefficients U0, U2, and U4. The fitting results show that the relationship of each coefficient with β can be expressed as U0 = 0.2836( ± 0.0025)/βU2 = 6.8696( ± 0.2406)/β2 and U4 = −154.032( ± 2.325)/β3. Our results indicate that, after considering the contribution of the cone tip energy, the expected behaviors of U0 ∝ 1/βU2 ∝ 1/β2U4 ∝ 1/β3 are satisfied which are in accordance with the predictions made by equation (19).

4. Conclusion

In this study, we derived analytical formulas for the energy of the electron interaction in IQH systems configured in cone geometry. We formulate the interaction energy as a 1D integral for both the Coulomb and V1 interactions. When the interaction is attractive, the boundary functions as a QH interface. Unlike disk geometry, which only has nonuniform density at the boundary, the cone’s apex features a non-uniform density, significantly impacting the total energy. Using the Hartree–Fock approximation, we calculated the contribution from this apex. As β increases, the energy of an electron at the tip interacting with others decreases rapidly, mirroring the behavior of the entanglement entropy of the geometric contribution at the tip. Upon considering the tip energy, we found that the energy per unit length of the interface is influenced by its curvature, described by $({C}_{0}+{C}_{2}{k}^{2}+{C}_{4}{k}^{4}+{ \mathcal O }({k}^{6}))/\beta $ up to a fourth-order expansion where Ci are constants. This result closely corresponds to the previous analysis of effective low energy field theory. Therefore, we conclude that the cone geometry introduces a novel geometry that facilitates the examination of the geometric effects of the quantum Hall interface, offering ease of adjustment.

This work at Chongqing University was supported by the National Natural Science Foundation of China under Grant Nos. 12347101 and 12474140, and the Fundamental Research Funds for the Central Universities under Grant No. 2024CDJXY022. QL was supported by National Natural Science Foundation of China under Grant No. 61988102, The Key Research and Development Program of Guangdong Province under Grant No. 2019B090917007, the Science and Technology Planning Project of Guangdong Province under Grant No. 2019B090909011 and Guangdong Provincial Key Laboratory under Grant No. 2019B121203002.

1
Klitzing K V, Dorda G, Pepper M 1980 New method for high-accuracy determination of the fine-structure constant based on quantized Hall resistance Phys. Rev. Lett. 45 494 497

DOI

2
Tsui D C, Stormer H L, Gossard A C 1982 Two-dimensional magnetotransport in the extreme quantum limit Phys. Rev. Lett. 48 1559 1562

DOI

3
Laughlin R B 1983 Anomalous quantum Hall effect: an incompressible quantum fluid with fractionally charged excitations Phys. Rev. Lett. 50 1395 1398

DOI

4
Avron J E, Seiler R, Zograf P G 1995 Viscosity of quantum Hall fluids Phys. Rev. Lett. 75 697 700

DOI

5
Lévay P 1995 Berry phases for Landau Hamiltonians on deformed tori J. Math. Phys. 36 2792 2802

DOI

6
Read N, Rezayi E H 2011 Hall viscosity, orbital spin, and geometry: paired superfluids and quantum Hall systems Phys. Rev. B 84 085316

DOI

7
Bradlyn B, Read N 2015 Topological central charge from berry curvature: gravitational anomalies in trial wave functions for topological phases Phys. Rev. B 91 165306

DOI

8
Can T, Laskin M, Wiegmann P 2014 Fractional quantum Hall effect in a curved space: gravitational anomaly and electromagnetic response Phys. Rev. Lett. 113 046803

DOI

9
Abanov A G, Gromov A 2014 Electromagnetic and gravitational responses of two-dimensional noninteracting electrons in a background magnetic field Phys. Rev. B 90 014435

DOI

10
Haldane F D M 2011 Geometrical description of the fractional quantum Hall effect Phys. Rev. Lett. 107 116801

DOI

11
Park Y J, Haldane F D M 2014 Guiding-center Hall viscosity and intrinsic dipole moment along edges of incompressible fractional quantum Hall fluids Phys. Rev. B 90 045123

DOI

12
Wen X G, Zee A 1992 Shift and spin vector: new topological quantum numbers for the Hall fluids Phys. Rev. Lett. 69 953 956

DOI

13
Can T, Chiu Y H, Laskin M, Wiegmann P 2016 Emergent conformal symmetry and geometric transport properties of quantum Hall states on singular surfaces Phys. Rev. Lett. 117 266803

DOI

14
Biswas R R, Son D T 2016 Fractional charge and inter-Landau-level states at points of singular curvature Proc. Natl Acad. Sci. 113 8636 8641

DOI

15
Wu Y-H, Tu H-H, Sreejith G J 2017 Fractional quantum Hall states of Bosons on cones Phys. Rev. A 96 033622

DOI

16
Wen X-G 2007 Quantum Field Theory of Many-body Systems: From the Origin of Sound to an Origin of Light and Electrons Oxford Oxford University Press

17
Iqbal N, McGreevy J 2020 Toward a 3D Ising model with a weakly-coupled string theory dual SciPost Phys. 9 019

DOI

18
Willett R, Eisenstein J P, Störmer H L, Tsui D C, Gossard A C, English J H 1987 Observation of an even-denominator quantum number in the fractional quantum Hall effect Phys. Rev. Lett. 59 1776 1779

DOI

19
Pan W, Xia J-S, Shvarts V, Adams D E, Stormer H L, Tsui D C, Pfeiffer L N, Baldwin K W, West K W 1999 Exact quantization of the even-denominator fractional quantum Hall state at ν = 5/2 Landau level filling factor Phys. Rev. Lett. 83 3530 3533

DOI

20
Cappelli A, Trugenberger C A, Zemba G R 1993 Infinite symmetry in the quantum Hall effect Nucl. Phys. B 396 465 490

DOI

21
Cappelli A, Trugenberger C A, Zemba G R 1993 Large n limit in the quantum Hall effect Phys. Lett. B 306 100 107

DOI

22
Stone M 1991 Edge waves in the quantum Hall effect Ann. Phys. 207 38 52

DOI

23
Li Q, Ma K K W, Wang R, Hu Z-X, Wang H, Yang K 2021 Dynamics of quantum Hall interfaces Phys. Rev. B 104 125303

DOI

24
Türker O, Yang K 2022 String-like theory of quantum Hall interfaces Phys. Rev. B 106 245138

DOI

25
Otterbach J, Ruseckas J, Unanyan R G, Juzeliūnas G, Fleischhauer M 2010 Effective magnetic fields for stationary light Phys. Rev. Lett. 104 033903

DOI

26
Mittal S, Ganeshan S, Fan J, Vaezi A, Hafezi M 2016 Measurement of topological invariants in a 2D photonic system Nat. Photon. 10 180 183

DOI

27
Schine N, Ryou A, Gromov A, Sommer A, Simon J 2016 Synthetic Landau levels for photons Nature 534 671 675

DOI

28
Schine N, Chalupnik M, Can T, Gromov A, Simon J 2019 Electromagnetic and gravitational responses of photonic Landau levels Nature 565 173 179

DOI

29
Umucalılar R O, Wouters M, Carusotto I 2014 Probing few-particle Laughlin states of photons via correlation measurements Phys. Rev. A 89 023803

DOI

30
Clark L W, Schine N, Baum C, Jia N, Simon J 2020 Observation of Laughlin states made of light Nature 582 41 45

DOI

31
Li Q, Yang Y, Li Z, Wang H, Hu Z-X 2024 Fractional quantum Hall interface induced by geometric singularity Phys. Rev. B 109 155102

DOI

32
Wan X, Yang K 2016 Striped quantum Hall state in a half-filled Landau level Phys. Rev. B 93 201303

DOI

33
Yang K 2017 Interface and phase transition between Moore–Read and Halperin 331 fractional quantum Hall states: realization of chiral Majorana fermion Phys. Rev. B 96 241305

DOI

34
May-Mann J, Hughes T L 2019 Families of gapped interfaces between fractional quantum Hall states Phys. Rev. B 99 155134

DOI

35
Zhu W, Sheng D N, Yang K 2020 Topological interface between Pfaffian and Anti-Pfaffian order in ν = 5/2 quantum Hall effect Phys. Rev. Lett. 125 146802

DOI

36
Jaworowski B, Nielsen A E B 2020 Model wave functions for interfaces between lattice Laughlin states Phys. Rev. B 101 245164

DOI

37
Jaworowski B, Nielsen A E B 2021 Model wave functions for an interface between lattice Laughlin and Moore–Read states Phys. Rev. B 103 205149

DOI

38
Saha A, De S J, Rao S, Gefen Y, Murthy G 2021 Emergence of spin-active channels at a quantum Hall interface Phys. Rev. B 103 L081401

DOI

39
Crépel V, Claussen N, Regnault N, Estienne B 2019 Microscopic study of the Halperin–Laughlin interface through matrix product states Nat. Commun. 10 1860

DOI

40
Crépel V, Claussen N, Estienne B, Regnault N 2019 Model states for a class of chiral topological order interfaces Nat. Commun. 10 1861

DOI

41
Ciftja O, Wexler C 2003 Monte Carlo simulation method for Laughlin-like states in a disk geometry Phys. Rev. B 67 075304

DOI

42
Ciftja O 2009 Exact results for systems of electrons in the fractional quantum Hall regime Physica B 404 227 230

DOI

43
Ciftja O 2011 Exact results for finite quantum Hall systems of electrons at filling factor one: disk geometry J. Math. Phys. 52 122105 12

DOI

44
Bentalha Z, Moumen L, Ouahrani T 2014 A new method of calculation in the fractional quantum Hall effect regime Cent. Eur. J. Phys. 12 511 516

DOI

45
Cooper N R 2008 Rapidly rotating atomic gases Adv. Phys. 57 539 616

DOI

46
Regnault N, Jolicoeur T 2004 Quantum Hall fractions in ultracold fermionic vapors Phys. Rev. B 70 241307

DOI

47
Baranov M A, Osterloh K, Lewenstein M 2005 Fractional quantum Hall states in ultracold rapidly rotating dipolar fermi gases Phys. Rev. Lett. 94 070404

DOI

48
Qiu R-Z, Kou S-P, Hu Z-X, Wan X, Yi S 2011 Quantum Hall effects in fast-rotating fermi gases with anisotropic dipolar interaction Phys. Rev. A 83 063633

DOI

49
Hu Z-X, Li Q, Yang L-P, Yang W-Q, Jiang N, Qiu R-Z, Yang B 2018 Phase transition and intrinsic metric of dipolar fermions in the quantum Hall regime Phys. Rev. B 97 035140

DOI

50
Baranov M, Dobrek Ł, Góral K, Santos L, Lewenstein M 2002 Ultracold dipolar gases—a challenge for experiments and theory Phys. Scr. T102 74

DOI

51
Cooper N R 2008 Rapidly rotating atomic gases Adv. Phys. 57 539 616

DOI

52
Regnault N, Jolicoeur T 2004 Quantum Hall fractions in ultracold fermionic vapors Phys. Rev. B 70 241307

DOI

53
Regal C A, Ticknor C, Bohn J L, Jin D S 2003 Tuning p-wave interactions in an ultracold fermi gas of atoms Phys. Rev. Lett. 90 053201

DOI

54
Chin C, Grimm R, Julienne P, Tiesinga E 2010 Feshbach resonances in ultracold gases Rev. Mod. Phys. 82 1225 1286

DOI

55
Liou S-F, Hu Z-X, Yang K 2017 Topological quantum phase transition from a fermionic integer quantum Hall phase to a bosonic fractional quantum Hall phase through a p-wave feshbach resonance Phys. Rev. B 95 241106

DOI

56
Dan Y, Yang Y, Qi L, Zi-Xiang H 2022 Entanglement entropy of the quantum Hall edge and its geometric contribution Front. Phys. 10 971423

DOI

Outlines

/