Welcome to visit Communications in Theoretical Physics,
Gravitation Theory, Astrophysics and Cosmology

Thermal, topological, and scattering effects of an AdS charged black hole with an antisymmetric tensor background

  • H Chen , 1, ,
  • M Y Zhang , 2 ,
  • A A Araújo Filho , 3 ,
  • F Hosseinifar , 4 ,
  • H Hassanabadi , 5, 6
Expand
  • 1School of Physics and Electronic Science, Zunyi Normal University, Zunyi 563006, China
  • 2College of Computer and Information Engineering, Guizhou University of Commerce, Guiyang 550014, China
  • 3Departamento de Física, Universidade Federal da Paraíba, Caixa Postal 5008, 58051-970, João Pessoa, Paraíba, Brazil
  • 4Center for Theoretical Physics, Khazar University, 41 Mehseti Str., Baku AZ1096, Azerbaijan
  • 5Departamento de Física Teórica, Atómica y Optica and Laboratory for Disruptive Interdisciplinary Science (LaDIS), Universidad de Valladolid, 47011 Valladolid, Spain
  • 6Department of Physics, University of Hradec Králové, Rokitanského 62, 500 03 Hradec Králové, Czech Republic

Author to whom any correspondence should be addressed.

Received date: 2025-05-01

  Revised date: 2025-09-03

  Accepted date: 2025-09-05

  Online published: 2025-10-01

Copyright

© 2025 Institute of Theoretical Physics CAS, Chinese Physical Society and IOP Publishing. All rights, including for text and data mining, AI training, and similar technologies, are reserved.
This article is available under the terms of the IOP-Standard License.

Abstract

In this study, we explore a spherically symmetric charged black hole (BH) with a negative cosmological constant under the influence of a Kalb–Ramond field background. We compute the photon sphere and shadow radii, validating our findings using observational data from the Event Horizon Telescope, with a particular emphasis on the shadow images of Sagittarius A*. Furthermore, we investigate the greybody factors, emission rate, and partial absorption cross section. It is shown that the Lorentz-violating parameter $\bar{l}$ has an important effect on the absorption cross section. Our analysis also includes an examination of the topological charge, temperature-dependent topology, and generalized free energy. In particular, we regard the AdS charged BH with an antisymmetric tensor background as a topological defect in the thermodynamic space, then the system has the same topological classification to the charged Reissner–Nordström–AdS BH.

Cite this article

H Chen , M Y Zhang , A A Araújo Filho , F Hosseinifar , H Hassanabadi . Thermal, topological, and scattering effects of an AdS charged black hole with an antisymmetric tensor background[J]. Communications in Theoretical Physics, 2026 , 78(2) : 025404 . DOI: 10.1088/1572-9494/ae0393

1. Introduction

The concept of Lorentz symmetry breaking has garnered substantial interest in contemporary physics, emerging as a crucial area of investigation across multiple theoretical paradigms [15]. One notable method for exploring this phenomenon involves the introduction of the antisymmetric tensor field, commonly referred to as the Kalb–Ramond (KR) field [6]. This field, rooted in string theory [7], provides a compelling approach for probing the intricacies of Lorentz symmetry violation.
The physics of black holes (BHs) within the context of KR gravity has been extensively studied [812]. When the KR field is coupled with gravity, it can trigger spontaneous Lorentz symmetry breaking [6]. The extent of the Lorentz symmetry violation can be characterized by a parameter that indicates how the KR field interacts with gravitational dynamics [13, 14]. This was demonstrated by deriving an exact solution for a static, spherically symmetric BH configuration. Building on this foundational work, researchers have explored the dynamics of both massive and massless particles near KR BHs [15]. Studies have also focused on the gravitational deflection of light and the shadows produced by rotating BHs [16]. Additionally, significant attention has been directed towards the detection of gravitational waves and their spectral characteristics within the framework of Lorentz symmetry breaking [1721].
Moreover, the influence of Lorentz symmetry violation on electrically charged BHs has also been explored within the framework of KR gravity [22]. In this context, various phenomena such as the evaporation process, quasinormal modes, and emission rates have been studied [17]. Additionally, numerous aspects of BH physics have been investigated for the case of a zero electric charge, as discussed in [2327].
In particular, we investigate a spherically symmetric charged BHs with a negative cosmological constant in the presence of a KR field background. We calculate the photon sphere and shadow radii and validate our results using observational data from the Event Horizon Telescope (EHT), with a particular focus on the shadow images of Sagittarius A*. Additionally, we examine greybody factors, emission rates, and partial absorption cross sections. Our analysis extends to exploring the topological charge, temperature-dependent topology, and generalized free energy.
This work is structured as follows: In section 3, we calculate the shadow radii and derive constraints based on observational data from Sagittarius A*. Section 4 focuses on the heat capacity of the system. In section 5, we discuss the greybody bounds, highlighting relevant emission power and the absorption cross section. Sections 6, and 7 explore the topological aspects of the BH and its charge. Finally, in section 8, we summarize our findings and present concluding remarks. The calculations are performed for the case of  = G = c = kB = 1, and metric signature (− + + +).

2. Metric

The connection between KR gravity and Lorentz symmetry violation lies in the way the KR field introduces modifications to gravitational dynamics. In the context of bumblebee gravity, the KR field can lead to spontaneous Lorentz symmetry violation, which alters the behavior of BHs. The innovative aspect of this model is the introduction of exact solutions for charged BHs, which account for the effects of both the KR field and Lorentz symmetry violation parameters. This framework allows for a deeper understanding of how Lorentz symmetry violation affects the properties of BHs [28, 29].
The relationship between Lorentz violation and the KR potential is fundamentally rooted in the dynamics of the KR field, represented as an antisymmetric tensor Bμν. When this field acquires a non-zero vacuum expectation value, it induces spontaneous Lorentz symmetry breaking. The parameter $\bar{l}$ quantifies the extent of this violation and reflects how the KR field interacts with gravitational dynamics. Considering the rank–antisymmetric tensor Bμν represents the KR field and satisfy Bμν = −Bνμ. The KR field can be decomposed as ${B}_{\mu \nu }={\tilde{E}}_{[\mu }{v}_{\nu ]}+{\epsilon }_{\mu \nu \alpha \beta }{v}^{\alpha }{\tilde{B}}^{\beta }$ that vα indicates a timelike 4-vector and ${\tilde{E}}_{\mu }{v}^{\mu }={\tilde{B}}_{\mu }{v}^{\mu }=0$. The action is given by
$\begin{eqnarray}\begin{array}{rcl}S & = & \displaystyle \int {\,\rm{d}\,}^{4}x\sqrt{-g}{{ \mathcal L }}_{m}\\ & & +\frac{1}{2{\kappa }^{2}}\displaystyle \int {\,\rm{d}\,}^{4}x\sqrt{-g}\left[\Space{0ex}{3ex}{0ex}R+{\xi }_{2}{B}^{\rho \mu }{B}_{\nu }^{\mu }+{\xi }_{3}{B}^{\mu \nu }{B}_{\mu \nu }R\right.\\ & & \left.-2{\rm{\Lambda }}-\frac{1}{6}{H}^{\mu \nu \rho }{H}_{\mu \nu \rho }-V({B}_{\mu \nu }{B}^{\mu \nu })\right],\end{array}\end{eqnarray}$
where Λ is the cosmological constant, ξ2 and ξ3 represent the coupling constants between the Ricci tensor and the KR field, and Hμνρ ≡ ∂[μBνρ] which is the field strength. The matter Lagrangian which describes the electromagnetic field is defined as ${{ \mathcal L }}_{m}=-1/4\,{F}_{\mu \nu }{F}^{\mu \nu }+{{ \mathcal L }}_{\,\rm{int}\,}$, that the field strength of the electromagnetic field is defined as Fμν = ∂μAν − ∂νAμ where the four-vector potential is considered as ${A}_{\mu }=-{\rm{\Phi }}(r){\delta }_{\mu }^{t}$. Also, the interaction between the KR field and the electromagnetic field is expressed as ${{ \mathcal L }}_{\,\rm{int}\,}=-\eta {B}^{\alpha \beta }{B}^{\gamma \rho }{F}_{\alpha \beta }{F}_{\gamma \rho }$, that η denotes the coupling constant. Therefore, the modified Einstein equation has the following form:
$\begin{eqnarray}{R}_{\mu \nu }-\frac{1}{2}{g}_{\mu \nu }R+{\rm{\Lambda }}{g}_{\mu \nu }={T}_{\mu \nu }^{m}+{T}_{\mu \nu }^{\,\rm{KR}\,}={{ \mathcal T }}_{\mu \nu }.\end{eqnarray}$
${{ \mathcal T }}_{\mu \nu }$ represents the total stress–energy tensor and ${T}_{\mu \nu }^{m}$ and ${T}_{\mu \nu }^{\,\rm{KR}\,}$ are referred to the stress–energy of the electromagnetic field and the KR field, respectively.
As calculated in [22], for a static, spherically symmetric spacetime by considering Lorentz violation parameter as $\bar{l}\equiv {\xi }_{2}{b}^{2}/2$, where BμνBμν = ∓ b2, the metric is described by:
$\begin{eqnarray}{\rm{d}}{s}^{2}=-f(r){\rm{d}}{t}^{2}+\frac{1}{f(r)}{\rm{d}}{r}^{2}+h(r){\rm{d}}{{\rm{\Omega }}}^{2},\end{eqnarray}$
where, in agreement with [22]:
$\begin{eqnarray}f(r)=\frac{1}{1-\bar{l}}-\frac{2M}{r}+\frac{{Q}^{2}}{{(1-\bar{l})}^{2}{r}^{2}}-\frac{{\rm{\Lambda }}{r}^{2}}{3(1-\bar{l})}.\end{eqnarray}$
Here, M represents the BH mass, Q denotes the electric charge, and Λ is the cosmological constant, with h(r) = r2.

3. Shadow radius

The behavior of light can be determined by applying the Euler–Lagrange equation as follows:
$\begin{eqnarray}\frac{{\rm{d}}}{{\rm{d}}\tau }\left(\frac{\partial { \mathcal L }}{\partial {\dot{x}}^{\mu }}\right)-\frac{\partial { \mathcal L }}{\partial {x}^{\mu }}=0,\,\,\,\,\,{ \mathcal L }=\frac{1}{2}{g}_{\mu \nu }{\dot{x}}^{\mu }{\dot{x}}^{\nu }.\end{eqnarray}$
At θ = π/2, we are able to define two constants of motion: $L=h(r)\dot{\phi }$ and $E=f(r)\dot{t}$ so that effective potential reads [30, 31]
$\begin{eqnarray}{V}_{\mathrm{eff}}=\displaystyle \frac{f(r)}{h(r)}\left(\displaystyle \frac{{L}^{2}}{{E}^{2}}-1\right),\end{eqnarray}$
is acquired. Given that a circular orbit requires Veff(r) = 0 and ${V}_{\mathrm{eff}}^{{\prime} }(r)=0$, the behavior of a photon, particularly the photon radius around a BH, can be determined from these conditions [32, 33]
$\begin{eqnarray}{r}_{\mathrm{ph}}{\left.{\partial }_{r}f(r)\right|}_{r={r}_{\mathrm{ph}}}-2f({r}_{\mathrm{ph}})=0,\end{eqnarray}$
in this manner, the photon radius is given by [22]
$\begin{eqnarray}{r}_{{\mathrm{ph}}_{\pm }}=\displaystyle \frac{\pm \sqrt{9{(\bar{l}-1)}^{4}{M}^{2}+8(\bar{l}-1){Q}^{2}}-3{(\bar{l}-1)}^{2}M}{2(\bar{l}-1)}.\end{eqnarray}$
Given that in the limit of Q, $\bar{l}$, and Λ approach zero, the photon radius should converge to 3M, which is the photon radius of the Schwarzschild BH, ${r}_{{\mathrm{ph}}_{-}}$ is designated as the photon radius of the BH of form equation (3). Indeed, the observed shadow of a BH appears distorted and larger than its actual size and shape [34]. Owing to the geometry, for an observer situated at a distance ro from the BH, the shadow radius is given by [22, 35]
$\begin{eqnarray}\begin{array}{l}\begin{array}{rcl}{r}_{\mathrm{sh}} & = & {r}_{{\mathrm{ph}}_{-}}\displaystyle \frac{\sqrt{f({r}_{o})}}{\sqrt{f({r}_{{\mathrm{ph}}_{-}})}}\\ & = & \displaystyle \frac{{r}_{{\mathrm{ph}}_{-}}^{2}\sqrt{3{Q}^{2}-(\bar{l}-1){r}_{o}\left(6(\bar{l}-1)M-{\rm{\Lambda }}{r}_{o}^{3}+3{r}_{o}\right)}}{{r}_{o}\sqrt{3{Q}^{2}-(\bar{l}-1){r}_{{\mathrm{ph}}_{-}}\left(6(\bar{l}-1)M-{\rm{\Lambda }}{r}_{{\mathrm{ph}}_{-}}^{3}+3{r}_{{\mathrm{ph}}_{-}}\right)}}.\end{array}\end{array}\end{eqnarray}$
In the absence of the cosmological constant, the BH metric of equation (3) becomes asymptotically flat and approaches the shadow of Reissner–Nordström (RN) BH as $\bar{l}\to 0$.
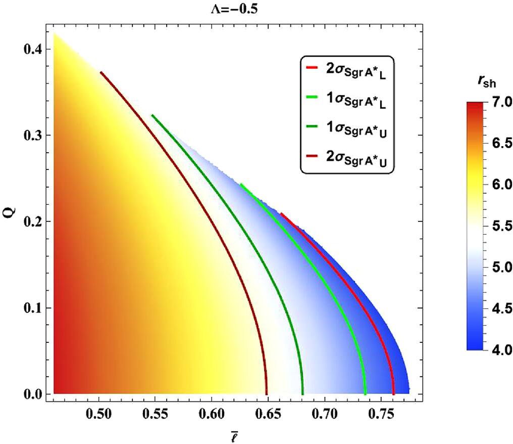
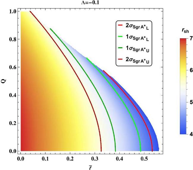
Considering the observations obtained from EHT for Sgr A*, the permissible range for the shadow radius in the 1σ and 2σ regions is 4.55 < Rsh/M < 5.22 and 4.21 < Rsh/M < 5.56, respectively [11]. Therefore, by calculating the shadow of the BH using equation (9) and comparing it with the data obtained from EHT, the ranges for the parameters for which the BH shadow falls within the allowed regions of 1σ and 2σ can be determined. Figures 1 and 2 depict the BH shadow by varying parameters l and Q for Λ = −0.1 and Λ = −0.5, respectively. Some of the upper and lower limits of the parameters for the selected values are reported in table 1.
Figure 1. Shadow radius as a function of the parameters $\bar{l}$ and Q considering Λ = −0.1 for an observer located at r0 = 9M is illustrated. The indices L and U refer to the lower bound and upper bound, respectively.
Figure 2. The variation of shadow in terms of the parameters $\bar{l}$ and Q considering Λ = −0.5 for an observer located at r0 = 9M. The indices L and U refer to the lower bound and upper bound, respectively.
Table 1. The upper and lower bounds of the parameters based on observations of Sgr A* for the case where M = 1.
1σ 2σ 1σ 2σ
Λ (Q = 0.1) Lower Upper Lower Upper ${\rm{\Lambda }}\,(\bar{l}=0.10)$ Lower Upper Lower Upper
$\bar{l}=0.30$ −0.069 −0.037 −0.091 −0.024 Q = 0.0 −0.025 −0.007 −0.037 −0.001
$\bar{l}=0.40$ −0.111 −0.065 −0.142 −0.047 Q = 0.3 −0.028 −0.009 −0.040 −0.002
$\bar{l}=0.50$ −0.182 −0.113 −0.229 −0.086 Q = 0.5 −0.034 −0.014 −0.048 −0.006

$\bar{l}\,({\rm{\Lambda }}=-0.10)$ Lower Upper Lower Upper $\bar{l}\,(Q=0.1)$ Lower Upper Lower Upper
Q = 0.00 0.383 0.485 0.326 0.533 Λ = −0.10 0.379 0.479 0.322 0.525
Q = 0.20 0.366 0.461 0.311 0.503 Λ = −0.30 0.589 0.653 0.551 0.682
Q = 0.30 0.345 0.432 0.293 0.470 Λ = −0.50 0.665 0.713 0.635 0.734

$Q\,(\bar{l}=0.10)$ Lower Upper Lower Upper Q (Λ = −0.10) Lower Upper Lower Upper
Λ = −0.01 0.346 0.640 $\bar{l}=0.35$ 0.279 0.505 0.550
Λ = −0.02 0.659 0.800 $\bar{l}=0.40$ 0.389 0.457
Λ = −0.03 0.386 0.788 0.875 $\bar{l}=0.45$ 0.242 0.349
Notice that an increase in the Lorentz-violation parameter $\bar{l}$ while keeping other parameters constant, results in a decrease in the value of the shadow radius. Therefore, it can be stated that the shadow radius is diminished in comparison to the RN BH. Furthermore, increasing the size of Q while keeping the other parameters constant reduces the size of the shadow and extends the range for which the shadow lies within the acceptable region for the parameter Λ, while decreasing it for $\bar{l}$. Additionally, increasing the size of Λ with other parameters held constant decreases the radius of the shadow and increases the range of the allowed region for the parameter Q, while reducing the range for the parameter $\bar{l}$.

4. Heat capacity

As it is well know, the Hawking temperature of a corresponding BH is
$\begin{eqnarray}{T}_{{\rm{H}}}={\left.\displaystyle \frac{1}{4\pi }{\partial }_{r}f(r)\right|}_{r={r}_{{\rm{h}}}},\end{eqnarray}$
where rh refers to the horizon radius calculated from f(rh) = 0, so that, for our case under consideration, it follows [22]
$\begin{eqnarray}{T}_{{\rm{H}}}=\displaystyle \frac{{r}_{{\rm{h}}}^{2}(1-\bar{l})\left(1-{\rm{\Lambda }}{r}_{{\rm{h}}}^{2}\right)-{Q}^{2}}{4\pi {(1-\bar{l})}^{2}{r}_{{\rm{h}}}^{3}}.\end{eqnarray}$
In the limit of $\bar{l}\to 0$ and Λ → 0, the Hawking temperature of the metric equation (3) BH converges to the Hawking temperature of RN BH [36]. It can also be concluded that increasing the parameter $\bar{l}$, while keeping other parameters constant, leads to an increase in the Hawking temperature of the BH compared to cases with smaller $\bar{l}$. Thus, it can be stated that the presence of the Lorentz-violating parameter results in a higher temperature for the BH compared to the RN BH. In addition, the entropy of the system is [37, 38]
$\begin{eqnarray}S=\pi {r}_{{\rm{h}}}^{2}.\end{eqnarray}$
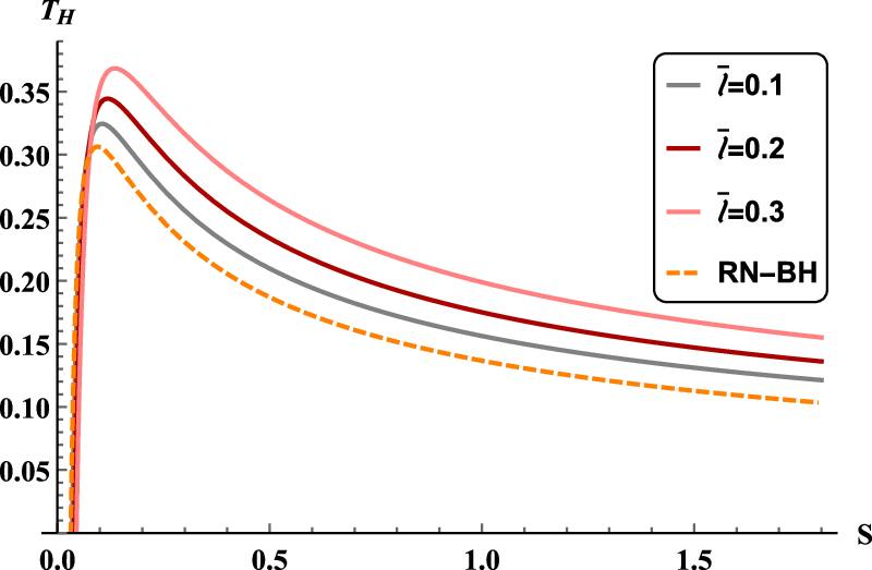
Figure 3 illustrates the TS curve. It is evident that as the parameter $\bar{l}$ increases, the maximum value of temperature, along with its corresponding entropy, shifts to higher values.
Figure 3. The relationship between temperature and entropy is depicted, with the parameters set to Q = 0.1 and Λ = −0.1. Dashed orange curve represent Hawking temperature of RN black hole.
For the sake of completeness of our study, we also present the heat capacity [39]
$\begin{eqnarray}\begin{array}{l}\begin{array}{rcl}C & = & {T}_{{\rm{H}}}\displaystyle \frac{\partial S}{\partial {T}_{{\rm{H}}}}\\ & = & \displaystyle \frac{2\pi {r}_{{\rm{h}}}^{2}\left((1-\bar{l}){r}_{{\rm{h}}}^{2}\left(1-{\rm{\Lambda }}{r}_{{\rm{h}}}^{2}\right)-{Q}^{2}\right)}{3{Q}^{2}-(1-\bar{l}){r}_{{\rm{h}}}^{2}\left({\rm{\Lambda }}{r}_{{\rm{h}}}^{2}+1\right)}.\end{array}\end{array}\end{eqnarray}$
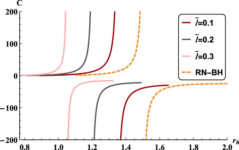
In the limit of $\bar{l}\to 0$ and Λ → 0 heat capacity goes to the RN BH heat capacity [36]. Figure 4 illustrates the behavior of heat capacity as a function of horizon radius. The curve indicates that as the parameter $\bar{l}$ increases, the phase transition occurs at a larger horizon radius, leading to a negative heat capacity. It is worth mentioning that such negative values signifies instability, whereas a positive heat capacity indicates a thermodynamically stable BH. Hence, in comparison to the RN BH, the transition from stable to unstable heat capacity, while maintaining constant values of Q and Λ, occurs at a reduced horizon radius in the presence of the parameter $\bar{l}$.
Figure 4. The relation between heat capacity and rh is presented, where rh is calculated by varying the parameter Q. The parameters are set to Λ = −0.1. Dashed orange curves illustrate heat capacity of RN black hole.

5. Greybody

The greybody factor is a crucial factor for understanding how BHs emit radiation in the context of Hawking radiation and refers to the probability that a particle will be absorbed by a BH. The greybody bound signifies a theoretical limit on the greybody factor, and indicates the maximum deviation of this radiation from the ideal blackbody spectrum. Greybody bound as function of frequency ω of the incoming particles is calculated from [21, 4043]
$\begin{eqnarray}{T}_{\bar{l}(\omega )}\geqslant {\,\rm{sech}\,}^{2}\left(\displaystyle \frac{1}{2\omega }{\int }_{{r}_{h}}^{\infty }V(r)\displaystyle \frac{{\rm{d}}r}{f(r)}\right),\end{eqnarray}$
where the potential V(r) is an effective potential used in the analysis of gravitational perturbations around BHs and is obtained from [40]
$\begin{eqnarray}V(r)=f(r)\left(\frac{(1-{s}^{2}){\partial }_{r}f(r)}{r}+\frac{(\bar{l}+1)\bar{l}}{{r}^{2}}\right).\end{eqnarray}$
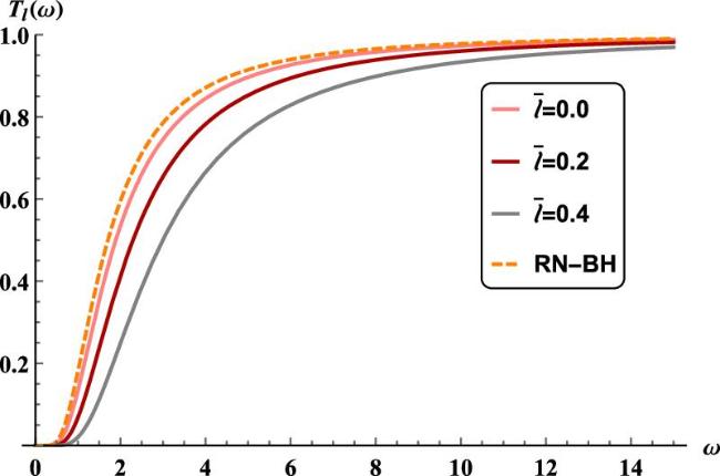
Here, $\bar{l}$ represents the multiploe number, while s refers to the multipole number. Specifically, s = 0 is associated with scalar perturbations, and s = 1 corresponds to electromagnetic perturbations. The greybody bounds for several initial values are illustrated in figure 5. It is evident that as the parameter $\bar{l}$ increases, the probability curve shifts upward. Also, it can be concluded that in the presence of the Lorentz-violation parameter and the cosmological constant, the greybody factor decreases. The lth mode emitted power is given by [26]
$\begin{eqnarray}{P}_{\bar{l}(\omega )}=\displaystyle \frac{A}{8{\pi }^{2}}{T}_{\bar{l}(\omega )}\displaystyle \frac{{\omega }^{3}}{\exp (\omega /{T}_{{\rm{H}}})-1},\end{eqnarray}$
where A represents the surface area of a BH’s horizon from which radiation can be emitted. Figure 6 illustrates the emission power, clearly showing that as the parameter $\bar{l}$ increases, both the maximum value and its corresponding frequency increases, and emitted power from the RN BH is significantly lower than the emitted power from the BH in the presence of cosmological constant and Lorentz-violating parameter.
Figure 5. The greybody bounds for different values of $\bar{l}$ are presented, with $(\bar{l}=2)$ and the other parameters set as M = 1, Λ = −0.1, Q = 0.1, and s = 1. Dashed orange curve indicates the greybody bound for RN black hole.
Figure 6. The emitted power for three values of $\bar{l}$ is illustrated, with $\bar{l}=2$ and the other parameters set as M = 1, Λ = −​​​​​​0.1, Q = 0.1, and s = 1. Dashed orange curve displays the emitted power of RN BH.
Furthermore, partial absorption cross section written below [44, 45]
$\begin{eqnarray}{\sigma }_{\mathrm{abs}}^{\bar{l}}=\displaystyle \frac{\pi (2\bar{l}+1)}{{\omega }^{2}}| {T}_{\bar{l}(\omega ){| }^{2}}.\end{eqnarray}$
The absorption cross-section is depicted in figure 7. As observed, varying the parameter $\bar{l}$ results in a shift of the curve. An increase in this parameter leads to a lower maximum value for absorption, which occurs at a higher frequency, and it can be concluded that the RN BH has a greater absorption compared to the BH of form equation (3) in the presence of Lorentz-violating parameter and cosmological constant.
Figure 7. The absorption cross-section curve for different values of $\hat{l}$ is presented, with $\bar{l}=2$ and the other parameters set as M = 1, Λ = −0.1, Q = 0.1, and s = 1. Dashed orange curve demonstrates the absorption cross-section of RN black hole.

6. Topological charge of photon sphere

Recently, Wei et al. creatively applied the topological current theory to BH thermodynamics [46]. In this direction, the thermodynamic topology of BHs in different backgrounds is investigated [4785]. We will explore the topological characteristics of the photon sphere. We begin by defining the everywhere regular potential function as [86, 87]
$\begin{eqnarray}H(r,\vartheta )=\frac{1}{\sin \vartheta }\sqrt{\frac{f(r)}{h(r)}},\end{eqnarray}$
Here, we assume h(r) = r2 and $1/\sin \vartheta $ is an auxiliary term which is used to define the vectors of this potential in the polar coordinates. The root of ∂rH = 0 at θ = π/2 corresponds to the radius of the photon sphere. To determine the topological charge associated with it, we define a vector field φ = (φrφϑ), as described in [86] as
$\begin{eqnarray}{\phi }_{r}=\sqrt{f(r)}{\partial }_{r}H(r,\vartheta ),\end{eqnarray}$
$\begin{eqnarray}{\phi }_{\vartheta }=\frac{1}{\sqrt{h(r)}}{\partial }_{\vartheta }H(r,\vartheta ).\end{eqnarray}$
The vector φ can be also rewrite as φ = ∣∣φ∣∣e, where $| | \phi | | =\sqrt{{\phi }_{a}{\phi }_{a}}$, a = 1, 2, and φ1 = φr, φ2 = φϑ. It is important to note that the zero point of φ coincides precisely with the location of the photon sphere. This implies that φ in φ = ∣∣φ∣∣e is not well-defined at this point. Therefore, the vector is considered as φ = φr + iφΘ. The normalized vectors are defined as follows:
$\begin{eqnarray}{n}_{r}=\frac{{\phi }_{r}}{| | \phi | | },\ {n}_{\vartheta }=\frac{{\phi }_{\vartheta }}{| | \phi | | }.\end{eqnarray}$
Moreover, the topological current is established as follows
$\begin{eqnarray}{J}^{\mu }=\frac{1}{2\pi }{\epsilon }^{\mu \nu \lambda }{\epsilon }_{ab}{\partial }_{\nu }{n}_{a}{\partial }_{\lambda }{n}_{b},\end{eqnarray}$
Since εμνλ = −εμλν, it can be easily verified that the topological current is conserved, satisfying ∂μJμ = 0. The zero component of the topological current is denoted by J0, and integrating this component over a specified region Σ yields the total topological charge [88].
$\begin{eqnarray}{{\mathfrak{Q}}}_{{\mathfrak{t}}}={\int }_{{\rm{\Sigma }}}{j}^{0}{{\rm{d}}}^{2}x=\displaystyle \sum _{i=1}^{N}{\beta }_{i}{\eta }_{i}=\displaystyle \sum _{i=1}^{N}{w}_{i},\end{eqnarray}$
where, N refers to the total number of zero points, and parameters βi and ηi represent the Hopf index and Brouwer degree at the zero point zn, respectively. Considering a closed, smooth, and positively oriented loop Ci that encircles the ith zero point of φ while excluding other zero points, the winding number of the vector is given by [88]
$\begin{eqnarray}{w}_{i}=\displaystyle \frac{1}{2\pi }{\oint }_{{C}_{i}}{\rm{d\Omega }},\end{eqnarray}$
due to the geometry
$\begin{eqnarray}{\rm{\Omega }}=\arctan \frac{{\phi }_{\vartheta }}{{\phi }_{r}}=\arctan \frac{{n}_{\vartheta }}{{n}_{r}}.\end{eqnarray}$
In this manner,
$\begin{eqnarray}{\rm{d\Omega }}=\displaystyle \frac{{n}_{r}{\partial }_{\vartheta }{n}_{\vartheta }-{n}_{\vartheta }{\partial }_{\vartheta }{n}_{r}}{{n}_{r}^{2}+{n}_{\vartheta }^{2}},\end{eqnarray}$
and the topological charge of each zero point can be calculated from
$\begin{eqnarray}{\mathfrak{Q}}=\frac{{\rm{\Delta }}{\rm{\Omega }}}{2\pi }.\end{eqnarray}$
The nonzero of ΔΩ occur at the photon spheres, but ${\mathfrak{Q}}$ can take values of 0, ±1. The illustration of the vector space (nrnϑ) is shown in figure 8. In figure 8(a), there is a photon sphere located at (rϑ) = (2.61502, π/2), around which the field lines converge towards the zero point of the vector field, resembling the electric field generated by a negative charge and possessing a topological charge of −1. Based on the classification in [86], this photon sphere is considered standard and unstable.
Figure 8. The topological charge of photon spheres. The whole topological charge for both cases are zero.
An exotic photon sphere exists at (rϑ) = (0.0849791, π/2), where the field lines diverge near the zero point, similar to the electric field produced by a positive charge, with a topological charge of +1. This photon sphere is stable and corresponds to the region of the naked singularity [46]. As the charge Q increases, as depicted in figure 8(b), the standard photon sphere and exotic photon sphere approach one another. When Q increases to approximately 0.82, the two photon spheres converge. Further increases in Q lead to the absence of photon spheres in spacetime, resulting in a total topological charge of ${{\mathfrak{Q}}}_{t}=0$.

7. Topology in temperature and generalized free energy

In this section, we will apply temperature and generalized free energy methods to analyze the topological structure of charged spherically symmetric BHs. The critical pressure, given by Λ = −8πP, can be found by setting ${\left.{\partial }_{{r}_{{\rm{h}}}}{T}_{{\rm{H}}}\right|}_{P={P}_{c}}=0$. By substituting Pc into the Hawking temperature in the form given by equation (11), we can rewrite TH as ${\tilde{T}}_{{\rm{H}}}$. Consequently, a field can be defined as follows [46]:
$\begin{eqnarray}\begin{array}{rcl}{\rm{\Phi }} & = & \displaystyle \frac{1}{\sin (\vartheta )}{\tilde{T}}_{{\rm{H}}}\\ & = & \csc (\vartheta )\left(\displaystyle \frac{(1-\bar{l}){r}_{{\rm{h}}}^{2}\left(1-{\rm{\Lambda }}{r}_{{\rm{h}}}^{2}\right)-{Q}^{2}}{4\pi {(1-\bar{l})}^{2}{r}_{{\rm{h}}}^{3}}\right).\end{array}\end{eqnarray}$
Since vector fields on a two-dimensional plane are more intuitive than those in one or higher dimensions, ϑ serves as an auxiliary factor that aids in topological analysis. The unit vectors of this field read
$\begin{eqnarray}{\varphi }_{r}={\partial }_{{r}_{{\rm{h}}}}{\rm{\Phi }},\end{eqnarray}$
$\begin{eqnarray}{\varphi }_{\vartheta }={\partial }_{\vartheta }{\rm{\Phi }}.\end{eqnarray}$
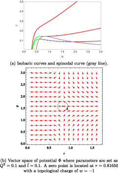
Specifically, when ϑ = π/2 and ${\partial }_{{r}_{{\rm{h}}}}{\rm{\Phi }}=0$, the vector φ = (φrφϑ) is always zero. It is straightforward to see that the critical point coincides with the zero point of φ. The normalized vector ${n}^{a}=\frac{{\phi }^{a}}{\parallel \phi \parallel },\,(a=1,2)$ is plotted in figure 9(a), which illustrates only one critical point. Two contours will be constructed: one enclosing the critical point, which has a topological charge of −1, and another that does not enclose any critical points, possessing a topological charge of 0. At this stage, the critical point is conventional and corresponds to the maximum of the spinodal curve in the isobaric diagram, as shown in the figure 9(b). When the charged spherically symmetric BH solution acts as a defect in the thermodynamic parameter space, the generalized Helmholtz free energy is expressed as follows [8891]:
$\begin{eqnarray}\begin{array}{rcl}F & = & M({r}_{{\rm{h}}})-\displaystyle \frac{S}{\tau }\\ & = & \displaystyle \frac{3{Q}^{2}+3{r}_{{\rm{h}}}^{2}-3\bar{l}{r}_{{\rm{h}}}^{2}-{r}_{{\rm{h}}}^{4}{\rm{\Lambda }}+\bar{l}{r}_{{\rm{h}}}^{4}{\rm{\Lambda }}}{6{(\bar{l}-1)}^{2}{r}_{{\rm{h}}}}-\displaystyle \frac{\pi {r}_{{\rm{h}}}^{2}}{\tau },\end{array}\end{eqnarray}$
where Λ = −8πP. This free energy exhibits its on-shell characteristics when τ = 1/TH, and the on–shell condition can also be expressed as ${\partial }_{{r}_{{\rm{h}}}}F=0$. Using the formalism outlined above, the new field and its corresponding unit vectors can be calculated [92, 93]
$\begin{eqnarray}{\tilde{\phi }}_{r}={\partial }_{{r}_{{\rm{h}}}}F,\end{eqnarray}$
$\begin{eqnarray}{\tilde{\phi }}_{{\rm{\Theta }}}=-{\rm{\cot }}{\rm{\Theta }}{\rm{\csc }}{\rm{\Theta }},\end{eqnarray}$
where Θ satisfies 0 ≤ Θ ≤ π. At Θ = 0 and Θ = π, the component φΘ diverges, with the direction of the vector pointing outward. By solving the equation ${\phi }_{r}={\partial }_{{r}_{{\rm{h}}}}F$ = 0, we can derive an equation in terms of τ. Figure 10(a) illustrates the zero points of the vector field φ in the τrh plane. We observe three branches of BHs: the small and large BH branches are stable, while the middle BH branch is unstable. Figure 10(b) shows the unit vector field n at τ = 10. The zero points are located at (0.454497, π/2), (1.02267, π/2), and (3.31018, π/2), respectively. We find that the topological charge is +1 for both the small and large BH branches, whereas it is −1 for the middle BH branch. Consequently, the total topological charge remains +1. Therefore, the system has a similar topological classification to the charged RN–AdS BH [88].
Figure 9. Vector space of temperature potential field for the given set of initial values. a zero point is located at r = 0.8165 and its topological charge is +1.
Figure 10. The topological numbers of the black holes solutions. The total topological charge of potential F equals 1.

8. Conclusion

In this study, we explored the effects of an antisymmetric KR tensor field, which causes spontaneous Lorentz symmetry breaking, on the characteristics of a charged BH in the presence of a negative cosmological constant. Our investigation centered on analyzing various properties, including the shadow radius, greybody bounds, absorption and emission power, heat capacity, topological charge, and the optical features of the BH. This research seeks to address a gap in existing literature and enhance our understanding of the consequences arising from this scenario of Lorentz symmetry breaking.
To begin with, we computed the shadow radius. In the specific scenario where M = 1, we established the lower and upper limits for the parameter $\bar{l}$ across three distinct values of Q. Additionally, we examined characteristics that diverge from conventional solutions for charged BHs, such as the greybody bounds and the associated absorption cross-section. For Q = 0.01 and Λ = −0.1, we found that an increase in the parameter $\bar{l}$ resulted in a decrease in the curves, while the emission power curve exhibited an upward shift as $\bar{l}$ increased.
Importantly, we investigated the topological charge and the related topological phase transitions within this context. Through a detailed analysis of the metric, temperature, and free energy, we were able to determine the system’s topological charge along with the associated phase transitions.
As a next step, we can extend our analysis to other configurations of BH solutions that incorporate the KR field, as discussed in [10]. These concepts, along with additional ideas, are presently being explored and developed further.

The authors wish to thank kind referees for their constructive comments. This work is supported by the Doctoral Foundation of Zunyi Normal University of China (BS [2022] 07). Particularly, A. A. Araújo Filho would like to thank Fundação de Apoio à Pesquisa do Estado da Paraíba (FAPESQ) and Conselho Nacional de Desenvolvimento Cientíıfico e Tecnológico (CNPq)—[150891/2023-7] for the financial support. Also, the research of H.H. was supported by the Q-CAYLE project, funded by the European Union-Next Generation UE/MICIU/Plan de Recuperacion, Transformacion y Resiliencia/Junta de Castilla y Leon (PRTRC17.11), and also by project PID2023-148409NB-I00, funded by MICIU/AEI/10.13039/501100011033. Financial support of the Department of Education of the Junta de Castilla y Leon and FEDER Funds is also gratefully acknowledged (Reference: CLU-2023-1-05). Furthermore, H. H. is grateful to Excellence project FoS UHK 2203/2025-2026 for the financial support.

1
Bluhm R, Fung S H, Kostelecky V A 2008 Spontaneous Lorentz and diffeomorphism violation, massive modes, and gravity Phys. Rev. D 77 065020

DOI

2
Bluhm R, Yang Y 2021 Gravity with explicit diffeomorphism breaking Symmetry 13 660

DOI

3
Kostelecky V A, Tasson J D 2011 Matter-gravity couplings and Lorentz violation Phys. Rev. D 83 016013

DOI

4
Kostelecky V A 2004 Gravity, Lorentz violation, and the standard model Phys. Rev. D 69 105009

DOI

5
Tasson J D 2014 What do we know about Lorentz invariance? Rep. Prog. Phys. 77 062901

DOI

6
Altschul B, Bailey Q G, Kostelecky V A 2010 Lorentz violation with an antisymmetric tensor Phys. Rev. D 81 065028

DOI

7
Kalb M, Ramond P 1974 Classical direct interstring action Phys. Rev. D 9 2273

DOI

8
Araújo Filho A A 2025 Antisymmetric tensor influence on charged black hole lensing phenomena and time delay J. High Energy Astrophys. 47 100401

DOI

9
Liu W, Fang X, Jing J, Wang J 2024 Lorentz violation induces isospectrality breaking in Einstein–Bumblebee gravity theory Sci. China Phys. Mech. Astron. 67 280413

DOI

10
Liu W, Wu D, Wang J 2024 Static neutral black holes in Kalb–Ramond gravity J. Cosmol. Astropart. Phys. JCAP09(2024)017

DOI

11
Vagnozzi S 2023 Horizon-scale tests of gravity theories and fundamental physics from the Event Horizon Telescope image of Sagittarius A* Class. Quantum Grav. 40 165007

DOI

12
Atamurotov F, Ortiqboev D, Abdujabbarov A, Mustafa G 2022 Particle dynamics and gravitational weak lensing around black hole in the Kalb–Ramond gravity Eur. Phys. J. C 82 659

DOI

13
Chatterjee A, Majumdar P 2005 Kalb–Ramond field interactions in a braneworld scenario Phys. Rev. D 72 066013

DOI

14
Liu W, Wu D, Wang J 2025 Shadow of slowly rotating Kalb–Ramond black holes J. Cosmol. Astropart. Phys. JCAP05(2025)017

DOI

15
Lessa L A, Silva J E G, Maluf R V, Almeida C A S 2020 Modified black hole solution with a background Kalb–Ramond field Eur. Phys. J. C 80 335

DOI

16
Kumar R, Ghosh S G, Wang A 2020 Gravitational deflection of light and shadow cast by rotating Kalb–Ramond black holes Phys. Rev. D 101 104001

DOI

17
Araújo Filho A A, Heidari N, Reis J A A S, Hassanabadi H 2025 The impact of an antisymmetric tensor on charged black holes: evaporation process, geodesics, deflection angle, scattering effects and quasinormal modes Class. Quantum Grav. 42 065026

DOI

18
Bombacigno F, Moretti F, Boudet S, Olmo G J 2023 Landau damping for gravitational waves in parity-violating theories J. Cosmol. Astropart. Phys. JCAP02(2023)009

DOI

19
Boudet S, Bombacigno F, Olmo G J, Porfirio P J 2022 Quasinormal modes of Schwarzschild black holes in projective invariant Chern–Simons modified gravity J. Cosmol. Astropart. Phys. JCAP05(2022)032

DOI

20
Araújo Filho A A 2024 Analysis of a regular black hole in Verlinde gravity Class. Quantum Grav. 41 015003

DOI

21
Amarilo K M, Ferreira Filho M B, Araújo Filho A A, Reis J A A S 2024 Gravitational waves effects in a Llorentz-violating scenario Phys. Lett. B 855 138785

DOI

22
Duan Z Q, Zhao J Y, Yang K 2024 Electrically charged black holes in gravity with a background Kalb–Ramond field Eur. Phys. J. C 84 798

DOI

23
Junior E L, Junior J T S, Lobo F S, Rodrigues M E, Rubiera-Garcia D, da Silva L F D, Vieira H A 2024 Spontaneous Lorentz symmetry-breaking constraints in Kalb–Ramond gravity Eur. Phys. J. C 84 1257

DOI

24
Du Y Z, Li H F, Ma Y B, Gu Q 2025 Phase structure of the de Sitter spacetime with KRfield based on the Lyapunov exponent Eur. Phys. J. C 85 78

DOI

25
Guo W D, Tan Q, Liu Y X 2024 Quasinormal modes and greybody factor of a Lorentz-violating black hole J. Cosmol. Astropart. Phys. JCAP07(2024)008

DOI

26
Jha S K 2025 Observational signature of Lorentz violation in Kalb–Ramond field model and Bumblebee model: a comprehensive comparative study Int. J. Mod. Phys. D 34 2550055

DOI

27
Araújo Filho A A, Reis J A A S, Hassanabadi H 2024 Exploring antisymmetric tensor effects on black hole shadows and quasinormal frequencies J. Cosmol. Astropart. Phys. JCAP05(2024)029

DOI

28
Liu J Z, Guo W D, Wei S W, Liu Y X 2025 Charged spherically symmetric and slowly rotating charged black hole solutions in bumblebee gravity Eur. Phys. J. C 85 145

DOI

29
Zahid M, Rayimbaev J, Kurbonov N, Ahmedov S, Shen C, Abdujabbarov A 2024 Electric Penrose, circular orbits and collisions of charged particles near charged black holes in Kalb–Ramond gravity Eur. Phys. J. C 84 706

DOI

30
Carter B 1968 Global structure of the Kerr family of gravitational fields Phys. Rev. 174 1559

DOI

31
Chen H, Dong S H, Hassanabadi S, Heidari N, Hassanabadi H 2024 Quasi-normal modes, emission rate and shadow of the charged AdS black hole with perfect fluid dark matter Chin. Phys. C 48 085105

DOI

32
Heidari N, Hassanabadi H, Araújo Filho A A, Kriz J 2024 Exploring non-commutativity as a perturbation in the Schwarzschild black hole: quasinormal modes, scattering, and shadows Eur. Phys. J. C 84 566

DOI

33
Vertogradov V, Övgün A 2024 General approach on shadow radius and photon spheres in asymptotically flat spacetimes and the impact of mass-dependent variations Phys. Lett. B 854 138758

DOI

34
Perlick V, Tsupko O Y 2022 Calculating black hole shadows: review of analytical studies Phys. Rep. 947 39

DOI

35
Araújo Filho A A, Jusufi K, Cuadros-Melgar B, Leon G 2024 Dark matter signatures of black holes with Yukawa potential Phys. Dark Univ. 44 101500

DOI

36
Page D N 2000 Thermodynamics of near-extreme black holes arXiv:0012020

37
Araújo Filho A A, Zare S, Porfírio P J, Kříž J, Hassanabadi H 2023 Thermodynamics and evaporation of a modified Schwarzschild black hole in a non-commutative gauge theory Phys. Lett. B 838 137744

DOI

38
Bekenstein J D 1973 Black holes and entropy Phys. Rev. D 7 2333

DOI

39
de la Cruz-Dombriz A, Sáez-Gómez D 2012 Black holes, cosmological solutions, future singularities, and their thermodynamical properties in modified gravity theories Entropy 14 1717-1770

DOI

40
Konoplya R, Ovchinnikov D, Ahmedov B 2023 Bardeen spacetime as a quantum corrected Schwarzschild black hole: quasinormal modes and Hawking radiation Phys. Rev. D 108 104054

DOI

41
Visser M 1999 Some general bounds for one-dimensional scattering Phys. Rev. A 59 427

DOI

42
Boonserm P, Visser M 2008 Bounding the Bogoliubov coefficients Ann. Phys. 323 2779

DOI

43
Heidari N, Macedo C F, Araújo Filho A A, Hassanabadi H 2024 Scattering effects of Bumblebee gravity in metric affine formalism Eur. Phys. J. C 84 1221

DOI

44
Gogoi D J, Heidari N, Kriz J, Hassanabadi H 2024 Quasinormal modes and greybody factors of de Sitter black holes surrounded by quintessence in Rastall gravity Fortschr. Phys. 72 2300245

DOI

45
Décanini Y, Folacci A, Raffaelli B 2011 Fine structure of high-energy absorption cross sections for black holes Class. Quantum Grav. 28 175021

DOI

46
Wei S W, Liu Y X 2022 Topology of black hole thermodynamics Phys. Rev. D 105 104003

DOI

47
Bhattacharya K, Bamba K, Singleton D 2024 Topological interpretation of extremal and Davies-type phase transitions of black holes Phys. Lett. B 854 138722

DOI

48
Wei S W, Liu Y X, Mann R B 2024 Universal topological classifications of black hole thermodynamics Phys. Rev. D 110 L081501

DOI

49
Wu D 2023 Topological classes of rotating black holes Phys. Rev. D 107 024024

DOI

50
Wu D, Wu S Q 2023 Topological classes of thermodynamics of rotating AdS black holes Phys. Rev. D 107 084002

DOI

51
Wu D 2023 Classifying topology of consistent thermodynamics of the four-dimensional neutral Lorentzian NUT-charged spacetimes Eur. Phys. J. C 83 365

DOI

52
Wu D 2023 Consistent thermodynamics and topological classes for the four-dimensional Lorentzian charged Taub-NUT spacetimes Eur. Phys. J. C 83 589

DOI

53
Wu D 2023 Topological classes of thermodynamics of the four-dimensional static accelerating black holes Phys. Rev. D 108 084041

DOI

54
Wu D, Gu S Y, Zhu X D, Jiang Q Q, Yang S Z 2024 Topological classes of thermodynamics of the static multi-charge AdS black holes in gauged supergravities: novel temperature-dependent thermodynamic topological phase transition J. High Energy Phys. JHEP06(2024)213

DOI

55
Fan Z Y 2023 Topological interpretation for phase transitions of black holes Phys. Rev. D 107 044026

DOI

56
Fang C X, Jiang J, Zhang M 2023 Revisiting thermodynamic topologies of black holes J. High Energy Phys. JHEP01(2023)102

DOI

57
Ye X, Wei S W 2023 Topological study of equatorial timelike circular orbit for spherically symmetric (hairy) black holes J. Cosmol. Astropart. Phys. JCAP07(2023)049

DOI

58
Zhang M, Jiang J 2023 Bulk-boundary thermodynamic equivalence: a topology viewpoint J. High Energy Phys. JHEP06(2023)115

DOI

59
Du Y, Zhang X 2023 Topological classes of black holes in de-Sitter spacetime Eur. Phys. J. C 83 927

DOI

60
Alipour M R, Afshar M A S, Gashti S N, Sadeghi J 2023 Topological classification and black hole thermodynamics Phys. Dark Univ. 42 101361

DOI

61
Sadeghi J, Gashti S N, Alipour M R, Afshar M A S 2023 Bardeen black hole thermodynamics from topological perspective Ann. Phys. 455 169391

DOI

62
Sadeghi J, Afshar M A S, Gashti S N, Alipour M R 2023 Thermodynamic topology of black holes from bulk-boundary, extended, and restricted phase space perspectives Ann. Phys. 460 169569

DOI

63
Sadeghi J, Afshar M A S, Gashti S N, Alipour M R 2024 Topology of Hayward–AdS black hole thermodynamics Phys. Scr. 99 025003

DOI

64
Gogoi N J, Phukon P 2023 Topology of thermodynamics in R-charged black holes Phys. Rev. D 107 106009

DOI

65
Gogoi N J, Phukon P 2023 Thermodynamic topology of 4D dyonic AdS black holes in different ensembles Phys. Rev. D 108 066016

DOI

66
Gogoi N J, Phukon P 2024 Thermodynamic topology of 4D Euler–Heisenberg–AdS black hole in different ensembles Phys. Dark Univ. 44 101456

DOI

67
Hazarika B, Panah B E, Phukon P 2024 Thermodynamic topology of topological charged dilatonic black holes Eur. Phys. J. C 84 1204

DOI

68
Hazarik B, Phukon P 2024 Thermodynamic topology of black holes in f(R) gravity Prog. Theor. Phys. Exp. Phys. 2024 043E01

DOI

69
Hazarik B, Phukon P 2024 Thermodynamic topology of D = 4,5 Horava Lifshitz black hole in two ensembles Nucl. Phys. B 1006 116649

DOI

70
Yerra P K, Bhamidipati C 2022 Topology of black hole thermodynamics in Gauss–Bonnet gravity Phys. Rev. D 105 104053

DOI

71
Yerra P K, Bhamidipati C 2022 Topology of Born–Infeld AdS black holes in 4D novel Einstein–Gauss–Bonnet gravity Phys. Lett. B 835 137591

DOI

72
Yerra P K, Bhamidipati C, Mukherji S 2022 Topology of critical points and Hawking–Page transition Phys. Rev. D 106 064059

DOI

73
Bai N C, Li L, Tao J 2023 Topology of black hole thermodynamics in Lovelock gravity Phys. Rev. D 107 064015

DOI

74
Yerra P K, Bhamidipati C, Mukherji S 2023 Topology of Hawking–Page transition in Born–Infeld AdS black holes J. Phys. Conf. Ser. 2667 012031

DOI

75
Yerra P K, Bhamidipati C, Mukherji S 2024 Topology of critical points in boundary matrix duals J. High Energy Phys. JHEP03(2024)138

DOI

76
Zhang M Y, Chen H, Hassanabadi H, Long Z W, Yang H 2024 Thermodynamic topology of Kerr–Sen black holes via Renyi statistics Phys. Lett. B 856 138885

DOI

77
Zhang M Y, Chen H, Hassanabadi H, Long Z W, Yang H 2023 Topology of nonlinearly charged black hole chemistry via massive gravity Eur. Phys. J. C 83 773

DOI

78
Zhang M Y, Zhou H Y, Chen H, Hassanabadi H, Long Z W 2024 Topological classification of critical points for hairy black holes in Lovelock gravity Eur. Phys. J. C 84 1251

DOI

79
Chen H, Zhang M Y, Hassanabadi H, Lütfüoglu B C, Long Z W 2025 Thermodynamic topology of dyonic AdS black holes with quasitopological electromagnetism in Einstein–Gauss–Bonnet gravity Int. J. Geom. Methods Mod. Phys. 2550249

DOI

80
Chen H, Wu D, Zhang M Y, Hassanabadi H, Long Z W 2024 Thermodynamic topology of phantom AdS black holes in massive gravity Phys. Dark Univ. 46 101617

DOI

81
Chen H, Wu D, Zhang M Y, Zare S, Hassanabadi H, Lütfüoğlu B C, Long Z W 2025 Universal thermodynamic topological classes of static black holes in Conformal Killing Gravity Eur. Phys. J. C 85 828

DOI

82
Barzi F, El Moumni H, Masmar K 2024 Renyi topology of charged-flat black hole: Hawking–Page and Van-der-Waals phase transitions J. High Energy Astrophys. 42 63

DOI

83
Barzi F, El Moumni H, Masmar K 2024 Riemann surfaces and winding numbers of Rényi phase structure of charged-flat black holes Eur. Phys. J. C 84 1141

DOI

84
Sadeghi J, Gashti S N, Alipour M R, Afshar M S 2024 Thermodynamic topology of quantum corrected AdS–Reissner–Nordstrom black holes in Kiselev spacetime Chin. Phys. C 48 115115

DOI

85
Wang Y S, Xu Z M, Wu B 2024 Thermodynamic phase transition and winding number for the third-order Lovelock black hole Chin. Phys. C 48 095101

DOI

86
Cunha P V, Herdeiro C A 2020 Stationary black holes and light rings Phys. Rev. Lett. 124 181101

DOI

87
Wei S W 2020 Topological charge and black hole photon spheres Phys. Rev. D 102 064039

DOI

88
Wei S W, Liu Y X, Mann R B 2022 Black hole solutions as topological thermodynamic defects Phys. Rev. Lett. 129 191101

DOI

89
Zhu X D, Li W, Wu D 2025 Universal thermodynamic topological classes of rotating black holes Phys. Lett. B 860 139163

DOI

90
Zhu X-D, Wu D, Wen D 2024 Topological classes of thermodynamics of the rotating charged AdS black holes in gauged supergravities Phys. Lett. B 856 138919

DOI

91
Chen Y, Zhu X D, Wu D 2025 Universal thermodynamic topological classes of three-dimensional BTZ black holes Phys. Lett. B 865 139482

DOI

92
Liu W, Zhang L, Wu D, Wang J 2025 Thermodynamic topological classes of the rotating, accelerating black holes Class. Quantum Grav. 42 125007

DOI

93
Wu D, Liu W, Wu S Q, Mann R B 2025 Novel topological classes in black hole thermodynamics Phys. Rev. D 111 L061501

DOI

Outlines

/